肝移植治疗自身免疫性肝炎:20年三级中心经验。

IF 1.6 4区 医学 Q4 GASTROENTEROLOGY & HEPATOLOGY
Osman Sağlam, Muhsin Murat Muhip Harputluoğlu, Yılmaz Bilgiç, Sezai Yılmaz, Fatma Hilal Yağın, Cumali Efe
{"title":"肝移植治疗自身免疫性肝炎:20年三级中心经验。","authors":"Osman Sağlam, Muhsin Murat Muhip Harputluoğlu, Yılmaz Bilgiç, Sezai Yılmaz, Fatma Hilal Yağın, Cumali Efe","doi":"10.5152/tjg.2024.24464","DOIUrl":null,"url":null,"abstract":"<p><strong>Background/aims: </strong>We analyzed the frequency of complications and survival rates in patients with autoimmune hepatitis (AIH) who underwent liver transplantation at a high-volume transplant center.</p><p><strong>Materials and methods: </strong>Patients who underwent transplantation for AIH at the İnönü University Liver Transplantation Institute between January 2002 and December 2021 were included. Patients with a confirmed diagnosis of AIH, without concomitant chronic liver disease, were included in the study.</p><p><strong>Results: </strong>We included 51 patients (31 female) with a median age of 38.5 years (18-65 years). The 12-month and 60-month survival rates were 86.3% and 80.9%, respectively. During a median 2.22 years follow-up, 9 patients died. Six patients died due to systemic infection, 1 due to biliary complications, and 2 patients due to graft rejection. Autoimmune hepatitis recurrence developed in 6 (11%) patients. Overall, biliary complications developed in 56% (28/51) of patients following liver transplantation, and graft rejection occurred in 22% (11/51) of patients.</p><p><strong>Conclusion: </strong>Our results suggest that the outcome of AIH following liver transplantation is good, with a survival rate of up to 80%. Posttransplant biliary complications are common; therefore, close follow-up is necessary.</p>","PeriodicalId":51205,"journal":{"name":"Turkish Journal of Gastroenterology","volume":"1 1","pages":"145-151"},"PeriodicalIF":1.6000,"publicationDate":"2024-12-16","publicationTypes":"Journal Article","fieldsOfStudy":null,"isOpenAccess":false,"openAccessPdf":"https://www.ncbi.nlm.nih.gov/pmc/articles/PMC11899994/pdf/","citationCount":"0","resultStr":"{\"title\":\"Liver Transplantation for Autoimmune Hepatitis: 20 Years of Tertiary Centre Experience.\",\"authors\":\"Osman Sağlam, Muhsin Murat Muhip Harputluoğlu, Yılmaz Bilgiç, Sezai Yılmaz, Fatma Hilal Yağın, Cumali Efe\",\"doi\":\"10.5152/tjg.2024.24464\",\"DOIUrl\":null,\"url\":null,\"abstract\":\"<p><strong>Background/aims: </strong>We analyzed the frequency of complications and survival rates in patients with autoimmune hepatitis (AIH) who underwent liver transplantation at a high-volume transplant center.</p><p><strong>Materials and methods: </strong>Patients who underwent transplantation for AIH at the İnönü University Liver Transplantation Institute between January 2002 and December 2021 were included. Patients with a confirmed diagnosis of AIH, without concomitant chronic liver disease, were included in the study.</p><p><strong>Results: </strong>We included 51 patients (31 female) with a median age of 38.5 years (18-65 years). The 12-month and 60-month survival rates were 86.3% and 80.9%, respectively. During a median 2.22 years follow-up, 9 patients died. Six patients died due to systemic infection, 1 due to biliary complications, and 2 patients due to graft rejection. Autoimmune hepatitis recurrence developed in 6 (11%) patients. Overall, biliary complications developed in 56% (28/51) of patients following liver transplantation, and graft rejection occurred in 22% (11/51) of patients.</p><p><strong>Conclusion: </strong>Our results suggest that the outcome of AIH following liver transplantation is good, with a survival rate of up to 80%. Posttransplant biliary complications are common; therefore, close follow-up is necessary.</p>\",\"PeriodicalId\":51205,\"journal\":{\"name\":\"Turkish Journal of Gastroenterology\",\"volume\":\"1 1\",\"pages\":\"145-151\"},\"PeriodicalIF\":1.6000,\"publicationDate\":\"2024-12-16\",\"publicationTypes\":\"Journal Article\",\"fieldsOfStudy\":null,\"isOpenAccess\":false,\"openAccessPdf\":\"https://www.ncbi.nlm.nih.gov/pmc/articles/PMC11899994/pdf/\",\"citationCount\":\"0\",\"resultStr\":null,\"platform\":\"Semanticscholar\",\"paperid\":null,\"PeriodicalName\":\"Turkish Journal of Gastroenterology\",\"FirstCategoryId\":\"3\",\"ListUrlMain\":\"https://doi.org/10.5152/tjg.2024.24464\",\"RegionNum\":4,\"RegionCategory\":\"医学\",\"ArticlePicture\":[],\"TitleCN\":null,\"AbstractTextCN\":null,\"PMCID\":null,\"EPubDate\":\"\",\"PubModel\":\"\",\"JCR\":\"Q4\",\"JCRName\":\"GASTROENTEROLOGY & HEPATOLOGY\",\"Score\":null,\"Total\":0}","platform":"Semanticscholar","paperid":null,"PeriodicalName":"Turkish Journal of Gastroenterology","FirstCategoryId":"3","ListUrlMain":"https://doi.org/10.5152/tjg.2024.24464","RegionNum":4,"RegionCategory":"医学","ArticlePicture":[],"TitleCN":null,"AbstractTextCN":null,"PMCID":null,"EPubDate":"","PubModel":"","JCR":"Q4","JCRName":"GASTROENTEROLOGY & HEPATOLOGY","Score":null,"Total":0}
引用次数: 0

