中国农村和城市老年义齿患者义齿使用率的分解分析:横断面研究。

IF 1.9 Q3 MEDICINE, RESEARCH & EXPERIMENTAL
Lei Yuan, Yuan Yuan, Haotian Ren, Feng Zhang, Zhe Zhao, Qinqin Jiang, Zhenbang Wei, Jin-Hai Sun
{"title":"中国农村和城市老年义齿患者义齿使用率的分解分析:横断面研究。","authors":"Lei Yuan, Yuan Yuan, Haotian Ren, Feng Zhang, Zhe Zhao, Qinqin Jiang, Zhenbang Wei, Jin-Hai Sun","doi":"10.2196/48778","DOIUrl":null,"url":null,"abstract":"<p><strong>Background: </strong>Edentulism impacts the physical health and quality of life of older individuals. The prevalence, influencing factors, and differences in terms of edentulism in urban and rural areas of China are unclear.</p><p><strong>Objective: </strong>This study investigated the denture-wearing conditions and causes affecting older patients with edentulism in urban and rural areas of China and analyzed the differences.</p><p><strong>Methods: </strong>This cross-sectional study included the data of 5139 older individuals (age>65 years) with edentulism obtained from 23 Chinese provinces in 2018. Participants were divided into urban and rural groups based on their household registration. Factors influencing denture use in both groups were explored using binary logistic regression, while factors influencing differences in denture wearing in both groups were explored using the Fairlie decomposition model.</p><p><strong>Results: </strong>Of the 5139 participants, 67.05% (808/1205) from urban areas and 51.12% (2011/3934) from rural areas wore dentures. In the urban group, participants with a higher level of education (1-6 years: odds ratio [OR] 2.093, 95% CI 1.488-2.945; ≥7 years: OR 2.187, 95% CI 1.565-3.055) or who exercised (OR 2.840, 95% CI 2.016-3.999) preferred wearing dentures, but individuals with BMI<18.5 kg/m2 (OR 0.558, 95% CI 0.408-0.762) or widowed (OR 0.618, 95% CI 0.414-0.921) did not. In the rural group, a higher level of education (1-6 years: OR 1.742, 95% CI 1.429-2.123; ≥7 years: OR 1.498, 95% CI 1.246-1.802), living alone (OR 1.372, 95% CI 1.313-1.663), exercise (OR 1.612, 95% CI 1.340-1.940), high economic status (OR 1.234, 95% CI 1.035-1.472), residence in the eastern area (OR 2.045, 95% CI 1.723-2.427), presence of chronic diseases (1 disease: OR 1.534, 95% CI 1.313-1.793; ≥2 diseases: OR 1.500, 95% CI 1.195-1.882) were positively associated and age≥80 years (OR 0.318, 95% CI 0.247-0.408), BMI<18.5 kg/m2 (OR 0.692, 95% CI 0.590-0.813), and widowed (OR 0.566, 95% CI 0.464-0.690) or other marital status (OR 0.600, 95% CI 0.392-0.918) were negatively associated with denture use. The Fairlie decomposition model revealed that the number of chronic diseases (16.34%), education level (11.94%), region of residence (11.00%), annual income (10.55%), exercise (6.81%), and age (-0.92%) were the main factors responsible for differences between urban and rural edentulism and could explain the difference in the denture-wearing rate (58.48%) between both groups.</p><p><strong>Conclusions: </strong>Older individuals with edentulism with a higher education level and who exercise are more willing to wear dentures, while those with BMI<18.5 kg/m2 show a decreased willingness to wear dentures in both urban and rural areas in China. Controlling the number of chronic diseases, improving the education level and annual income, cultivating good exercise habits, and bridging the gap between the economic status of the east and west can narrow the differences in denture wearing among urban and rural older individuals with edentulism.</p>","PeriodicalId":51757,"journal":{"name":"Interactive Journal of Medical Research","volume":"13 ","pages":"e48778"},"PeriodicalIF":1.9000,"publicationDate":"2024-12-13","publicationTypes":"Journal Article","fieldsOfStudy":null,"isOpenAccess":false,"openAccessPdf":"https://www.ncbi.nlm.nih.gov/pmc/articles/PMC11681290/pdf/","citationCount":"0","resultStr":"{\"title\":\"Decomposition Analysis of the Prevalence of Denture Use Between Rural and Urban Older Individuals With Edentulism in China: Cross-Sectional Study.\",\"authors\":\"Lei Yuan, Yuan Yuan, Haotian Ren, Feng Zhang, Zhe Zhao, Qinqin Jiang, Zhenbang Wei, Jin-Hai Sun\",\"doi\":\"10.2196/48778\",\"DOIUrl\":null,\"url\":null,\"abstract\":\"<p><strong>Background: </strong>Edentulism impacts the physical health and quality of life of older individuals. The prevalence, influencing factors, and differences in terms of edentulism in urban and rural areas of China are unclear.