慢性疼痛接受与疼痛相关残疾之间的关系:一项meta分析。

IF 1.9 3区 心理学 Q3 PSYCHOLOGY, CLINICAL
Kyle M White, Emily L Zale, Emma C Lape, Joseph W Ditre
{"title":"慢性疼痛接受与疼痛相关残疾之间的关系:一项meta分析。","authors":"Kyle M White, Emily L Zale, Emma C Lape, Joseph W Ditre","doi":"10.1007/s10880-024-10061-1","DOIUrl":null,"url":null,"abstract":"<p><p>Chronic pain acceptance has been identified as a crucial determinant of functioning among individuals living with chronic pain. However, research examining the relationship between chronic pain acceptance and pain-related disability has revealed variability across studies. The aims of this meta-analysis were to synthesize associations between chronic pain acceptance and pain-related disability, and test the moderating influence of pain characteristics, demographic factors, and methodological variables. Searches of PubMed and PsycINFO electronic databases located 24 studies (N = 6072) reporting correlations between chronic pain acceptance and pain-related disability. Meta-analytic calculations were performed using random effects models. Results indicated a negative association between chronic pain acceptance and pain-related disability that can be characterized as moderate in magnitude (r = -.45) and was stable across pain characteristics and demographic factors. Moderator analyses suggested the association between chronic pain acceptance and pain-related disability may be sensitive to the measures used to assess these constructs. These findings underscore the role of chronic pain acceptance in pain-related disability and reinforce the clinical significance of acceptance-based approaches in enhancing functional outcomes among chronic pain patients.</p>","PeriodicalId":15494,"journal":{"name":"Journal of Clinical Psychology in Medical Settings","volume":" ","pages":"448-459"},"PeriodicalIF":1.9000,"publicationDate":"2025-09-01","publicationTypes":"Journal Article","fieldsOfStudy":null,"isOpenAccess":false,"openAccessPdf":"https://www.ncbi.nlm.nih.gov/pmc/articles/PMC12370564/pdf/","citationCount":"0","resultStr":"{\"title\":\"The Association Between Chronic Pain Acceptance and Pain-Related Disability: A Meta-Analysis.\",\"authors\":\"Kyle M White, Emily L Zale, Emma C Lape, Joseph W Ditre\",\"doi\":\"10.1007/s10880-024-10061-1\",\"DOIUrl\":null,\"url\":null,\"abstract\":\"<p><p>Chronic pain acceptance has been identified as a crucial determinant of functioning among individuals living with chronic pain. However, research examining the relationship between chronic pain acceptance and pain-related disability has revealed variability across studies. The aims of this meta-analysis were to synthesize associations between chronic pain acceptance and pain-related disability, and test the moderating influence of pain characteristics, demographic factors, and methodological variables. Searches of PubMed and PsycINFO electronic databases located 24 studies (N = 6072) reporting correlations between chronic pain acceptance and pain-related disability. Meta-analytic calculations were performed using random effects models. Results indicated a negative association between chronic pain acceptance and pain-related disability that can be characterized as moderate in magnitude (r = -.45) and was stable across pain characteristics and demographic factors. Moderator analyses suggested the association between chronic pain acceptance and pain-related disability may be sensitive to the measures used to assess these constructs. These findings underscore the role of chronic pain acceptance in pain-related disability and reinforce the clinical significance of acceptance-based approaches in enhancing functional outcomes among chronic pain patients.</p>\",\"PeriodicalId\":15494,\"journal\":{\"name\":\"Journal of Clinical Psychology in Medical Settings\",\"volume\":\" \",\"pages\":\"448-459\"},\"PeriodicalIF\":1.9000,\"publicationDate\":\"2025-09-01\",\"publicationTypes\":\"Journal Article\",\"fieldsOfStudy\":null,\"isOpenAccess\":false,\"openAccessPdf\":\"https://www.ncbi.nlm.nih.gov/pmc/articles/PMC12370564/pdf/\",\"citationCount\":\"0\",\"resultStr\":null,\"platform\":\"Semanticscholar\",\"paperid\":null,\"PeriodicalName\":\"Journal of Clinical Psychology in Medical Settings\",\"FirstCategoryId\":\"102\",\"ListUrlMain\":\"https://doi.org/10.1007/s10880-024-10061-1\",\"RegionNum\":3,\"RegionCategory\":\"心理学\",\"ArticlePicture\":[],\"TitleCN\":null,\"AbstractTextCN\":null,\"PMCID\":null,\"EPubDate\":\"2024/12/16 0:00:00\",\"PubModel\":\"Epub\",\"JCR\":\"Q3\",\"JCRName\":\"PSYCHOLOGY, CLINICAL\",\"Score\":null,\"Total\":0}","platform":"Semanticscholar","paperid":null,"PeriodicalName":"Journal of Clinical Psychology in Medical Settings","FirstCategoryId":"102","ListUrlMain":"https://doi.org/10.1007/s10880-024-10061-1","RegionNum":3,"RegionCategory":"心理学","ArticlePicture":[],"TitleCN":null,"AbstractTextCN":null,"PMCID":null,"EPubDate":"2024/12/16 0:00:00","PubModel":"Epub","JCR":"Q3","JCRName":"PSYCHOLOGY, CLINICAL","Score":null,"Total":0}
引用次数: 0

