调查左右大脑半球在言语生成中的参与及其与手性的相关性--重复经颅磁刺激研究。

Postepy psychiatrii neurologii Pub Date : 2024-09-01 Epub Date: 2024-11-21 DOI:10.5114/ppn.2024.145143
Martyna Borowczyk, Magdalena Wojtysiak, Anna Chmielarz-Czarnocińska, Małgorzata Braszka, Piotr Danielewski, Aleksandra Bryndal, Michał Michalak, Juliusz Huber
{"title":"调查左右大脑半球在言语生成中的参与及其与手性的相关性--重复经颅磁刺激研究。","authors":"Martyna Borowczyk, Magdalena Wojtysiak, Anna Chmielarz-Czarnocińska, Małgorzata Braszka, Piotr Danielewski, Aleksandra Bryndal, Michał Michalak, Juliusz Huber","doi":"10.5114/ppn.2024.145143","DOIUrl":null,"url":null,"abstract":"<p><strong>Purpose: </strong>While traditional theories suggest a link between language lateralization and handedness, recent evidence indicates more complex neural networks underlying speech processing. This study aimed to investigate the involvement of the left and right hemispheres in speech production using repetitive transcranial magnetic stimulation (rTMS).</p><p><strong>Methods: </strong>A cohort of 58 healthy volunteers with a median age of 23 (range 19-34) were included in the study. With the use of the Edinburgh Handedness Inventory (EHI), 43 individuals were determined to be right-handed, 13 left-handed, 2 mix-handed and subsequently subdivided according to handedness decile values. rTMS was applied with 2Hz frequency and 2 seconds of duration over the left and right hemispheres to trigger speech arrest while counting downwards.</p><p><strong>Results: </strong>Overall prevalence of speech arrest was 96.6%. Twenty-four subjects developed speech arrest after stimulation exclusively over the left hemisphere (42.9%), two people exclusively over the right hemisphere (3.5%) and 30 participants bilaterally (53.6%). Notably, the right-handed exhibited speech arrest predominantly over the left hemisphere, while the left-handed showed more variability. Receiver operating characteristics analysis revealed handedness deciles as predictors of speech lateralization. Individuals with handedness values over the 2nd right decile of EHI were more likely to have speech arrest over the left hemisphere, while left-handed over the 7th left decile were more likely to show speech arrest after rTMS over the right hemisphere.</p><p><strong>Conclusions: </strong>This study highlights the complexity of the relationship between speech lateralization and handedness. Further research using rTMS may provide insights into the neural mechanisms underlying speech processing and enable further studies on the treatment of aphasia.</p>","PeriodicalId":74481,"journal":{"name":"Postepy psychiatrii neurologii","volume":"33 3","pages":"115-128"},"PeriodicalIF":0.0000,"publicationDate":"2024-09-01","publicationTypes":"Journal Article","fieldsOfStudy":null,"isOpenAccess":false,"openAccessPdf":"https://www.ncbi.nlm.nih.gov/pmc/articles/PMC11635432/pdf/","citationCount":"0","resultStr":"{\"title\":\"Investigating the involvement of the left and right hemisphere in speech production and its correlation with handedness - a repetitive transcranial magnetic stimulation study.\",\"authors\":\"Martyna Borowczyk, Magdalena Wojtysiak, Anna Chmielarz-Czarnocińska, Małgorzata Braszka, Piotr Danielewski, Aleksandra Bryndal, Michał Michalak, Juliusz Huber\",\"doi\":\"10.5114/ppn.2024.145143\",\"DOIUrl\":null,\"url\":null,\"abstract\":\"<p><strong>Purpose: </strong>While traditional theories suggest a link between language lateralization and handedness, recent evidence indicates more complex neural networks underlying speech processing. This study aimed to investigate the involvement of the left and right hemispheres in speech production using repetitive transcranial magnetic stimulation (rTMS).</p><p><strong>Methods: </strong>A cohort of 58 healthy volunteers with a median age of 23 (range 19-34) were included in the study. With the use of the Edinburgh Handedness Inventory (EHI), 43 individuals were determined to be right-handed, 13 left-handed, 2 mix-handed and subsequently subdivided according to handedness decile values. rTMS was applied with 2Hz frequency and 2 seconds of duration over the left and right hemispheres to trigger speech arrest while counting downwards.</p><p><strong>Results: </strong>Overall prevalence of speech arrest was 96.6%. Twenty-four subjects developed speech arrest after stimulation exclusively over the left hemisphere (42.9%), two people exclusively over the right hemisphere (3.5%) and 30 participants bilaterally (53.6%). Notably, the right-handed exhibited speech arrest predominantly over the left hemisphere, while the left-handed showed more variability. Receiver operating characteristics analysis revealed handedness deciles as predictors of speech lateralization. Individuals with handedness values over the 2nd right decile of EHI were more likely to have speech arrest over the left hemisphere, while left-handed over the 7th left decile were more likely to show speech arrest after rTMS over the right hemisphere.</p><p><strong>Conclusions: </strong>This study highlights the complexity of the relationship between speech lateralization and handedness. Further research using rTMS may provide insights into the neural mechanisms underlying speech processing and enable further studies on the treatment of aphasia.</p>\",\"PeriodicalId\":74481,\"journal\":{\"name\":\"Postepy psychiatrii neurologii\",\"volume\":\"33 3\",\"pages\":\"115-128\"},\"PeriodicalIF\":0.0000,\"publicationDate\":\"2024-09-01\",\"publicationTypes\":\"Journal Article\",\"fieldsOfStudy\":null,\"isOpenAccess\":false,\"openAccessPdf\":\"https://www.ncbi.nlm.nih.gov/pmc/articles/PMC11635432/pdf/\",\"citationCount\":\"0\",\"resultStr\":null,\"platform\":\"Semanticscholar\",\"paperid\":null,\"PeriodicalName\":\"Postepy psychiatrii neurologii\",\"FirstCategoryId\":\"1085\",\"ListUrlMain\":\"https://doi.org/10.5114/ppn.2024.145143\",\"RegionNum\":0,\"RegionCategory\":null,\"ArticlePicture\":[],\"TitleCN\":null,\"AbstractTextCN\":null,\"PMCID\":null,\"EPubDate\":\"2024/11/21 0:00:00\",\"PubModel\":\"Epub\",\"JCR\":\"\",\"JCRName\":\"\",\"Score\":null,\"Total\":0}","platform":"Semanticscholar","paperid":null,"PeriodicalName":"Postepy psychiatrii neurologii","FirstCategoryId":"1085","ListUrlMain":"https://doi.org/10.5114/ppn.2024.145143","RegionNum":0,"RegionCategory":null,"ArticlePicture":[],"TitleCN":null,"AbstractTextCN":null,"PMCID":null,"EPubDate":"2024/11/21 0:00:00","PubModel":"Epub","JCR":"","JCRName":"","Score":null,"Total":0}
引用次数: 0

