糖化血红蛋白检测非糖尿病患者冠状动脉疾病严重程度的预测能力:伊朗南部的一项横断面研究

IF 0.6 Q4 CARDIAC & CARDIOVASCULAR SYSTEMS
Shahin Abbaszadeh, Shideh Rafati, Daryoush Mamikhani, Mahdieh Emami, Nahid Shahabi
{"title":"糖化血红蛋白检测非糖尿病患者冠状动脉疾病严重程度的预测能力:伊朗南部的一项横断面研究","authors":"Shahin Abbaszadeh, Shideh Rafati, Daryoush Mamikhani, Mahdieh Emami, Nahid Shahabi","doi":"10.48305/arya.2024.42463.2936","DOIUrl":null,"url":null,"abstract":"<p><strong>Background: </strong>The relationship between hemoglobin A1c (HbA1c) levels and coronary artery disease (CAD) severity is still a matter of debate in non-diabetic patients. This study aimed to determine the association between HbA1c and the severity of CAD in non-diabetic patients.</p><p><strong>Methods: </strong>The present cross-sectional study was conducted in 2018-2019 on 133 non-diabetic patients with stable angina, unstable angina, or myocardial infarction (MI). They were selected through systematic random sampling. The data were collected by taking a complete medical history, calculating the SYNTAX score, and measuring HbA1c.</p><p><strong>Results: </strong>A SYNTAX score of >22 was significantly correlated with age, left ventricular ejection fraction, HbA1c, and total cholesterol. The mean SYNTAX score was higher in male patients, those with HbA1c >5.6, and patients with a primary clinical presentation of MI. The association between the SYNTAX score and HbA1c was found to be statistically significant (r = 0.659; P < .001). The odds of having a SYNTAX score of >22 for those with HbA1c >5.6 was 5.48 times higher than for those with HbA1c ≤ 5.6 (odds ratio [OR], 5.48; <i>P <</i> .001). The odds of three-vessel disease in individuals with an HbA1c level greater than 5.6 were found to be 4.80 times higher than in those with HbA1c levels at or below 5.6 (OR, 4.80; <i>P =</i> 0.002).</p><p><strong>Conclusion: </strong>The present findings showed that HbA1c has the potential to predict the severity of CAD in non-diabetic individuals. HbA1c, even at levels within the normal range, was significantly correlated with SYNTAX scores.</p>","PeriodicalId":46477,"journal":{"name":"ARYA Atherosclerosis","volume":"20 5","pages":"15-24"},"PeriodicalIF":0.6000,"publicationDate":"2024-01-01","publicationTypes":"Journal Article","fieldsOfStudy":null,"isOpenAccess":false,"openAccessPdf":"https://www.ncbi.nlm.nih.gov/pmc/articles/PMC11663445/pdf/","citationCount":"0","resultStr":"{\"title\":\"Predictive power of glycated hemoglobin in detecting severity of coronary artery disease in non-diabetic patients: A cross-sectional study in southern Iran.\",\"authors\":\"Shahin Abbaszadeh, Shideh Rafati, Daryoush Mamikhani, Mahdieh Emami, Nahid Shahabi\",\"doi\":\"10.48305/arya.2024.42463.2936\",\"DOIUrl\":null,\"url\":null,\"abstract\":\"<p><strong>Background: </strong>The relationship between hemoglobin A1c (HbA1c) levels and coronary artery disease (CAD) severity is still a matter of debate in non-diabetic patients. This study aimed to determine the association between HbA1c and the severity of CAD in non-diabetic patients.</p><p><strong>Methods: </strong>The present cross-sectional study was conducted in 2018-2019 on 133 non-diabetic patients with stable angina, unstable angina, or myocardial infarction (MI). They were selected through systematic random sampling. The data were collected by taking a complete medical history, calculating the SYNTAX score, and measuring HbA1c.</p><p><strong>Results: </strong>A SYNTAX score of >22 was significantly correlated with age, left ventricular ejection fraction, HbA1c, and total cholesterol. The mean SYNTAX score was higher in male patients, those with HbA1c >5.6, and patients with a primary clinical presentation of MI. The association between the SYNTAX score and HbA1c was found to be statistically significant (r = 0.659; P < .001). The odds of having a SYNTAX score of >22 for those with HbA1c >5.6 was 5.48 times higher than for those with HbA1c ≤ 5.6 (odds ratio [OR], 5.48; <i>P <</i> .001). The odds of three-vessel disease in individuals with an HbA1c level greater than 5.6 were found to be 4.80 times higher than in those with HbA1c levels at or below 5.6 (OR, 4.80; <i>P =</i> 0.002).</p><p><strong>Conclusion: </strong>The present findings showed that HbA1c has the potential to predict the severity of CAD in non-diabetic individuals. HbA1c, even at levels within the normal range, was significantly correlated with SYNTAX scores.</p>\",\"PeriodicalId\":46477,\"journal\":{\"name\":\"ARYA Atherosclerosis\",\"volume\":\"20 5\",\"pages\":\"15-24\"},\"PeriodicalIF\":0.6000,\"publicationDate\":\"2024-01-01\",\"publicationTypes\":\"Journal Article\",\"fieldsOfStudy\":null,\"isOpenAccess\":false,\"openAccessPdf\":\"https://www.ncbi.nlm.nih.gov/pmc/articles/PMC11663445/pdf/\",\"citationCount\":\"0\",\"resultStr\":null,\"platform\":\"Semanticscholar\",\"paperid\":null,\"PeriodicalName\":\"ARYA Atherosclerosis\",\"FirstCategoryId\":\"1085\",\"ListUrlMain\":\"https://doi.org/10.48305/arya.2024.42463.2936\",\"RegionNum\":0,\"RegionCategory\":null,\"ArticlePicture\":[],\"TitleCN\":null,\"AbstractTextCN\":null,\"PMCID\":null,\"EPubDate\":\"\",\"PubModel\":\"\",\"JCR\":\"Q4\",\"JCRName\":\"CARDIAC & CARDIOVASCULAR SYSTEMS\",\"Score\":null,\"Total\":0}","platform":"Semanticscholar","paperid":null,"PeriodicalName":"ARYA Atherosclerosis","FirstCategoryId":"1085","ListUrlMain":"https://doi.org/10.48305/arya.2024.42463.2936","RegionNum":0,"RegionCategory":null,"ArticlePicture":[],"TitleCN":null,"AbstractTextCN":null,"PMCID":null,"EPubDate":"","PubModel":"","JCR":"Q4","JCRName":"CARDIAC & CARDIOVASCULAR SYSTEMS","Score":null,"Total":0}
引用次数: 0

