住院期间较早独立行走的亚急性脑卒中患者的特征

IF 2.3 4区 医学 Q1 REHABILITATION
Kenji Kawakami, Shigeo Tanabe, Daiki Kinoshita, Ryo Kitabatake, Hiroo Koshisaki, Kenta Fujimura, Yoshikiyo Kanada, Hiroaki Sakurai
{"title":"住院期间较早独立行走的亚急性脑卒中患者的特征","authors":"Kenji Kawakami, Shigeo Tanabe, Daiki Kinoshita, Ryo Kitabatake, Hiroo Koshisaki, Kenta Fujimura, Yoshikiyo Kanada, Hiroaki Sakurai","doi":"10.2340/jrm.v57.41993","DOIUrl":null,"url":null,"abstract":"<p><strong>Objective: </strong>To identify factors associated with earlier independence in \"real-life walking\" during hospitalization in subacute stroke patients.</p><p><strong>Design: </strong>Retrospective cohort study.</p><p><strong>Subjects/patients: </strong>Two hundred and six hemiplegic patients.</p><p><strong>Methods: </strong>Functional Independence Measure (FIM) walking items were measured biweekly from admission to discharge. Patients were grouped by achieving independent \"real-life walking\" (FIM-walking score ≥6). Time to independence, stratified by age, FIM motor score (FIM-M), FIM cognitive score (FIM-C), and Functional Ambulation Categories (FAC) scores were compared using Kaplan- Meier plots and log-rank tests. Hazard ratios were calculated via multivariable Cox proportional hazard models.</p><p><strong>Results: </strong>The median time to independence was 4 weeks, with significant differences (p < 0.05) by age, FIM-M, FIM-C, and FAC stratification. Age ≤64 years (hazard ratio 1.92, 95% confidence interval 1.21-3.06), FIM-C ≥25 (hazard ratio 2.42, 95% confidence interval 1.52-3.86), and FAC ≥3 (hazard ratio 1.98, 95% confidence interval 1.22-3.21) significantly affected earlier walking independence (all p < 0.01). Impeding factors were FIM-M ≤38 (hazard ratio 0.23, 95% confidence interval 0.13-0.40; p < 0.01) and FAC = 0 (hazard ratio 0.184, 95% confidence interval 0.06-0.62; p < 0.01).</p><p><strong>Conclusion: </strong>Early improvement in \"real-life walking\" was associated with younger age, greater cognitive function, and greater \"test-setting walking\" ability on admission. Low activities of daily living independence and \"test-setting walking\" ability hindered early progress.</p>","PeriodicalId":54768,"journal":{"name":"Journal of Rehabilitation Medicine","volume":"57 ","pages":"jrm41993"},"PeriodicalIF":2.3000,"publicationDate":"2025-01-03","publicationTypes":"Journal Article","fieldsOfStudy":null,"isOpenAccess":false,"openAccessPdf":"https://www.ncbi.nlm.nih.gov/pmc/articles/PMC11681138/pdf/","citationCount":"0","resultStr":"{\"title\":\"Characteristics of subacute stroke patients who achieve earlier independence in real-life walking performance during hospitalization.\",\"authors\":\"Kenji Kawakami, Shigeo Tanabe, Daiki Kinoshita, Ryo Kitabatake, Hiroo Koshisaki, Kenta Fujimura, Yoshikiyo Kanada, Hiroaki Sakurai\",\"doi\":\"10.2340/jrm.v57.41993\",\"DOIUrl\":null,\"url\":null,\"abstract\":\"<p><strong>Objective: </strong>To identify factors associated with earlier independence in \\\"real-life walking\\\" during hospitalization in subacute stroke patients.</p><p><strong>Design: </strong>Retrospective cohort study.</p><p><strong>Subjects/patients: </strong>Two hundred and six hemiplegic patients.</p><p><strong>Methods: </strong>Functional Independence Measure (FIM) walking items were measured biweekly from admission to discharge. Patients were grouped by achieving independent \\\"real-life walking\\\" (FIM-walking score ≥6). Time to independence, stratified by age, FIM motor score (FIM-M), FIM cognitive score (FIM-C), and Functional Ambulation Categories (FAC) scores were compared using Kaplan- Meier plots and log-rank tests. Hazard ratios were calculated via multivariable Cox proportional hazard models.</p><p><strong>Results: </strong>The median time to independence was 4 weeks, with significant differences (p < 0.05) by age, FIM-M, FIM-C, and FAC stratification. Age ≤64 years (hazard ratio 1.92, 95% confidence interval 1.21-3.06), FIM-C ≥25 (hazard ratio 2.42, 95% confidence interval 1.52-3.86), and FAC ≥3 (hazard ratio 1.98, 95% confidence interval 1.22-3.21) significantly affected earlier walking independence (all p < 0.01). Impeding factors were FIM-M ≤38 (hazard ratio 0.23, 95% confidence interval 0.13-0.40; p < 0.01) and FAC = 0 (hazard ratio 0.184, 95% confidence interval 0.06-0.62; p < 0.01).</p><p><strong>Conclusion: </strong>Early improvement in \\\"real-life walking\\\" was associated with younger age, greater cognitive function, and greater \\\"test-setting walking\\\" ability on admission. Low activities of daily living independence and \\\"test-setting walking\\\" ability hindered early progress.</p>\",\"PeriodicalId\":54768,\"journal\":{\"name\":\"Journal of Rehabilitation Medicine\",\"volume\":\"57 \",\"pages\":\"jrm41993\"},\"PeriodicalIF\":2.3000,\"publicationDate\":\"2025-01-03\",\"publicationTypes\":\"Journal Article\",\"fieldsOfStudy\":null,\"isOpenAccess\":false,\"openAccessPdf\":\"https://www.ncbi.nlm.nih.gov/pmc/articles/PMC11681138/pdf/\",\"citationCount\":\"0\",\"resultStr\":null,\"platform\":\"Semanticscholar\",\"paperid\":null,\"PeriodicalName\":\"Journal of Rehabilitation Medicine\",\"FirstCategoryId\":\"3\",\"ListUrlMain\":\"https://doi.org/10.2340/jrm.v57.41993\",\"RegionNum\":4,\"RegionCategory\":\"医学\",\"ArticlePicture\":[],\"TitleCN\":null,\"AbstractTextCN\":null,\"PMCID\":null,\"EPubDate\":\"\",\"PubModel\":\"\",\"JCR\":\"Q1\",\"JCRName\":\"REHABILITATION\",\"Score\":null,\"Total\":0}","platform":"Semanticscholar","paperid":null,"PeriodicalName":"Journal of Rehabilitation Medicine","FirstCategoryId":"3","ListUrlMain":"https://doi.org/10.2340/jrm.v57.41993","RegionNum":4,"RegionCategory":"医学","ArticlePicture":[],"TitleCN":null,"AbstractTextCN":null,"PMCID":null,"EPubDate":"","PubModel":"","JCR":"Q1","JCRName":"REHABILITATION","Score":null,"Total":0}
引用次数: 0

