关于有意识人脑类器官可能性的道德直觉:一项实验伦理学研究。

IF 3 2区 哲学 Q1 ENGINEERING, MULTIDISCIPLINARY
Koji Ota, Tetsushi Tanibe, Takumi Watanabe, Kazuki Iijima, Mineki Oguchi
{"title":"关于有意识人脑类器官可能性的道德直觉:一项实验伦理学研究。","authors":"Koji Ota, Tetsushi Tanibe, Takumi Watanabe, Kazuki Iijima, Mineki Oguchi","doi":"10.1007/s11948-024-00525-w","DOIUrl":null,"url":null,"abstract":"<p><p>The moral status of human brain organoids (HBOs) has been debated in view of the future possibility that they may acquire phenomenal consciousness. This study empirically investigates the moral sensitivity in people's intuitive judgments about actions toward conscious HBOs. The results showed that the presence/absence of pain experience in HBOs affected the judgment about the moral permissibility of actions such as creating and destroying the HBOs; however, the presence/absence of visual experience in HBOs also affected the judgment. These findings suggest that people's intuitive judgments about the moral status of HBOs are sensitive to the valence-independent value of phenomenal consciousness. We discuss how these observations can have normative implications; particularly, we argue that they put pressure on the theoretical view that the moral status of conscious HBOs is grounded solely in the valence-dependent value of consciousness. We also discuss how our findings can be informative even when such a theoretical view is finally justified or when the future possibility of conscious HBOs is implausible.</p>","PeriodicalId":49564,"journal":{"name":"Science and Engineering Ethics","volume":"31 1","pages":"2"},"PeriodicalIF":3.0000,"publicationDate":"2024-12-19","publicationTypes":"Journal Article","fieldsOfStudy":null,"isOpenAccess":false,"openAccessPdf":"https://www.ncbi.nlm.nih.gov/pmc/articles/PMC11659373/pdf/","citationCount":"0","resultStr":"{\"title\":\"Moral Intuition Regarding the Possibility of Conscious Human Brain Organoids: An Experimental Ethics Study.\",\"authors\":\"Koji Ota, Tetsushi Tanibe, Takumi Watanabe, Kazuki Iijima, Mineki Oguchi\",\"doi\":\"10.1007/s11948-024-00525-w\",\"DOIUrl\":null,\"url\":null,\"abstract\":\"<p><p>The moral status of human brain organoids (HBOs) has been debated in view of the future possibility that they may acquire phenomenal consciousness. This study empirically investigates the moral sensitivity in people's intuitive judgments about actions toward conscious HBOs. The results showed that the presence/absence of pain experience in HBOs affected the judgment about the moral permissibility of actions such as creating and destroying the HBOs; however, the presence/absence of visual experience in HBOs also affected the judgment. These findings suggest that people's intuitive judgments about the moral status of HBOs are sensitive to the valence-independent value of phenomenal consciousness. We discuss how these observations can have normative implications; particularly, we argue that they put pressure on the theoretical view that the moral status of conscious HBOs is grounded solely in the valence-dependent value of consciousness. We also discuss how our findings can be informative even when such a theoretical view is finally justified or when the future possibility of conscious HBOs is implausible.</p>\",\"PeriodicalId\":49564,\"journal\":{\"name\":\"Science and Engineering Ethics\",\"volume\":\"31 1\",\"pages\":\"2\"},\"PeriodicalIF\":3.0000,\"publicationDate\":\"2024-12-19\",\"publicationTypes\":\"Journal Article\",\"fieldsOfStudy\":null,\"isOpenAccess\":false,\"openAccessPdf\":\"https://www.ncbi.nlm.nih.gov/pmc/articles/PMC11659373/pdf/\",\"citationCount\":\"0\",\"resultStr\":null,\"platform\":\"Semanticscholar\",\"paperid\":null,\"PeriodicalName\":\"Science and Engineering Ethics\",\"FirstCategoryId\":\"98\",\"ListUrlMain\":\"https://doi.org/10.1007/s11948-024-00525-w\",\"RegionNum\":2,\"RegionCategory\":\"哲学\",\"ArticlePicture\":[],\"TitleCN\":null,\"AbstractTextCN\":null,\"PMCID\":null,\"EPubDate\":\"\",\"PubModel\":\"\",\"JCR\":\"Q1\",\"JCRName\":\"ENGINEERING, MULTIDISCIPLINARY\",\"Score\":null,\"Total\":0}","platform":"Semanticscholar","paperid":null,"PeriodicalName":"Science and Engineering Ethics","FirstCategoryId":"98","ListUrlMain":"https://doi.org/10.1007/s11948-024-00525-w","RegionNum":2,"RegionCategory":"哲学","ArticlePicture":[],"TitleCN":null,"AbstractTextCN":null,"PMCID":null,"EPubDate":"","PubModel":"","JCR":"Q1","JCRName":"ENGINEERING, MULTIDISCIPLINARY","Score":null,"Total":0}
引用次数: 0