</p><p><strong>Objective: </strong>This study investigated the denture-wearing conditions and causes affecting older patients with edentulism in urban and rural areas of China and analyzed the differences.</p><p><strong>Methods: </strong>This cross-sectional study included the data of 5139 older individuals (age>65 years) with edentulism obtained from 23 Chinese provinces in 2018. Participants were divided into urban and rural groups based on their household registration. Factors influencing denture use in both groups were explored using binary logistic regression, while factors influencing differences in denture wearing in both groups were explored using the Fairlie decomposition model.</p><p><strong>Results: </strong>Of the 5139 participants, 67.05% (808/1205) from urban areas and 51.12% (2011/3934) from rural areas wore dentures. In the urban group, participants with a higher level of education (1-6 years: odds ratio [OR] 2.093, 95% CI 1.488-2.945; ≥7 years: OR 2.187, 95% CI 1.565-3.055) or who exercised (OR 2.840, 95% CI 2.016-3.999) preferred wearing dentures, but individuals with BMI<18.5 kg/m2 (OR 0.558, 95% CI 0.408-0.762) or widowed (OR 0.618, 95% CI 0.414-0.921) did not. In the rural group, a higher level of education (1-6 years: OR 1.742, 95% CI 1.429-2.123; ≥7 years: OR 1.498, 95% CI 1.246-1.802), living alone (OR 1.372, 95% CI 1.313-1.663), exercise (OR 1.612, 95% CI 1.340-1.940), high economic status (OR 1.234, 95% CI 1.035-1.472), residence in the eastern area (OR 2.045, 95% CI 1.723-2.427), presence of chronic diseases (1 disease: OR 1.534, 95% CI 1.313-1.793; ≥2 diseases: OR 1.500, 95% CI 1.195-1.882) were positively associated and age≥80 years (OR 0.318, 95% CI 0.247-0.408), BMI<18.5 kg/m2 (OR 0.692, 95% CI 0.590-0.813), and widowed (OR 0.566, 95% CI 0.464-0.690) or other marital status (OR 0.600, 95% CI 0.392-0.918) were negatively associated with denture use. The Fairlie decomposition model revealed that the number of chronic diseases (16.34%), education level (11.94%), region of residence (11.00%), annual income (10.55%), exercise (6.81%), and age (-0.92%) were the main factors responsible for differences between urban and rural edentulism and could explain the difference in the denture-wearing rate (58.48%) between both groups.</p><p><strong>Conclusions: </strong>Older individuals with edentulism with a higher education level and who exercise are more willing to wear dentures, while those with BMI<18.5 kg/m2 show a decreased willingness to wear dentures in both urban and rural areas in China. Controlling the number of chronic diseases, improving the education level and annual income, cultivating good exercise habits, and bridging the gap between the economic status of the east and west can narrow the differences in denture wearing among urban and rural older individuals with edentulism.</p>\",\"PeriodicalId\":51757,\"journal\":{\"name\":\"Interactive Journal of Medical Research\",\"volume\":\"13 \",\"pages\":\"e48778\"},\"PeriodicalIF\":1.9000,\"publicationDate\":\"2024-12-13\",\"publicationTypes\":\"Journal Article\",\"fieldsOfStudy\":null,\"isOpenAccess\":false,\"openAccessPdf\":\"https://www.ncbi.nlm.nih.gov/pmc/articles/PMC11681290/pdf/\",\"citationCount\":\"0\",\"resultStr\":null,\"platform\":\"Semanticscholar\",\"paperid\":null,\"PeriodicalName\":\"Interactive Journal of Medical Research\",\"FirstCategoryId\":\"1085\",\"ListUrlMain\":\"https://doi.org/10.2196/48778\",\"RegionNum\":0,\"RegionCategory\":null,\"ArticlePicture\":[],\"TitleCN\":null,\"AbstractTextCN\":null,\"PMCID\":null,\"EPubDate\":\"\",\"PubModel\":\"\",\"JCR\":\"Q3\",\"JCRName\":\"MEDICINE, RESEARCH & EXPERIMENTAL\",\"Score\":null,\"Total\":0}","platform":"Semanticscholar","paperid":null,"PeriodicalName":"Interactive Journal of Medical Research","FirstCategoryId":"1085","ListUrlMain":"https://doi.org/10.2196/48778","RegionNum":0,"RegionCategory":null,"ArticlePicture":[],"TitleCN":null,"AbstractTextCN":null,"PMCID":null,"EPubDate":"","PubModel":"","JCR":"Q3","JCRName":"MEDICINE, RESEARCH & EXPERIMENTAL","Score":null,"Total":0}
引用次数: 0

