使用Elexacaftor/Tezacaftor/Ivacaftor (ETI)成功治疗罕见非phe508del囊性纤维化跨膜传导调节因子(CFTR)突变的囊性纤维化患者超过12个月

IF 2.3 Q3 RESPIRATORY SYSTEM
Tomke Sütering, Sebastian F N Bode, Rainald Fischer, Dorit Fabricius
{"title":"使用Elexacaftor/Tezacaftor/Ivacaftor (ETI)成功治疗罕见非phe508del囊性纤维化跨膜传导调节因子(CFTR)突变的囊性纤维化患者超过12个月","authors":"Tomke Sütering, Sebastian F N Bode, Rainald Fischer, Dorit Fabricius","doi":"10.3390/arm92060049","DOIUrl":null,"url":null,"abstract":"<p><p><b>Background:</b> Elexacaftor/Tezacaftor/Ivacaftor (ETI) is a CFTR modulator therapy approved for people with cystic fibrosis (pwCF) who have at least one phe508del mutation. However, its approval in the European Union (EU) for pwCF with non-phe508del mutations is lacking, because data on treatment response in this subgroup are scarce. <b>Methods:</b> This retrospective observational study evaluated six pwCF (ages 6 to 66) with responsive CFTR mutations (M1101K, R347P, 2789+5G>A, G551D) undergoing off-label ETI therapy. Evaluations were conducted at 0, 3, 6, 9, and 12 months, assessing lung function (FEV<sub>1</sub>), sweat chloride levels, body mass index (BMI), quality of life, medication satisfaction, ear, nose and throat (ENT) symptoms, and physical activity. A control group of four pwCF with classic symptoms and no ETI treatment was included. <b>Results:</b> FEV<sub>1</sub> improved significantly after 3 and 6 months (<i>p</i> < 0.05) and stabilized by 12 months. Sweat chloride levels decreased significantly, with four pwCF achieving levels <60 mmol/L. Improvements in the upper and lower airway symptoms, medication satisfaction, and increased BMI were noted. <b>Conclusions:</b> ETI demonstrates high efficacy in this small group of pwCF with rare CFTR mutations, offering a treatment option that warrants further monitoring and evaluation.</p>","PeriodicalId":7391,"journal":{"name":"Advances in respiratory medicine","volume":"92 6","pages":"559-572"},"PeriodicalIF":2.3000,"publicationDate":"2024-12-20","publicationTypes":"Journal Article","fieldsOfStudy":null,"isOpenAccess":false,"openAccessPdf":"https://www.ncbi.nlm.nih.gov/pmc/articles/PMC11672886/pdf/","citationCount":"0","resultStr":"{\"title\":\"Successful Therapy over 12 Months of People with Cystic Fibrosis with Rare Non-phe508del Cystic Fibrosis Transmembrane Conductance Regulator (CFTR) Mutations with Elexacaftor/Tezacaftor/Ivacaftor (ETI).\",\"authors\":\"Tomke Sütering, Sebastian F N Bode, Rainald Fischer, Dorit Fabricius\",\"doi\":\"10.3390/arm92060049\",\"DOIUrl\":null,\"url\":null,\"abstract\":\"<p><p><b>Background:</b> Elexacaftor/Tezacaftor/Ivacaftor (ETI) is a CFTR modulator therapy approved for people with cystic fibrosis (pwCF) who have at least one phe508del mutation. However, its approval in the European Union (EU) for pwCF with non-phe508del mutations is lacking, because data on treatment response in this subgroup are scarce. <b>Methods:</b> This retrospective observational study evaluated six pwCF (ages 6 to 66) with responsive CFTR mutations (M1101K, R347P, 2789+5G>A, G551D) undergoing off-label ETI therapy. Evaluations were conducted at 0, 3, 6, 9, and 12 months, assessing lung function (FEV<sub>1</sub>), sweat chloride levels, body mass index (BMI), quality of life, medication satisfaction, ear, nose and throat (ENT) symptoms, and physical activity. A control group of four pwCF with classic symptoms and no ETI treatment was included. <b>Results:</b> FEV<sub>1</sub> improved significantly after 3 and 6 months (<i>p</i> < 0.05) and stabilized by 12 months. Sweat chloride levels decreased significantly, with four pwCF achieving levels <60 mmol/L. Improvements in the upper and lower airway symptoms, medication satisfaction, and increased BMI were noted. <b>Conclusions:</b> ETI demonstrates high efficacy in this small group of pwCF with rare CFTR mutations, offering a treatment option that warrants further monitoring and evaluation.</p>\",\"PeriodicalId\":7391,\"journal\":{\"name\":\"Advances in respiratory medicine\",\"volume\":\"92 6\",\"pages\":\"559-572\"},\"PeriodicalIF\":2.3000,\"publicationDate\":\"2024-12-20\",\"publicationTypes\":\"Journal Article\",\"fieldsOfStudy\":null,\"isOpenAccess\":false,\"openAccessPdf\":\"https://www.ncbi.nlm.nih.gov/pmc/articles/PMC11672886/pdf/\",\"citationCount\":\"0\",\"resultStr\":null,\"platform\":\"Semanticscholar\",\"paperid\":null,\"PeriodicalName\":\"Advances in respiratory medicine\",\"FirstCategoryId\":\"1085\",\"ListUrlMain\":\"https://doi.org/10.3390/arm92060049\",\"RegionNum\":0,\"RegionCategory\":null,\"ArticlePicture\":[],\"TitleCN\":null,\"AbstractTextCN\":null,\"PMCID\":null,\"EPubDate\":\"\",\"PubModel\":\"\",\"JCR\":\"Q3\",\"JCRName\":\"RESPIRATORY SYSTEM\",\"Score\":null,\"Total\":0}","platform":"Semanticscholar","paperid":null,"PeriodicalName":"Advances in respiratory medicine","FirstCategoryId":"1085","ListUrlMain":"https://doi.org/10.3390/arm92060049","RegionNum":0,"RegionCategory":null,"ArticlePicture":[],"TitleCN":null,"AbstractTextCN":null,"PMCID":null,"EPubDate":"","PubModel":"","JCR":"Q3","JCRName":"RESPIRATORY SYSTEM","Score":null,"Total":0}
引用次数: 0