摘要

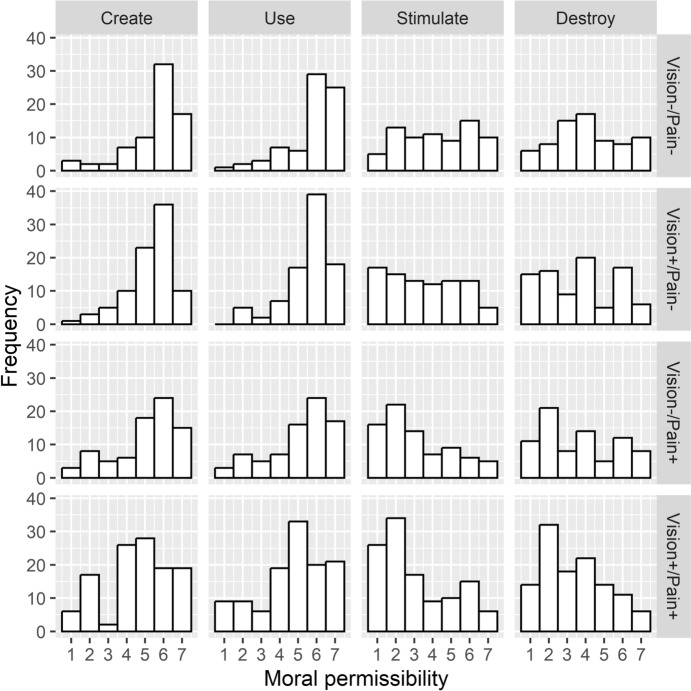
人脑类器官(HBOs)的道德地位一直存在争议,因为它们未来可能会获得现象级意识。本研究实证研究了人们对有意识的HBOs行为的直觉判断中的道德敏感性。结果表明,HBOs存在/不存在会影响对创建和破坏HBOs等行为的道德容忍度判断;然而,HBOs中有无视觉经验也会影响判断。这些发现表明,人们对HBOs道德地位的直觉判断对现象意识的价无关价值很敏感。我们将讨论这些观察结果如何具有规范性含义;特别是,我们认为他们对有意识的HBOs的道德地位仅仅基于意识的价值依赖的理论观点施加了压力。我们还讨论了我们的发现如何能够提供信息,即使这样的理论观点最终被证明是正确的,或者当未来有意识的HBOs的可能性是不可信的。
本文章由计算机程序翻译,如有差异,请以英文原文为准。

Moral Intuition Regarding the Possibility of Conscious Human Brain Organoids: An Experimental Ethics Study.

Moral Intuition Regarding the Possibility of Conscious Human Brain Organoids: An Experimental Ethics Study.

The moral status of human brain organoids (HBOs) has been debated in view of the future possibility that they may acquire phenomenal consciousness. This study empirically investigates the moral sensitivity in people's intuitive judgments about actions toward conscious HBOs. The results showed that the presence/absence of pain experience in HBOs affected the judgment about the moral permissibility of actions such as creating and destroying the HBOs; however, the presence/absence of visual experience in HBOs also affected the judgment. These findings suggest that people's intuitive judgments about the moral status of HBOs are sensitive to the valence-independent value of phenomenal consciousness. We discuss how these observations can have normative implications; particularly, we argue that they put pressure on the theoretical view that the moral status of conscious HBOs is grounded solely in the valence-dependent value of consciousness. We also discuss how our findings can be informative even when such a theoretical view is finally justified or when the future possibility of conscious HBOs is implausible.

求助全文
通过发布文献求助,成功后即可免费获取论文全文。 去求助
来源期刊
Science and Engineering Ethics
Science and Engineering Ethics 综合性期刊-工程:综合
CiteScore
10.70
自引率
5.40%
发文量
54
审稿时长
>12 weeks
期刊介绍: Science and Engineering Ethics is an international multidisciplinary journal dedicated to exploring ethical issues associated with science and engineering, covering professional education, research and practice as well as the effects of technological innovations and research findings on society. While the focus of this journal is on science and engineering, contributions from a broad range of disciplines, including social sciences and humanities, are welcomed. Areas of interest include, but are not limited to, ethics of new and emerging technologies, research ethics, computer ethics, energy ethics, animals and human subjects ethics, ethics education in science and engineering, ethics in design, biomedical ethics, values in technology and innovation. We welcome contributions that deal with these issues from an international perspective, particularly from countries that are underrepresented in these discussions.
×
引用
GB/T 7714-2015
复制
MLA
复制
APA
复制
导出至
BibTeX EndNote RefMan NoteFirst NoteExpress
×
提示
您的信息不完整,为了账户安全,请先补充。
现在去补充
×
提示
您因"违规操作"
具体请查看互助需知
我知道了
×
提示
确定
请完成安全验证×
copy
已复制链接
快去分享给好友吧!
我知道了
右上角分享
点击右上角分享
0
联系我们:info@booksci.cn Book学术提供免费学术资源搜索服务,方便国内外学者检索中英文文献。致力于提供最便捷和优质的服务体验。 Copyright © 2023 布克学术 All rights reserved.
京ICP备2023020795号-1
ghs 京公网安备 11010802042870号
Book学术文献互助
Book学术文献互助群
群 号:604180095
Book学术官方微信