摘要

背景:蛀牙症影响老年人的身体健康和生活质量。中国城市和农村缺牙症的患病率、影响因素和差异尚不清楚。目的:研究影响中国城乡老年义齿患者义齿佩戴情况及原因,并分析差异。方法:本横断面研究纳入了2018年来自中国23个省份的5139名老年(年龄在50 ~ 65岁)全牙颌患者的数据。参与者根据户籍情况分为城市组和农村组。采用二元logistic回归分析影响两组义齿使用的因素,采用Fairlie分解模型分析影响两组义齿佩戴差异的因素。结果:5139名参与者中,67.05%(808/1205)来自城市地区,51.12%(2011/3934)来自农村地区。在城市组中,受教育程度较高的参与者(1-6年):优势比[OR] 2.093, 95% CI 1.488-2.945;≥7岁:OR 2.187, 95% CI 1.565-3.055)或运动者(OR 2.840, 95% CI 2.016-3.999)更倾向于佩戴义齿,但BMI患者更倾向于佩戴义齿。结论:年龄较大、受教育程度较高且运动的义齿患者比BMI患者更愿意佩戴义齿
本文章由计算机程序翻译,如有差异,请以英文原文为准。

Decomposition Analysis of the Prevalence of Denture Use Between Rural and Urban Older Individuals With Edentulism in China: Cross-Sectional Study.

Decomposition Analysis of the Prevalence of Denture Use Between Rural and Urban Older Individuals With Edentulism in China: Cross-Sectional Study.

Decomposition Analysis of the Prevalence of Denture Use Between Rural and Urban Older Individuals With Edentulism in China: Cross-Sectional Study.

Decomposition Analysis of the Prevalence of Denture Use Between Rural and Urban Older Individuals With Edentulism in China: Cross-Sectional Study.

Background: Edentulism impacts the physical health and quality of life of older individuals. The prevalence, influencing factors, and differences in terms of edentulism in urban and rural areas of China are unclear.

Objective: This study investigated the denture-wearing conditions and causes affecting older patients with edentulism in urban and rural areas of China and analyzed the differences.