摘要

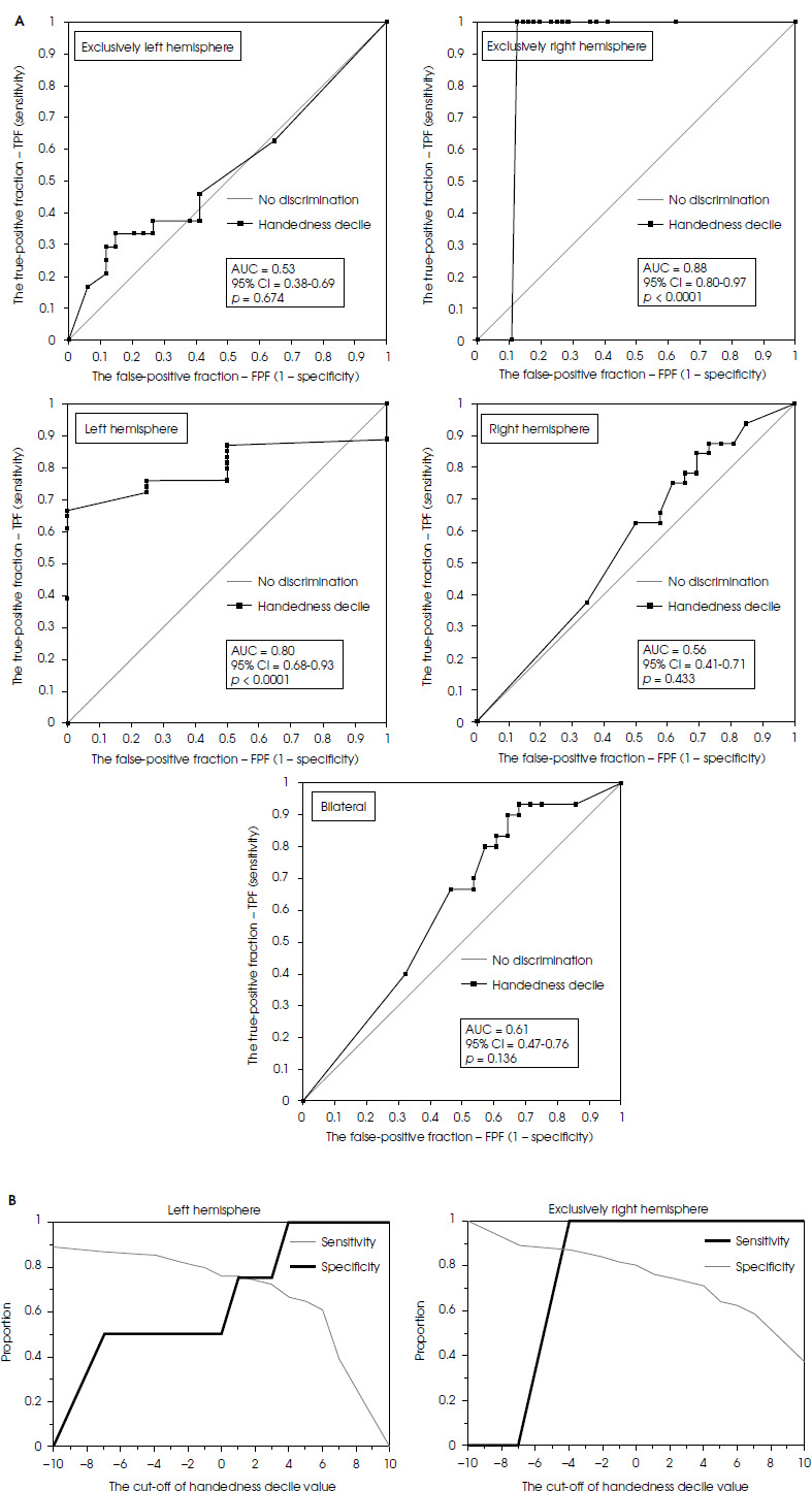
目的:虽然传统理论认为语言的侧向性与手性有关,但最近的证据表明语音处理的基础神经网络更为复杂。本研究旨在通过重复经颅磁刺激(rTMS)研究左右大脑半球在言语生成中的参与情况:研究对象包括 58 名健康志愿者,中位年龄为 23 岁(19-34 岁不等)。使用爱丁堡惯用手性量表(EHI),确定 43 人为惯用右手者,13 人为惯用左手者,2 人为惯用混合手者,随后根据惯用手性十分位值进行细分:结果:言语中断的总体发生率为96.6%。24名受试者在完全刺激左半球(42.9%)后出现言语中断,2人完全刺激右半球(3.5%),30名受试者双侧均出现言语中断(53.6%)。值得注意的是,惯用右手者主要在左半球出现言语停滞,而惯用左手者则表现出更大的差异性。接收器操作特征分析显示,惯用手十等分是言语偏侧的预测因子。EHI右2分位以上的惯用手者更有可能在左半球出现言语停滞,而左7分位以上的惯用手者更有可能在经颅磁刺激后在右半球出现言语停滞:本研究强调了言语侧化与手性之间关系的复杂性。使用经颅磁刺激进行的进一步研究可能有助于深入了解言语加工的神经机制,并有助于进一步研究失语症的治疗方法。
本文章由计算机程序翻译,如有差异,请以英文原文为准。