摘要

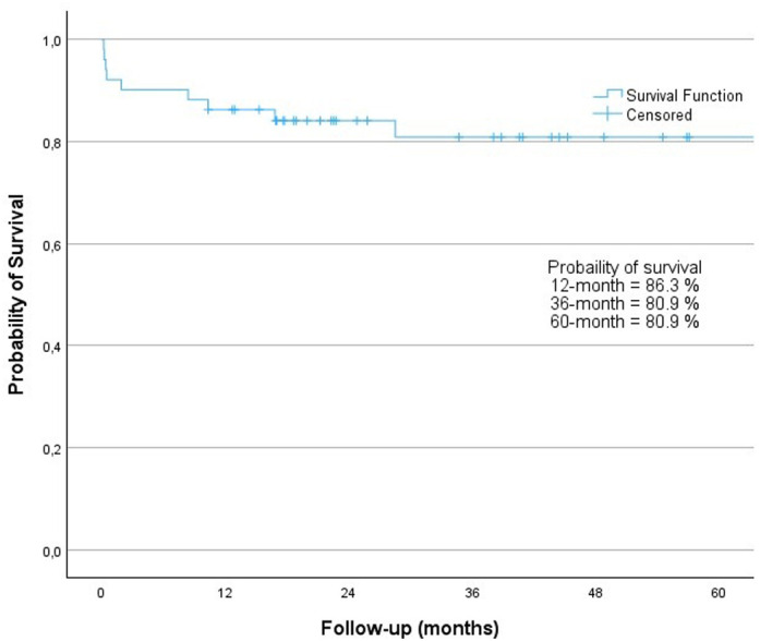
我们分析了在大容量移植中心接受肝移植的自身免疫性肝炎(AIH)患者的并发症发生率和生存率。纳入2002年1月至2021年12月期间在xxx大学肝移植研究所接受AIH移植的患者。确诊为AIH但无慢性肝病的患者被纳入研究。我们纳入了51例患者(31名女性),中位年龄为38.5岁(18-65岁)。12个月和60个月生存率分别为86.3%和80.9%。在平均2.22年的随访期间,9名患者死亡。6例患者死于全身感染,1例死于胆道并发症,2例死于移植排斥反应。6例(11%)患者出现自身免疫性肝炎复发。总体而言,56%(28/51)的患者在肝移植后出现胆道并发症,22%(11/51)的患者发生移植排斥反应。我们的研究结果表明,肝移植后AIH的预后良好,存活率高达80%。移植后胆道并发症很常见;因此,密切跟踪是必要的。
本文章由计算机程序翻译,如有差异,请以英文原文为准。

