预测严重烧伤死亡率:克罗地亚烧伤中心四种死亡率预测评分的比较和组织变化的作用。

IF 1.2 Q4 CRITICAL CARE MEDICINE
Agata Skunca, Ana Mesic, Dorotea Zagorac, Mirela Dobric, Vedran Lokosek, Morana Banic, Aleksandra Munjiza, Aisa Muratovic
{"title":"预测严重烧伤死亡率:克罗地亚烧伤中心四种死亡率预测评分的比较和组织变化的作用。","authors":"Agata Skunca, Ana Mesic, Dorotea Zagorac, Mirela Dobric, Vedran Lokosek, Morana Banic, Aleksandra Munjiza, Aisa Muratovic","doi":"10.3390/ebj5040036","DOIUrl":null,"url":null,"abstract":"<p><strong>Background: </strong>The primary aim of this study was to evaluate the performance of four burn prognostic scores-Abbreviated Burn Severity Index (ABSI), Ryan, Belgium Outcome Burn Injury (BOBI), and revised Baux score (rBaux) in a Croatian burn center. A secondary aim was to compare patient outcomes before and after the organizational and protocol changes.</p><p><strong>Methods: </strong>A retrospective study and comparison of four prediction scores was conducted over a nine-year period in burn patients with ≥20% total body surface area (TBSA) burned. Additionally, outcomes before and after organizational changes were compared.</p><p><strong>Results: </strong>A total of 149 patients were included, with the mean patient age of 54.62 ± 19.38 years, the mean of TBSA of 42.98 ± 19.90, and an overall mortality rate of 48.99%. The area under the ROC curve (AUROC) was 0.79 for the rBaux and ABSI score, 0.77 for the BOBI score, and 0.76 for the Ryan score. The duration of mechanical ventilation and length of stay (LOS) in burn intensive care units (BICU) decreased after the organizational changes, though survival rates remained similar.</p><p><strong>Conclusions: </strong>Prognostic scores are good predictors of mortality but with moderate predictive accuracy. Continuity of care in intensive care could be important for better outcomes.</p>","PeriodicalId":72961,"journal":{"name":"European burn journal","volume":"5 4","pages":"410-417"},"PeriodicalIF":1.2000,"publicationDate":"2024-11-15","publicationTypes":"Journal Article","fieldsOfStudy":null,"isOpenAccess":false,"openAccessPdf":"https://www.ncbi.nlm.nih.gov/pmc/articles/PMC11587143/pdf/","citationCount":"0","resultStr":"{\"title\":\"Predicting Mortality in Severe Burns: A Comparison of Four Mortality Prediction Scores and the Role of Organizational Changes in the Croatian Burn Center.\",\"authors\":\"Agata Skunca, Ana Mesic, Dorotea Zagorac, Mirela Dobric, Vedran Lokosek, Morana Banic, Aleksandra Munjiza, Aisa Muratovic\",\"doi\":\"10.3390/ebj5040036\",\"DOIUrl\":null,\"url\":null,\"abstract\":\"<p><strong>Background: </strong>The primary aim of this study was to evaluate the performance of four burn prognostic scores-Abbreviated Burn Severity Index (ABSI), Ryan, Belgium Outcome Burn Injury (BOBI), and revised Baux score (rBaux) in a Croatian burn center. A secondary aim was to compare patient outcomes before and after the organizational and protocol changes.</p><p><strong>Methods: </strong>A retrospective study and comparison of four prediction scores was conducted over a nine-year period in burn patients with ≥20% total body surface area (TBSA) burned. Additionally, outcomes before and after organizational changes were compared.</p><p><strong>Results: </strong>A total of 149 patients were included, with the mean patient age of 54.62 ± 19.38 years, the mean of TBSA of 42.98 ± 19.90, and an overall mortality rate of 48.99%. The area under the ROC curve (AUROC) was 0.79 for the rBaux and ABSI score, 0.77 for the BOBI score, and 0.76 for the Ryan score. The duration of mechanical ventilation and length of stay (LOS) in burn intensive care units (BICU) decreased after the organizational changes, though survival rates remained similar.</p><p><strong>Conclusions: </strong>Prognostic scores are good predictors of mortality but with moderate predictive accuracy. Continuity of care in intensive care could be important for better outcomes.</p>\",\"PeriodicalId\":72961,\"journal\":{\"name\":\"European burn journal\",\"volume\":\"5 4\",\"pages\":\"410-417\"},\"PeriodicalIF\":1.2000,\"publicationDate\":\"2024-11-15\",\"publicationTypes\":\"Journal Article\",\"fieldsOfStudy\":null,\"isOpenAccess\":false,\"openAccessPdf\":\"https://www.ncbi.nlm.nih.gov/pmc/articles/PMC11587143/pdf/\",\"citationCount\":\"0\",\"resultStr\":null,\"platform\":\"Semanticscholar\",\"paperid\":null,\"PeriodicalName\":\"European burn journal\",\"FirstCategoryId\":\"1085\",\"ListUrlMain\":\"https://doi.org/10.3390/ebj5040036\",\"RegionNum\":0,\"RegionCategory\":null,\"ArticlePicture\":[],\"TitleCN\":null,\"AbstractTextCN\":null,\"PMCID\":null,\"EPubDate\":\"\",\"PubModel\":\"\",\"JCR\":\"Q4\",\"JCRName\":\"CRITICAL CARE MEDICINE\",\"Score\":null,\"Total\":0}","platform":"Semanticscholar","paperid":null,"PeriodicalName":"European burn journal","FirstCategoryId":"1085","ListUrlMain":"https://doi.org/10.3390/ebj5040036","RegionNum":0,"RegionCategory":null,"ArticlePicture":[],"TitleCN":null,"AbstractTextCN":null,"PMCID":null,"EPubDate":"","PubModel":"","JCR":"Q4","JCRName":"CRITICAL CARE MEDICINE","Score":null,"Total":0}
引用次数: 0

