腺苷酸环化酶9表达水平与激素受体阳性乳腺癌相关并预测患者预后。

IF 0.9 4区 医学 Q4 MEDICINE, RESEARCH & EXPERIMENTAL
Kayoko Sugino, Masahiro Shibata, Yayoi Adachi, Ikumi Soeda, Takahiro Ichikawa, Takahiro Inaishi, Emi Kanaya, Mitsuro Kanda, Masamichi Hayashi, Norikazu Masuda
{"title":"腺苷酸环化酶9表达水平与激素受体阳性乳腺癌相关并预测患者预后。","authors":"Kayoko Sugino, Masahiro Shibata, Yayoi Adachi, Ikumi Soeda, Takahiro Ichikawa, Takahiro Inaishi, Emi Kanaya, Mitsuro Kanda, Masamichi Hayashi, Norikazu Masuda","doi":"10.18999/nagjms.86.4.665","DOIUrl":null,"url":null,"abstract":"<p><p>Adenylate cyclase family members have recently received attention as novel therapeutic targets. However, the significance of adenylate cyclase 9 (ADCY9) in breast cancer has not been elucidated. Here, we evaluated <i>ADCY9</i> expression in breast cancer (BC) cell lines, and polymerase chain reaction array analysis was performed to determine the correlations between <i>ADCY9</i> expression levels and 84 tumor-associated genes. The association of <i>ADCY9</i> messenger RNA (mRNA) expression levels in clinical breast cancer specimens with patients' clinicopathological factors and prognosis was evaluated. The database of cancer cell line showed that estrogen receptor-positive and progesterone receptor-positive cells expressed higher <i>ADCY9</i> mRNA levels. <i>ADCY9</i> expression showed positive correlations with several oncogenes, such as <i>TGFB1, CDKN1A,</i> and <i>BAX</i> in the polymerase chain reaction array analysis. We defined the ratio of <i>ADCY9</i> mRNA expression levels in breast cancer and adjacent noncancerous tissues as the \"C/N ratio\". Among 149 patients with BC, estrogen receptor-positive and progesterone receptor-positive patients exhibited higher C/N ratios than estrogen receptor-negative and progesterone receptor-negative patients, respectively. Patients in the lowest C/N ratio quartile experienced shorter prognosis periods. The C/N ratio of <i>ADCY9</i> was found as an independent prognostic factor for disease-free survival. Thus, <i>ADCY9</i> expression is high in hormone receptor-positive breast cancer, and its low expression indicates a poor prognosis in patients with breast cancer.</p>","PeriodicalId":49014,"journal":{"name":"Nagoya Journal of Medical Science","volume":"86 4","pages":"665-682"},"PeriodicalIF":0.9000,"publicationDate":"2024-11-01","publicationTypes":"Journal Article","fieldsOfStudy":null,"isOpenAccess":false,"openAccessPdf":"https://www.ncbi.nlm.nih.gov/pmc/articles/PMC11704764/pdf/","citationCount":"0","resultStr":"{\"title\":\"Adenylate cyclase 9 expression level is associated with hormone receptor-positive breast cancer and predicts patient prognosis.\",\"authors\":\"Kayoko Sugino, Masahiro Shibata, Yayoi Adachi, Ikumi Soeda, Takahiro Ichikawa, Takahiro Inaishi, Emi Kanaya, Mitsuro Kanda, Masamichi Hayashi, Norikazu Masuda\",\"doi\":\"10.18999/nagjms.86.4.665\",\"DOIUrl\":null,\"url\":null,\"abstract\":\"<p><p>Adenylate cyclase family members have recently received attention as novel therapeutic targets. However, the significance of adenylate cyclase 9 (ADCY9) in breast cancer has not been elucidated. Here, we evaluated <i>ADCY9</i> expression in breast cancer (BC) cell lines, and polymerase chain reaction array analysis was performed to determine the correlations between <i>ADCY9</i> expression levels and 84 tumor-associated genes. The association of <i>ADCY9</i> messenger RNA (mRNA) expression levels in clinical breast cancer specimens with patients' clinicopathological factors and prognosis was evaluated. The database of cancer cell line showed that estrogen receptor-positive and progesterone receptor-positive cells expressed higher <i>ADCY9</i> mRNA levels. <i>ADCY9</i> expression showed positive correlations with several oncogenes, such as <i>TGFB1, CDKN1A,</i> and <i>BAX</i> in the polymerase chain reaction array analysis. We defined the ratio of <i>ADCY9</i> mRNA expression levels in breast cancer and adjacent noncancerous tissues as the \\\"C/N ratio\\\". Among 149 patients with BC, estrogen receptor-positive and progesterone receptor-positive patients exhibited higher C/N ratios than estrogen receptor-negative and progesterone receptor-negative patients, respectively. Patients in the lowest C/N ratio quartile experienced shorter prognosis periods. The C/N ratio of <i>ADCY9</i> was found as an independent prognostic factor for disease-free survival. Thus, <i>ADCY9</i> expression is high in hormone receptor-positive breast cancer, and its low expression indicates a poor prognosis in patients with breast cancer.</p>\",\"PeriodicalId\":49014,\"journal\":{\"name\":\"Nagoya Journal of Medical Science\",\"volume\":\"86 4\",\"pages\":\"665-682\"},\"PeriodicalIF\":0.9000,\"publicationDate\":\"2024-11-01\",\"publicationTypes\":\"Journal Article\",\"fieldsOfStudy\":null,\"isOpenAccess\":false,\"openAccessPdf\":\"https://www.ncbi.nlm.nih.gov/pmc/articles/PMC11704764/pdf/\",\"citationCount\":\"0\",\"resultStr\":null,\"platform\":\"Semanticscholar\",\"paperid\":null,\"PeriodicalName\":\"Nagoya Journal of Medical Science\",\"FirstCategoryId\":\"3\",\"ListUrlMain\":\"https://doi.org/10.18999/nagjms.86.4.665\",\"RegionNum\":4,\"RegionCategory\":\"医学\",\"ArticlePicture\":[],\"TitleCN\":null,\"AbstractTextCN\":null,\"PMCID\":null,\"EPubDate\":\"\",\"PubModel\":\"\",\"JCR\":\"Q4\",\"JCRName\":\"MEDICINE, RESEARCH & EXPERIMENTAL\",\"Score\":null,\"Total\":0}","platform":"Semanticscholar","paperid":null,"PeriodicalName":"Nagoya Journal of Medical Science","FirstCategoryId":"3","ListUrlMain":"https://doi.org/10.18999/nagjms.86.4.665","RegionNum":4,"RegionCategory":"医学","ArticlePicture":[],"TitleCN":null,"AbstractTextCN":null,"PMCID":null,"EPubDate":"","PubModel":"","JCR":"Q4","JCRName":"MEDICINE, RESEARCH & EXPERIMENTAL","Score":null,"Total":0}
引用次数: 0