Liver Transplantation for Autoimmune Hepatitis: 20 Years of Tertiary Centre Experience.

Liver Transplantation for Autoimmune Hepatitis: 20 Years of Tertiary Centre Experience.

Liver Transplantation for Autoimmune Hepatitis: 20 Years of Tertiary Centre Experience.

Liver Transplantation for Autoimmune Hepatitis: 20 Years of Tertiary Centre Experience.

Background/aims: We analyzed the frequency of complications and survival rates in patients with autoimmune hepatitis (AIH) who underwent liver transplantation at a high-volume transplant center.

Materials and methods: Patients who underwent transplantation for AIH at the İnönü University Liver Transplantation Institute between January 2002 and December 2021 were included. Patients with a confirmed diagnosis of AIH, without concomitant chronic liver disease, were included in the study.

Results: We included 51 patients (31 female) with a median age of 38.5 years (18-65 years). The 12-month and 60-month survival rates were 86.3% and 80.9%, respectively. During a median 2.22 years follow-up, 9 patients died. Six patients died due to systemic infection, 1 due to biliary complications, and 2 patients due to graft rejection. Autoimmune hepatitis recurrence developed in 6 (11%) patients. Overall, biliary complications developed in 56% (28/51) of patients following liver transplantation, and graft rejection occurred in 22% (11/51) of patients.

Conclusion: Our results suggest that the outcome of AIH following liver transplantation is good, with a survival rate of up to 80%. Posttransplant biliary complications are common; therefore, close follow-up is necessary.

求助全文
通过发布文献求助,成功后即可免费获取论文全文。 去求助
来源期刊
Turkish Journal of Gastroenterology
Turkish Journal of Gastroenterology 医学-胃肠肝病学
CiteScore
1.90
自引率
0.00%
发文量
127
审稿时长
6 months
期刊介绍: The Turkish Journal of Gastroenterology (Turk J Gastroenterol) is the double-blind peer-reviewed, open access, international publication organ of the Turkish Society of Gastroenterology. The journal is a bimonthly publication, published on January, March, May, July, September, November and its publication language is English. The Turkish Journal of Gastroenterology aims to publish international at the highest clinical and scientific level on original issues of gastroenterology and hepatology. The journal publishes original papers, review articles, case reports and letters to the editor on clinical and experimental gastroenterology and hepatology.
×
引用
GB/T 7714-2015
复制
MLA
复制
APA
复制
导出至
BibTeX EndNote RefMan NoteFirst NoteExpress
×
提示
您的信息不完整,为了账户安全,请先补充。
现在去补充
×
提示
您因"违规操作"
具体请查看互助需知
我知道了
×
提示
确定
请完成安全验证×
copy
已复制链接
快去分享给好友吧!
我知道了
右上角分享
点击右上角分享
0
联系我们:info@booksci.cn Book学术提供免费学术资源搜索服务,方便国内外学者检索中英文文献。致力于提供最便捷和优质的服务体验。 Copyright © 2023 布克学术 All rights reserved.
京ICP备2023020795号-1
ghs 京公网安备 11010802042870号
Book学术文献互助
Book学术文献互助群
群 号:604180095
Book学术官方微信