摘要

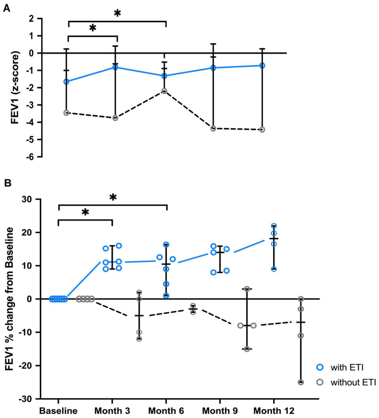
背景:Elexacaftor/Tezacaftor/Ivacaftor (ETI)是一种CFTR调节剂,被批准用于至少有一个phe508del突变的囊性纤维化(pwCF)患者。然而,由于该亚组的治疗反应数据很少,因此在欧盟(EU)缺乏对非phe508del突变pwCF的批准。方法:这项回顾性观察性研究评估了6例接受标签外ETI治疗的CFTR突变(M1101K, R347P, 2789+5G>A, G551D)反应性的pwCF(6至66岁)。在0、3、6、9和12个月时进行评估,评估肺功能(FEV1)、汗液氯化物水平、体重指数(BMI)、生活质量、用药满意度、耳鼻喉(ENT)症状和身体活动。对照组为4例症状典型且未接受ETI治疗的pwCF患者。结果:FEV1在3、6个月时明显改善(p < 0.05), 12个月时稳定。结论:ETI在这一小群罕见CFTR突变的pwCF中显示出很高的疗效,提供了一种值得进一步监测和评估的治疗选择。
本文章由计算机程序翻译,如有差异,请以英文原文为准。

Successful Therapy over 12 Months of People with Cystic Fibrosis with Rare Non-phe508del Cystic Fibrosis Transmembrane Conductance Regulator (CFTR) Mutations with Elexacaftor/Tezacaftor/Ivacaftor (ETI).