摘要

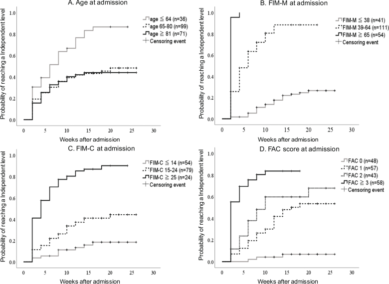
目的:探讨亚急性脑卒中患者住院期间“现实生活行走”早期独立性的相关因素。设计:回顾性队列研究。研究对象/患者:226例偏瘫患者。方法:从入院到出院,每两周测量一次功能独立测量(FIM)步行项目。根据独立“真实行走”(FIM-walking评分≥6)对患者进行分组。采用Kaplan- Meier图和log-rank检验对按年龄分层的独立时间、FIM运动评分(FIM- m)、FIM认知评分(FIM- c)和功能活动分类(FAC)评分进行比较。通过多变量Cox比例风险模型计算风险比。结果:中位独立时间为4周,差异有统计学意义(p)。结论:早期“现实生活步行”的改善与入院时年龄更小、认知功能更强、“测试设置步行”能力更强有关。日常生活独立活动能力低和“测试步行”能力低阻碍了早期发展。
本文章由计算机程序翻译,如有差异,请以英文原文为准。