摘要

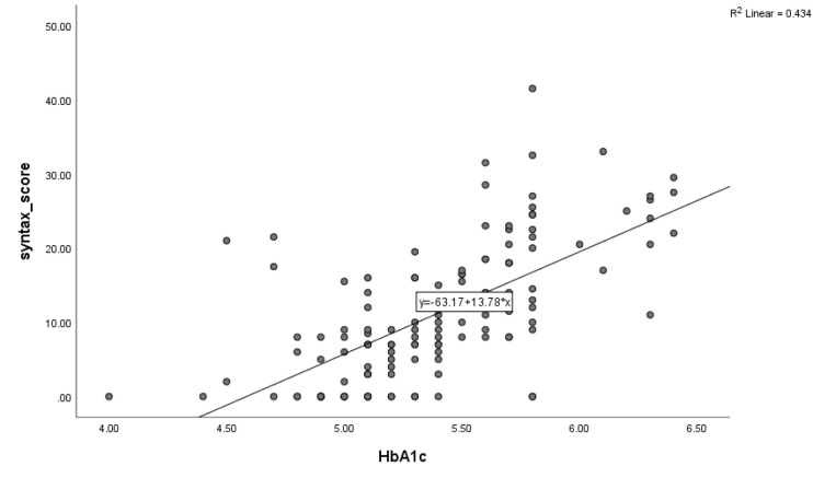
背景:在非糖尿病患者中,血红蛋白A1c (HbA1c)水平与冠状动脉疾病(CAD)严重程度之间的关系仍存在争议。本研究旨在确定非糖尿病患者HbA1c与冠心病严重程度之间的关系。方法:本横断面研究于2018-2019年对133例非糖尿病患者进行了稳定型心绞痛、不稳定型心绞痛或心肌梗死(MI)。他们是通过系统随机抽样选出的。通过完整的病史、计算SYNTAX评分和测量HbA1c来收集数据。结果:SYNTAX评分bbbb22与年龄、左室射血分数、HbA1c和总胆固醇显著相关。男性患者、糖化血红蛋白为bbb5.6的患者和以心肌梗死为主要临床表现的患者的SYNTAX平均评分更高。SYNTAX评分与糖化血红蛋白之间的相关性具有统计学意义(r = 0.659;P < 0.001)。HbA1c为>5.6的患者SYNTAX评分为>22的几率是HbA1c≤5.6的患者的5.48倍(比值比[OR], 5.48;P措施)。发现HbA1c水平大于5.6的个体患三支血管疾病的几率是HbA1c水平等于或低于5.6的个体的4.80倍(or, 4.80;P = 0.002)。结论:目前的研究结果表明,HbA1c有可能预测非糖尿病患者CAD的严重程度。HbA1c,即使在正常范围内,也与SYNTAX评分显著相关。
本文章由计算机程序翻译,如有差异,请以英文原文为准。