Successful Therapy over 12 Months of People with Cystic Fibrosis with Rare Non-phe508del Cystic Fibrosis Transmembrane Conductance Regulator (CFTR) Mutations with Elexacaftor/Tezacaftor/Ivacaftor (ETI).

Successful Therapy over 12 Months of People with Cystic Fibrosis with Rare Non-phe508del Cystic Fibrosis Transmembrane Conductance Regulator (CFTR) Mutations with Elexacaftor/Tezacaftor/Ivacaftor (ETI).

Successful Therapy over 12 Months of People with Cystic Fibrosis with Rare Non-phe508del Cystic Fibrosis Transmembrane Conductance Regulator (CFTR) Mutations with Elexacaftor/Tezacaftor/Ivacaftor (ETI).

Background: Elexacaftor/Tezacaftor/Ivacaftor (ETI) is a CFTR modulator therapy approved for people with cystic fibrosis (pwCF) who have at least one phe508del mutation. However, its approval in the European Union (EU) for pwCF with non-phe508del mutations is lacking, because data on treatment response in this subgroup are scarce. Methods: This retrospective observational study evaluated six pwCF (ages 6 to 66) with responsive CFTR mutations (M1101K, R347P, 2789+5G>A, G551D) undergoing off-label ETI therapy. Evaluations were conducted at 0, 3, 6, 9, and 12 months, assessing lung function (FEV1), sweat chloride levels, body mass index (BMI), quality of life, medication satisfaction, ear, nose and throat (ENT) symptoms, and physical activity. A control group of four pwCF with classic symptoms and no ETI treatment was included. Results: FEV1 improved significantly after 3 and 6 months (p < 0.05) and stabilized by 12 months. Sweat chloride levels decreased significantly, with four pwCF achieving levels <60 mmol/L. Improvements in the upper and lower airway symptoms, medication satisfaction, and increased BMI were noted. Conclusions: ETI demonstrates high efficacy in this small group of pwCF with rare CFTR mutations, offering a treatment option that warrants further monitoring and evaluation.

求助全文
通过发布文献求助,成功后即可免费获取论文全文。 去求助
来源期刊
Advances in respiratory medicine
Advances in respiratory medicine RESPIRATORY SYSTEM-
CiteScore
2.60
自引率
0.00%
发文量
90
期刊介绍: "Advances in Respiratory Medicine" is a new international title for "Pneumonologia i Alergologia Polska", edited bimonthly and addressed to respiratory professionals. The Journal contains peer-reviewed original research papers, short communications, case-reports, recommendations of the Polish Respiratory Society concerning the diagnosis and treatment of lung diseases, editorials, postgraduate education articles, letters and book reviews in the field of pneumonology, allergology, oncology, immunology and infectious diseases. "Advances in Respiratory Medicine" is an open access, official journal of Polish Society of Lung Diseases, Polish Society of Allergology and National Research Institute of Tuberculosis and Lung Diseases.
×
引用
GB/T 7714-2015
复制
MLA
复制
APA
复制
导出至
BibTeX EndNote RefMan NoteFirst NoteExpress
×
提示
您的信息不完整,为了账户安全,请先补充。
现在去补充
×
提示
您因"违规操作"
具体请查看互助需知
我知道了
×
提示
确定
请完成安全验证×
copy
已复制链接
快去分享给好友吧!
我知道了
右上角分享
点击右上角分享
0
联系我们:info@booksci.cn Book学术提供免费学术资源搜索服务,方便国内外学者检索中英文文献。致力于提供最便捷和优质的服务体验。 Copyright © 2023 布克学术 All rights reserved.
京ICP备2023020795号-1
ghs 京公网安备 11010802042870号
Book学术文献互助
Book学术文献互助群
群 号:604180095
Book学术官方微信