Investigating the involvement of the left and right hemisphere in speech production and its correlation with handedness - a repetitive transcranial magnetic stimulation study.

Investigating the involvement of the left and right hemisphere in speech production and its correlation with handedness - a repetitive transcranial magnetic stimulation study.

Investigating the involvement of the left and right hemisphere in speech production and its correlation with handedness - a repetitive transcranial magnetic stimulation study.

Purpose: While traditional theories suggest a link between language lateralization and handedness, recent evidence indicates more complex neural networks underlying speech processing. This study aimed to investigate the involvement of the left and right hemispheres in speech production using repetitive transcranial magnetic stimulation (rTMS).

Methods: A cohort of 58 healthy volunteers with a median age of 23 (range 19-34) were included in the study. With the use of the Edinburgh Handedness Inventory (EHI), 43 individuals were determined to be right-handed, 13 left-handed, 2 mix-handed and subsequently subdivided according to handedness decile values. rTMS was applied with 2Hz frequency and 2 seconds of duration over the left and right hemispheres to trigger speech arrest while counting downwards.

Results: Overall prevalence of speech arrest was 96.6%. Twenty-four subjects developed speech arrest after stimulation exclusively over the left hemisphere (42.9%), two people exclusively over the right hemisphere (3.5%) and 30 participants bilaterally (53.6%). Notably, the right-handed exhibited speech arrest predominantly over the left hemisphere, while the left-handed showed more variability. Receiver operating characteristics analysis revealed handedness deciles as predictors of speech lateralization. Individuals with handedness values over the 2nd right decile of EHI were more likely to have speech arrest over the left hemisphere, while left-handed over the 7th left decile were more likely to show speech arrest after rTMS over the right hemisphere.

Conclusions: This study highlights the complexity of the relationship between speech lateralization and handedness. Further research using rTMS may provide insights into the neural mechanisms underlying speech processing and enable further studies on the treatment of aphasia.

求助全文
通过发布文献求助,成功后即可免费获取论文全文。 去求助
来源期刊
自引率
0.00%
发文量
0
×
引用
GB/T 7714-2015
复制
MLA
复制
APA
复制
导出至
BibTeX EndNote RefMan NoteFirst NoteExpress
×
提示
您的信息不完整,为了账户安全,请先补充。
现在去补充
×
提示
您因"违规操作"
具体请查看互助需知
我知道了
×
提示
确定
请完成安全验证×
copy
已复制链接
快去分享给好友吧!
我知道了
右上角分享
点击右上角分享
0
联系我们:info@booksci.cn Book学术提供免费学术资源搜索服务,方便国内外学者检索中英文文献。致力于提供最便捷和优质的服务体验。 Copyright © 2023 布克学术 All rights reserved.
京ICP备2023020795号-1
ghs 京公网安备 11010802042870号
Book学术文献互助
Book学术文献互助群
群 号:604180095
Book学术官方微信