Characteristics of subacute stroke patients who achieve earlier independence in real-life walking performance during hospitalization.

Characteristics of subacute stroke patients who achieve earlier independence in real-life walking performance during hospitalization.

Characteristics of subacute stroke patients who achieve earlier independence in real-life walking performance during hospitalization.

Objective: To identify factors associated with earlier independence in "real-life walking" during hospitalization in subacute stroke patients.

Design: Retrospective cohort study.

Subjects/patients: Two hundred and six hemiplegic patients.

Methods: Functional Independence Measure (FIM) walking items were measured biweekly from admission to discharge. Patients were grouped by achieving independent "real-life walking" (FIM-walking score ≥6). Time to independence, stratified by age, FIM motor score (FIM-M), FIM cognitive score (FIM-C), and Functional Ambulation Categories (FAC) scores were compared using Kaplan- Meier plots and log-rank tests. Hazard ratios were calculated via multivariable Cox proportional hazard models.

Results: The median time to independence was 4 weeks, with significant differences (p < 0.05) by age, FIM-M, FIM-C, and FAC stratification. Age ≤64 years (hazard ratio 1.92, 95% confidence interval 1.21-3.06), FIM-C ≥25 (hazard ratio 2.42, 95% confidence interval 1.52-3.86), and FAC ≥3 (hazard ratio 1.98, 95% confidence interval 1.22-3.21) significantly affected earlier walking independence (all p < 0.01). Impeding factors were FIM-M ≤38 (hazard ratio 0.23, 95% confidence interval 0.13-0.40; p < 0.01) and FAC = 0 (hazard ratio 0.184, 95% confidence interval 0.06-0.62; p < 0.01).

Conclusion: Early improvement in "real-life walking" was associated with younger age, greater cognitive function, and greater "test-setting walking" ability on admission. Low activities of daily living independence and "test-setting walking" ability hindered early progress.

求助全文
通过发布文献求助,成功后即可免费获取论文全文。 去求助
来源期刊
CiteScore
5.60
自引率
5.70%
发文量
102
审稿时长
4-8 weeks
期刊介绍: Journal of Rehabilitation Medicine is an international peer-review journal published in English, with at least 10 issues published per year. Original articles, reviews, case reports, short communications, special reports and letters to the editor are published, as also are editorials and book reviews. The journal strives to provide its readers with a variety of topics, including: functional assessment and intervention studies, clinical studies in various patient groups, methodology in physical and rehabilitation medicine, epidemiological studies on disabling conditions and reports on vocational and sociomedical aspects of rehabilitation.
×
引用
GB/T 7714-2015
复制
MLA
复制
APA
复制
导出至
BibTeX EndNote RefMan NoteFirst NoteExpress
×
提示
您的信息不完整,为了账户安全,请先补充。
现在去补充
×
提示
您因"违规操作"
具体请查看互助需知
我知道了
×
提示
确定
请完成安全验证×
copy
已复制链接
快去分享给好友吧!
我知道了
右上角分享
点击右上角分享
0
联系我们:info@booksci.cn Book学术提供免费学术资源搜索服务,方便国内外学者检索中英文文献。致力于提供最便捷和优质的服务体验。 Copyright © 2023 布克学术 All rights reserved.
京ICP备2023020795号-1
ghs 京公网安备 11010802042870号
Book学术文献互助
Book学术文献互助群
群 号:604180095
Book学术官方微信