Methods: This cross-sectional study included the data of 5139 older individuals (age>65 years) with edentulism obtained from 23 Chinese provinces in 2018. Participants were divided into urban and rural groups based on their household registration. Factors influencing denture use in both groups were explored using binary logistic regression, while factors influencing differences in denture wearing in both groups were explored using the Fairlie decomposition model.

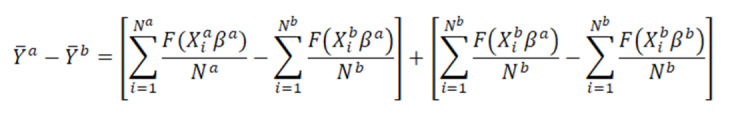
Results: Of the 5139 participants, 67.05% (808/1205) from urban areas and 51.12% (2011/3934) from rural areas wore dentures. In the urban group, participants with a higher level of education (1-6 years: odds ratio [OR] 2.093, 95% CI 1.488-2.945; ≥7 years: OR 2.187, 95% CI 1.565-3.055) or who exercised (OR 2.840, 95% CI 2.016-3.999) preferred wearing dentures, but individuals with BMI<18.5 kg/m2 (OR 0.558, 95% CI 0.408-0.762) or widowed (OR 0.618, 95% CI 0.414-0.921) did not. In the rural group, a higher level of education (1-6 years: OR 1.742, 95% CI 1.429-2.123; ≥7 years: OR 1.498, 95% CI 1.246-1.802), living alone (OR 1.372, 95% CI 1.313-1.663), exercise (OR 1.612, 95% CI 1.340-1.940), high economic status (OR 1.234, 95% CI 1.035-1.472), residence in the eastern area (OR 2.045, 95% CI 1.723-2.427), presence of chronic diseases (1 disease: OR 1.534, 95% CI 1.313-1.793; ≥2 diseases: OR 1.500, 95% CI 1.195-1.882) were positively associated and age≥80 years (OR 0.318, 95% CI 0.247-0.408), BMI<18.5 kg/m2 (OR 0.692, 95% CI 0.590-0.813), and widowed (OR 0.566, 95% CI 0.464-0.690) or other marital status (OR 0.600, 95% CI 0.392-0.918) were negatively associated with denture use. The Fairlie decomposition model revealed that the number of chronic diseases (16.34%), education level (11.94%), region of residence (11.00%), annual income (10.55%), exercise (6.81%), and age (-0.92%) were the main factors responsible for differences between urban and rural edentulism and could explain the difference in the denture-wearing rate (58.48%) between both groups.

Conclusions: Older individuals with edentulism with a higher education level and who exercise are more willing to wear dentures, while those with BMI<18.5 kg/m2 show a decreased willingness to wear dentures in both urban and rural areas in China. Controlling the number of chronic diseases, improving the education level and annual income, cultivating good exercise habits, and bridging the gap between the economic status of the east and west can narrow the differences in denture wearing among urban and rural older individuals with edentulism.

求助全文
通过发布文献求助,成功后即可免费获取论文全文。 去求助
来源期刊
Interactive Journal of Medical Research
Interactive Journal of Medical Research MEDICINE, RESEARCH & EXPERIMENTAL-
自引率
0.00%
发文量
45
审稿时长
12 weeks
×
引用
GB/T 7714-2015
复制
MLA
复制
APA
复制
导出至
BibTeX EndNote RefMan NoteFirst NoteExpress
×
提示
您的信息不完整,为了账户安全,请先补充。
现在去补充
×
提示
您因"违规操作"
具体请查看互助需知
我知道了
×
提示
确定
请完成安全验证×
copy
已复制链接
快去分享给好友吧!
我知道了
右上角分享
点击右上角分享
0
联系我们:info@booksci.cn Book学术提供免费学术资源搜索服务,方便国内外学者检索中英文文献。致力于提供最便捷和优质的服务体验。 Copyright © 2023 布克学术 All rights reserved.
京ICP备2023020795号-1
ghs 京公网安备 11010802042870号
Book学术文献互助
Book学术文献互助群
群 号:604180095
Book学术官方微信