具有抗菌活性和毒性的NET肽在免疫应答中的作用。

IF 3.6 3区 医学 Q2 IMMUNOLOGY
Journal of Immunology Research Pub Date : 2024-12-27 eCollection Date: 2024-01-01 DOI:10.1155/jimr/5528446
Sinan Cebeci, Tuba Polat, Nihan Ünübol
{"title":"具有抗菌活性和毒性的NET肽在免疫应答中的作用。","authors":"Sinan Cebeci, Tuba Polat, Nihan Ünübol","doi":"10.1155/jimr/5528446","DOIUrl":null,"url":null,"abstract":"<p><p>Antimicrobial peptides (AMPs) are crucial components of the innate immune system in all living organisms, playing a vital role in the body's defense against diseases and infections. The immune system's primary functions include preventing disease-causing agents from entering the body and eliminating them without causing harm. These peptides exhibit broad-spectrum activity against bacteria, viruses, fungi, parasites, and cancer cells. They are secreted by innate and epithelial cells and contribute to host defense by inducing cellular activities such as cell migration, proliferation, differentiation, cytokine production, angiogenesis, and wound healing. In response to the growing challenge of bacterial resistance to antimicrobial agents, alternative drugs and new antibacterial molecules are being explored. In a previous study, NET AMPs were synthesized and their antimicrobial effects were determined. The current study extends this work by assessing the effects of these peptides on the immune system through cell culture experiments and ELISA. Specifically, the study investigated how different concentrations of these peptides influence the secretion of interleukin-6 (IL-6), tumor necrosis factor-<i>α</i> (TNF-<i>α</i>), and interferon-<i>γ</i> (IFN-<i>γ</i>) in mouse macrophages. Among the synthesized peptides, NET1 and NET2 demonstrated low cytotoxicity in TIB-71 RAW 264.7 macrophages. These peptides induced an anti-inflammatory response and reduced IL-6 expression in the absence of LPS stimulation, while simultaneously increasing IFN-<i>γ</i> and TNF-<i>α</i> secretion. These findings suggest that NET1 and NET2 peptides possess both anti-inflammatory and pro-inflammatory properties, highlighting their potential role in modulating immune responses.</p>","PeriodicalId":15952,"journal":{"name":"Journal of Immunology Research","volume":"2024 ","pages":"5528446"},"PeriodicalIF":3.6000,"publicationDate":"2024-12-27","publicationTypes":"Journal Article","fieldsOfStudy":null,"isOpenAccess":false,"openAccessPdf":"https://www.ncbi.nlm.nih.gov/pmc/articles/PMC11698612/pdf/","citationCount":"0","resultStr":"{\"title\":\"Roles of NET Peptides With Known Antimicrobial Activity and Toxicity in Immune Response.\",\"authors\":\"Sinan Cebeci, Tuba Polat, Nihan Ünübol\",\"doi\":\"10.1155/jimr/5528446\",\"DOIUrl\":null,\"url\":null,\"abstract\":\"<p><p>Antimicrobial peptides (AMPs) are crucial components of the innate immune system in all living organisms, playing a vital role in the body's defense against diseases and infections. The immune system's primary functions include preventing disease-causing agents from entering the body and eliminating them without causing harm. These peptides exhibit broad-spectrum activity against bacteria, viruses, fungi, parasites, and cancer cells. They are secreted by innate and epithelial cells and contribute to host defense by inducing cellular activities such as cell migration, proliferation, differentiation, cytokine production, angiogenesis, and wound healing. In response to the growing challenge of bacterial resistance to antimicrobial agents, alternative drugs and new antibacterial molecules are being explored. In a previous study, NET AMPs were synthesized and their antimicrobial effects were determined. The current study extends this work by assessing the effects of these peptides on the immune system through cell culture experiments and ELISA. Specifically, the study investigated how different concentrations of these peptides influence the secretion of interleukin-6 (IL-6), tumor necrosis factor-<i>α</i> (TNF-<i>α</i>), and interferon-<i>γ</i> (IFN-<i>γ</i>) in mouse macrophages. Among the synthesized peptides, NET1 and NET2 demonstrated low cytotoxicity in TIB-71 RAW 264.7 macrophages. These peptides induced an anti-inflammatory response and reduced IL-6 expression in the absence of LPS stimulation, while simultaneously increasing IFN-<i>γ</i> and TNF-<i>α</i> secretion. These findings suggest that NET1 and NET2 peptides possess both anti-inflammatory and pro-inflammatory properties, highlighting their potential role in modulating immune responses.</p>\",\"PeriodicalId\":15952,\"journal\":{\"name\":\"Journal of Immunology Research\",\"volume\":\"2024 \",\"pages\":\"5528446\"},\"PeriodicalIF\":3.6000,\"publicationDate\":\"2024-12-27\",\"publicationTypes\":\"Journal Article\",\"fieldsOfStudy\":null,\"isOpenAccess\":false,\"openAccessPdf\":\"https://www.ncbi.nlm.nih.gov/pmc/articles/PMC11698612/pdf/\",\"citationCount\":\"0\",\"resultStr\":null,\"platform\":\"Semanticscholar\",\"paperid\":null,\"PeriodicalName\":\"Journal of Immunology Research\",\"FirstCategoryId\":\"3\",\"ListUrlMain\":\"https://doi.org/10.1155/jimr/5528446\",\"RegionNum\":3,\"RegionCategory\":\"医学\",\"ArticlePicture\":[],\"TitleCN\":null,\"AbstractTextCN\":null,\"PMCID\":null,\"EPubDate\":\"2024/1/1 0:00:00\",\"PubModel\":\"eCollection\",\"JCR\":\"Q2\",\"JCRName\":\"IMMUNOLOGY\",\"Score\":null,\"Total\":0}","platform":"Semanticscholar","paperid":null,"PeriodicalName":"Journal of Immunology Research","FirstCategoryId":"3","ListUrlMain":"https://doi.org/10.1155/jimr/5528446","RegionNum":3,"RegionCategory":"医学","ArticlePicture":[],"TitleCN":null,"AbstractTextCN":null,"PMCID":null,"EPubDate":"2024/1/1 0:00:00","PubModel":"eCollection","JCR":"Q2","JCRName":"IMMUNOLOGY","Score":null,"Total":0}
引用次数: 0