摘要

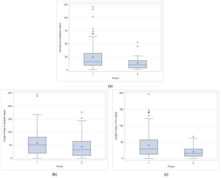
背景:本研究的主要目的是评估四种烧伤预后评分的表现-简化烧伤严重指数(ABSI), Ryan,比利时烧伤结局(BOBI)和克罗地亚烧伤中心的修订Baux评分(rBaux)。第二个目的是比较组织和方案改变前后的患者结果。方法:回顾性研究并比较9年烧伤患者总体表面积(TBSA)≥20%的4项预测评分。此外,比较组织改变前后的结果。结果:共纳入149例患者,患者平均年龄54.62±19.38岁,TBSA平均42.98±19.90,总死亡率48.99%。rBaux和ABSI评分的ROC曲线下面积(AUROC)为0.79,BOBI评分为0.77,Ryan评分为0.76。组织改变后,烧伤重症监护病房(BICU)的机械通气时间和住院时间(LOS)减少,但生存率保持不变。结论:预后评分是死亡率的良好预测指标,但预测准确性不高。重症监护的连续性可能对更好的结果很重要。
本文章由计算机程序翻译,如有差异,请以英文原文为准。

Predicting Mortality in Severe Burns: A Comparison of Four Mortality Prediction Scores and the Role of Organizational Changes in the Croatian Burn Center.

Predicting Mortality in Severe Burns: A Comparison of Four Mortality Prediction Scores and the Role of Organizational Changes in the Croatian Burn Center.

Predicting Mortality in Severe Burns: A Comparison of Four Mortality Prediction Scores and the Role of Organizational Changes in the Croatian Burn Center.

Background: The primary aim of this study was to evaluate the performance of four burn prognostic scores-Abbreviated Burn Severity Index (ABSI), Ryan, Belgium Outcome Burn Injury (BOBI), and revised Baux score (rBaux) in a Croatian burn center. A secondary aim was to compare patient outcomes before and after the organizational and protocol changes.

Methods: A retrospective study and comparison of four prediction scores was conducted over a nine-year period in burn patients with ≥20% total body surface area (TBSA) burned. Additionally, outcomes before and after organizational changes were compared.

Results: A total of 149 patients were included, with the mean patient age of 54.62 ± 19.38 years, the mean of TBSA of 42.98 ± 19.90, and an overall mortality rate of 48.99%. The area under the ROC curve (AUROC) was 0.79 for the rBaux and ABSI score, 0.77 for the BOBI score, and 0.76 for the Ryan score. The duration of mechanical ventilation and length of stay (LOS) in burn intensive care units (BICU) decreased after the organizational changes, though survival rates remained similar.

Conclusions: Prognostic scores are good predictors of mortality but with moderate predictive accuracy. Continuity of care in intensive care could be important for better outcomes.

求助全文
通过发布文献求助,成功后即可免费获取论文全文。 去求助
来源期刊
自引率
0.00%
发文量
0
×
引用
GB/T 7714-2015
复制
MLA
复制
APA
复制
导出至
BibTeX EndNote RefMan NoteFirst NoteExpress
×
提示
您的信息不完整,为了账户安全,请先补充。
现在去补充
×
提示
您因"违规操作"
具体请查看互助需知
我知道了
×
提示
确定
请完成安全验证×
copy
已复制链接
快去分享给好友吧!
我知道了
右上角分享
点击右上角分享
0
联系我们:info@booksci.cn Book学术提供免费学术资源搜索服务,方便国内外学者检索中英文文献。致力于提供最便捷和优质的服务体验。 Copyright © 2023 布克学术 All rights reserved.
京ICP备2023020795号-1
ghs 京公网安备 11010802042870号
Book学术文献互助
Book学术文献互助群
群 号:604180095
Book学术官方微信