Predictive power of glycated hemoglobin in detecting severity of coronary artery disease in non-diabetic patients: A cross-sectional study in southern Iran.

Predictive power of glycated hemoglobin in detecting severity of coronary artery disease in non-diabetic patients: A cross-sectional study in southern Iran.

Background: The relationship between hemoglobin A1c (HbA1c) levels and coronary artery disease (CAD) severity is still a matter of debate in non-diabetic patients. This study aimed to determine the association between HbA1c and the severity of CAD in non-diabetic patients.

Methods: The present cross-sectional study was conducted in 2018-2019 on 133 non-diabetic patients with stable angina, unstable angina, or myocardial infarction (MI). They were selected through systematic random sampling. The data were collected by taking a complete medical history, calculating the SYNTAX score, and measuring HbA1c.

Results: A SYNTAX score of >22 was significantly correlated with age, left ventricular ejection fraction, HbA1c, and total cholesterol. The mean SYNTAX score was higher in male patients, those with HbA1c >5.6, and patients with a primary clinical presentation of MI. The association between the SYNTAX score and HbA1c was found to be statistically significant (r = 0.659; P < .001). The odds of having a SYNTAX score of >22 for those with HbA1c >5.6 was 5.48 times higher than for those with HbA1c ≤ 5.6 (odds ratio [OR], 5.48; P < .001). The odds of three-vessel disease in individuals with an HbA1c level greater than 5.6 were found to be 4.80 times higher than in those with HbA1c levels at or below 5.6 (OR, 4.80; P = 0.002).

Conclusion: The present findings showed that HbA1c has the potential to predict the severity of CAD in non-diabetic individuals. HbA1c, even at levels within the normal range, was significantly correlated with SYNTAX scores.

求助全文
通过发布文献求助,成功后即可免费获取论文全文。 去求助
来源期刊
ARYA Atherosclerosis
ARYA Atherosclerosis CARDIAC & CARDIOVASCULAR SYSTEMS-
CiteScore
1.00
自引率
0.00%
发文量
0
审稿时长
18 weeks
×
引用
GB/T 7714-2015
复制
MLA
复制
APA
复制
导出至
BibTeX EndNote RefMan NoteFirst NoteExpress
×
提示
您的信息不完整,为了账户安全,请先补充。
现在去补充
×
提示
您因"违规操作"
具体请查看互助需知
我知道了
×
提示
确定
请完成安全验证×
copy
已复制链接
快去分享给好友吧!
我知道了
右上角分享
点击右上角分享
0
联系我们:info@booksci.cn Book学术提供免费学术资源搜索服务,方便国内外学者检索中英文文献。致力于提供最便捷和优质的服务体验。 Copyright © 2023 布克学术 All rights reserved.
京ICP备2023020795号-1
ghs 京公网安备 11010802042870号
Book学术文献互助
Book学术文献互助群
群 号:604180095
Book学术官方微信