摘要

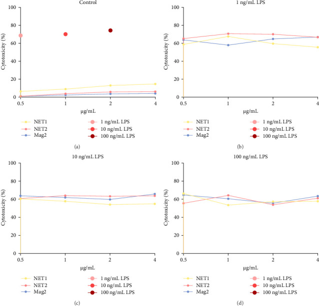
抗菌肽(AMPs)是所有生物先天免疫系统的重要组成部分,在人体防御疾病和感染中起着至关重要的作用。免疫系统的主要功能包括防止致病因子进入人体并在不造成伤害的情况下将其清除。这些肽对细菌、病毒、真菌、寄生虫和癌细胞具有广谱活性。它们由先天细胞和上皮细胞分泌,通过诱导细胞迁移、增殖、分化、细胞因子产生、血管生成和伤口愈合等细胞活动来促进宿主防御。为了应对细菌对抗菌素耐药性日益增长的挑战,人们正在探索替代药物和新的抗菌分子。在前人的研究中,合成了NET AMPs并测定了其抗菌作用。目前的研究通过细胞培养实验和ELISA来评估这些肽对免疫系统的影响,从而扩展了这项工作。具体来说,本研究研究了不同浓度的这些肽如何影响小鼠巨噬细胞中白细胞介素-6 (IL-6)、肿瘤坏死因子-α (TNF-α)和干扰素-γ (IFN-γ)的分泌。在合成的肽中,NET1和NET2对TIB-71 RAW 264.7巨噬细胞表现出较低的细胞毒性。在没有LPS刺激的情况下,这些肽诱导抗炎反应并降低IL-6的表达,同时增加IFN-γ和TNF-α的分泌。这些发现表明,NET1和NET2肽具有抗炎和促炎特性,突出了它们在调节免疫反应中的潜在作用。
本文章由计算机程序翻译,如有差异,请以英文原文为准。

Roles of NET Peptides With Known Antimicrobial Activity and Toxicity in Immune Response.

Roles of NET Peptides With Known Antimicrobial Activity and Toxicity in Immune Response.

Roles of NET Peptides With Known Antimicrobial Activity and Toxicity in Immune Response.

Roles of NET Peptides With Known Antimicrobial Activity and Toxicity in Immune Response.

Antimicrobial peptides (AMPs) are crucial components of the innate immune system in all living organisms, playing a vital role in the body's defense against diseases and infections. The immune system's primary functions include preventing disease-causing agents from entering the body and eliminating them without causing harm. These peptides exhibit broad-spectrum activity against bacteria, viruses, fungi, parasites, and cancer cells. They are secreted by innate and epithelial cells and contribute to host defense by inducing cellular activities such as cell migration, proliferation, differentiation, cytokine production, angiogenesis, and wound healing. In response to the growing challenge of bacterial resistance to antimicrobial agents, alternative drugs and new antibacterial molecules are being explored. In a previous study, NET AMPs were synthesized and their antimicrobial effects were determined. The current study extends this work by assessing the effects of these peptides on the immune system through cell culture experiments and ELISA. Specifically, the study investigated how different concentrations of these peptides influence the secretion of interleukin-6 (IL-6), tumor necrosis factor-α (TNF-α), and interferon-γ (IFN-γ) in mouse macrophages. Among the synthesized peptides, NET1 and NET2 demonstrated low cytotoxicity in TIB-71 RAW 264.7 macrophages. These peptides induced an anti-inflammatory response and reduced IL-6 expression in the absence of LPS stimulation, while simultaneously increasing IFN-γ and TNF-α secretion. These findings suggest that NET1 and NET2 peptides possess both anti-inflammatory and pro-inflammatory properties, highlighting their potential role in modulating immune responses.

求助全文
通过发布文献求助,成功后即可免费获取论文全文。 去求助
来源期刊
CiteScore
6.90
自引率
2.40%
发文量
423
审稿时长
15 weeks
期刊介绍: Journal of Immunology Research is a peer-reviewed, Open Access journal that provides a platform for scientists and clinicians working in different areas of immunology and therapy. The journal publishes research articles, review articles, as well as clinical studies related to classical immunology, molecular immunology, clinical immunology, cancer immunology, transplantation immunology, immune pathology, immunodeficiency, autoimmune diseases, immune disorders, and immunotherapy.
×
引用
GB/T 7714-2015
复制
MLA
复制
APA
复制
导出至
BibTeX EndNote RefMan NoteFirst NoteExpress
×
提示
您的信息不完整,为了账户安全,请先补充。
现在去补充
×
提示
您因"违规操作"
具体请查看互助需知
我知道了
×
提示
确定
请完成安全验证×
copy
已复制链接
快去分享给好友吧!
我知道了
右上角分享
点击右上角分享
0
联系我们:info@booksci.cn Book学术提供免费学术资源搜索服务,方便国内外学者检索中英文文献。致力于提供最便捷和优质的服务体验。 Copyright © 2023 布克学术 All rights reserved.
京ICP备2023020795号-1
ghs 京公网安备 11010802042870号
Book学术文献互助
Book学术文献互助群
群 号:604180095
Book学术官方微信