摘要

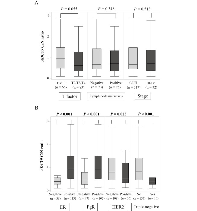
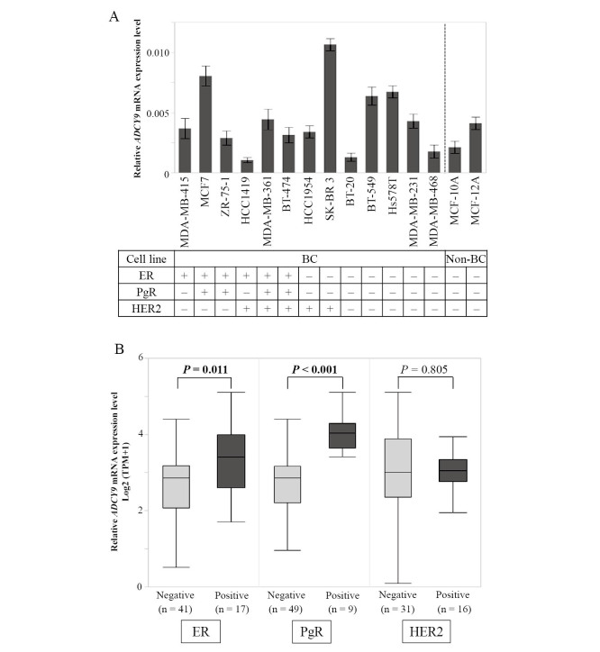
腺苷酸环化酶家族成员近年来作为新的治疗靶点受到关注。然而,腺苷酸环化酶9 (ADCY9)在乳腺癌中的意义尚未阐明。在这里,我们评估了ADCY9在乳腺癌(BC)细胞系中的表达,并进行了聚合酶链反应阵列分析,以确定ADCY9表达水平与84种肿瘤相关基因之间的相关性。评估临床乳腺癌标本中ADCY9信使RNA (mRNA)表达水平与患者临床病理因素及预后的关系。肿瘤细胞系数据库显示,雌激素受体阳性和孕激素受体阳性细胞ADCY9 mRNA表达水平较高。聚合酶链反应阵列分析显示ADCY9表达与TGFB1、CDKN1A、BAX等癌基因呈正相关。我们将ADCY9 mRNA在乳腺癌和癌旁非癌组织中的表达水平之比定义为“C/N比”。在149例BC患者中,雌激素受体阳性和孕激素受体阳性患者的C/N比分别高于雌激素受体阴性和孕激素受体阴性患者。C/N最低四分位数的患者预后期较短。ADCY9的C/N比值是无病生存的独立预后因素。由此可见,ADCY9在激素受体阳性乳腺癌中高表达,低表达提示乳腺癌患者预后较差。
本文章由计算机程序翻译,如有差异,请以英文原文为准。