摘要

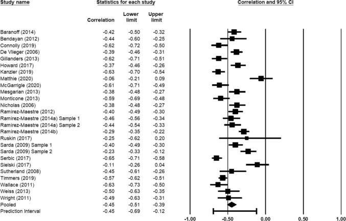
慢性疼痛接受度已被确定为慢性疼痛患者功能的关键决定因素。然而,研究慢性疼痛接受和疼痛相关残疾之间的关系揭示了不同研究之间的差异。本荟萃分析的目的是综合慢性疼痛接受与疼痛相关残疾之间的关联,并检验疼痛特征、人口统计学因素和方法学变量的调节作用。PubMed和PsycINFO电子数据库检索了24项研究(N = 6072),报告了慢性疼痛接受与疼痛相关残疾之间的相关性。采用随机效应模型进行meta分析计算。结果表明,慢性疼痛接受度与疼痛相关残疾之间呈负相关,其特征为中等程度(r = - 0.45),并且在疼痛特征和人口统计学因素中都是稳定的。调节分析表明,慢性疼痛接受和疼痛相关残疾之间的关联可能对用于评估这些结构的措施很敏感。这些发现强调了慢性疼痛接受度在疼痛相关残疾中的作用,并加强了基于接受度的方法在提高慢性疼痛患者功能结局方面的临床意义。
本文章由计算机程序翻译,如有差异,请以英文原文为准。

The Association Between Chronic Pain Acceptance and Pain-Related Disability: A Meta-Analysis.

The Association Between Chronic Pain Acceptance and Pain-Related Disability: A Meta-Analysis.

The Association Between Chronic Pain Acceptance and Pain-Related Disability: A Meta-Analysis.

Chronic pain acceptance has been identified as a crucial determinant of functioning among individuals living with chronic pain. However, research examining the relationship between chronic pain acceptance and pain-related disability has revealed variability across studies. The aims of this meta-analysis were to synthesize associations between chronic pain acceptance and pain-related disability, and test the moderating influence of pain characteristics, demographic factors, and methodological variables. Searches of PubMed and PsycINFO electronic databases located 24 studies (N = 6072) reporting correlations between chronic pain acceptance and pain-related disability. Meta-analytic calculations were performed using random effects models. Results indicated a negative association between chronic pain acceptance and pain-related disability that can be characterized as moderate in magnitude (r = -.45) and was stable across pain characteristics and demographic factors. Moderator analyses suggested the association between chronic pain acceptance and pain-related disability may be sensitive to the measures used to assess these constructs. These findings underscore the role of chronic pain acceptance in pain-related disability and reinforce the clinical significance of acceptance-based approaches in enhancing functional outcomes among chronic pain patients.

求助全文
通过发布文献求助,成功后即可免费获取论文全文。 去求助
来源期刊
CiteScore
4.00
自引率
4.50%
发文量
93
期刊介绍: Journal of Clinical Psychology in Medical Settings is an international forum for the publication of peer-reviewed original papers related to all areas of the science and practice of psychologists in medical settings. Manuscripts are chosen that have a broad appeal across psychology as well as other health care disciplines, reflecting varying backgrounds, interests, and specializations. The journal publishes original research, treatment outcome trials, meta-analyses, literature reviews, conceptual papers, brief scientific reports, and scholarly case studies. Papers accepted address clinical matters in medical settings; integrated care; health disparities; education and training of the future psychology workforce; interdisciplinary collaboration, training, and professionalism; licensing, credentialing, and privileging in hospital practice; research and practice ethics; professional development of psychologists in academic health centers; professional practice matters in medical settings; and cultural, economic, political, regulatory, and systems factors in health care. In summary, the journal provides a forum for papers predicted to have significant theoretical or practical importance for the application of psychology in medical settings.
×
引用
GB/T 7714-2015
复制
MLA
复制
APA
复制
导出至
BibTeX EndNote RefMan NoteFirst NoteExpress
×
提示
您的信息不完整,为了账户安全,请先补充。
现在去补充
×
提示
您因"违规操作"
具体请查看互助需知
我知道了
×
提示
确定
请完成安全验证×
copy
已复制链接
快去分享给好友吧!
我知道了
右上角分享
点击右上角分享
0
联系我们:info@booksci.cn Book学术提供免费学术资源搜索服务,方便国内外学者检索中英文文献。致力于提供最便捷和优质的服务体验。 Copyright © 2023 布克学术 All rights reserved.
京ICP备2023020795号-1
ghs 京公网安备 11010802042870号
Book学术文献互助
Book学术文献互助群
群 号:604180095
Book学术官方微信