Adenylate cyclase 9 expression level is associated with hormone receptor-positive breast cancer and predicts patient prognosis.

Adenylate cyclase 9 expression level is associated with hormone receptor-positive breast cancer and predicts patient prognosis.

Adenylate cyclase 9 expression level is associated with hormone receptor-positive breast cancer and predicts patient prognosis.

Adenylate cyclase 9 expression level is associated with hormone receptor-positive breast cancer and predicts patient prognosis.

Adenylate cyclase family members have recently received attention as novel therapeutic targets. However, the significance of adenylate cyclase 9 (ADCY9) in breast cancer has not been elucidated. Here, we evaluated ADCY9 expression in breast cancer (BC) cell lines, and polymerase chain reaction array analysis was performed to determine the correlations between ADCY9 expression levels and 84 tumor-associated genes. The association of ADCY9 messenger RNA (mRNA) expression levels in clinical breast cancer specimens with patients' clinicopathological factors and prognosis was evaluated. The database of cancer cell line showed that estrogen receptor-positive and progesterone receptor-positive cells expressed higher ADCY9 mRNA levels. ADCY9 expression showed positive correlations with several oncogenes, such as TGFB1, CDKN1A, and BAX in the polymerase chain reaction array analysis. We defined the ratio of ADCY9 mRNA expression levels in breast cancer and adjacent noncancerous tissues as the "C/N ratio". Among 149 patients with BC, estrogen receptor-positive and progesterone receptor-positive patients exhibited higher C/N ratios than estrogen receptor-negative and progesterone receptor-negative patients, respectively. Patients in the lowest C/N ratio quartile experienced shorter prognosis periods. The C/N ratio of ADCY9 was found as an independent prognostic factor for disease-free survival. Thus, ADCY9 expression is high in hormone receptor-positive breast cancer, and its low expression indicates a poor prognosis in patients with breast cancer.

求助全文
通过发布文献求助,成功后即可免费获取论文全文。 去求助
来源期刊
Nagoya Journal of Medical Science
Nagoya Journal of Medical Science MEDICINE, RESEARCH & EXPERIMENTAL-
CiteScore
1.30
自引率
0.00%
发文量
65
审稿时长
>12 weeks
期刊介绍: The Journal publishes original papers in the areas of medical science and its related fields. Reviews, symposium reports, short communications, notes, case reports, hypothesis papers, medical image at a glance, video and announcements are also accepted. Manuscripts should be in English. It is recommended that an English check of the manuscript by a competent and knowledgeable native speaker be completed before submission.
×
引用
GB/T 7714-2015
复制
MLA
复制
APA
复制
导出至
BibTeX EndNote RefMan NoteFirst NoteExpress
×
提示
您的信息不完整,为了账户安全,请先补充。
现在去补充
×
提示
您因"违规操作"
具体请查看互助需知
我知道了
×
提示
确定
请完成安全验证×
copy
已复制链接
快去分享给好友吧!
我知道了
右上角分享
点击右上角分享
0
联系我们:info@booksci.cn Book学术提供免费学术资源搜索服务,方便国内外学者检索中英文文献。致力于提供最便捷和优质的服务体验。 Copyright © 2023 布克学术 All rights reserved.
京ICP备2023020795号-1
ghs 京公网安备 11010802042870号
Book学术文献互助
Book学术文献互助群
群 号:604180095
Book学术官方微信