保守腹腔镜手术治疗儿科和青少年急性卵巢扭转的疗效:单臂荟萃分析。

IF 1.3 Q4 OBSTETRICS & GYNECOLOGY
Greg J Marchand, Ahmed Massoud, Amanda Arroyo, Daniela Herrera González, Brook Hamilton, Kate Ruffley, Mckenna Robinson, Marissa Dominick, Hollie Ulibarri
{"title":"保守腹腔镜手术治疗儿科和青少年急性卵巢扭转的疗效:单臂荟萃分析。","authors":"Greg J Marchand, Ahmed Massoud, Amanda Arroyo, Daniela Herrera González, Brook Hamilton, Kate Ruffley, Mckenna Robinson, Marissa Dominick, Hollie Ulibarri","doi":"10.4274/tjod.galenos.2024.58534","DOIUrl":null,"url":null,"abstract":"<p><p>Conservative laparoscopic torsioning with or without cystectomy or oophoropexy has emerged as a promising approach for the management of ovarian torsion, particularly in pediatric populations. We sought to understand the efficacy of this approach. We comprehensively reviewed the relevant literature. We formulated a search strategy by combining keywords related to laparoscopic surgery, conservative management, and ovarian torsion in pediatric and adolescent populations. Data were retrieved from Web of Science, PubMed, Medline, Cochrane Library, and ClinicalTrials. The Gov and Scopus databases. Eligible articles met the following criteria: Involved pediatric or adolescent populations with ovarian or adnexal torsion and evaluating the use of any method of laparoscopic torsioning surgery. We included the following outcomes; recurrence, conversion to laparotomy, need for oophorectomy, mean time to the onset of symptoms, abdominal pain at the time of presentation, fever, and evidence of ovarian function on postoperative ultrasound. In our meta-analysis, conducted using OpenMeta[Analyst], we analyzed both continuous and dichotomous data with mean difference and risk ratio, respectively, along with 95% confidence intervals (CI). First, the incidence of recurrence was reported in five studies, where 17 cases experienced recurrence out of 391 cases experienced recurrence. Additionally, instances requiring open surgery were documented in five studies, with 22 out of 360 cases requiring this conversion to open surgery, resulting in a combined ratio of 0.051 [95% CI (0.018, 0.083), p=0.02]. Moreover, six studies provided data on cases necessitating oophorectomy, with 27 out of 437 cases requiring the procedure. Furthermore, the mean time from symptom onset to surgery was 51.9 h. Abdominal pain was prevalent at presentation, affecting 264 out of 324 patients. Fever was less frequently reported, with 19 out of 324 patients experiencing it. Finally, a high percentage of patients showed evidence of ovarian function on postoperative ultrasound, with a pooled proportion of 0.69. Our analysis performed the conservative management of ovarian torsion in young women. Recurrence occurred in 17 out of 391, and 22 out of 360 required conversion to open surgery. Furthermore, oophorectomy was necessary in 27 of 437 patients, and the mean time from symptom onset to surgery was 51.9 h. Abdominal pain was the most common symptom, affecting 264 out of 324 cases, whereas fever was less common.</p>","PeriodicalId":45340,"journal":{"name":"Turkish Journal of Obstetrics and Gynecology","volume":"21 4","pages":"296-305"},"PeriodicalIF":1.3000,"publicationDate":"2024-12-12","publicationTypes":"Journal Article","fieldsOfStudy":null,"isOpenAccess":false,"openAccessPdf":"https://www.ncbi.nlm.nih.gov/pmc/articles/PMC11635724/pdf/","citationCount":"0","resultStr":"{\"title\":\"Efficacy of conservative laparoscopic surgical treatment for acute ovarian torsion in pediatrics and adolescent populations: A single-armed meta-analysis.\",\"authors\":\"Greg J Marchand, Ahmed Massoud, Amanda Arroyo, Daniela Herrera González, Brook Hamilton, Kate Ruffley, Mckenna Robinson, Marissa Dominick, Hollie Ulibarri\",\"doi\":\"10.4274/tjod.galenos.2024.58534\",\"DOIUrl\":null,\"url\":null,\"abstract\":\"<p><p>Conservative laparoscopic torsioning with or without cystectomy or oophoropexy has emerged as a promising approach for the management of ovarian torsion, particularly in pediatric populations. We sought to understand the efficacy of this approach. We comprehensively reviewed the relevant literature. We formulated a search strategy by combining keywords related to laparoscopic surgery, conservative management, and ovarian torsion in pediatric and adolescent populations. Data were retrieved from Web of Science, PubMed, Medline, Cochrane Library, and ClinicalTrials. The Gov and Scopus databases. Eligible articles met the following criteria: Involved pediatric or adolescent populations with ovarian or adnexal torsion and evaluating the use of any method of laparoscopic torsioning surgery. We included the following outcomes; recurrence, conversion to laparotomy, need for oophorectomy, mean time to the onset of symptoms, abdominal pain at the time of presentation, fever, and evidence of ovarian function on postoperative ultrasound. In our meta-analysis, conducted using OpenMeta[Analyst], we analyzed both continuous and dichotomous data with mean difference and risk ratio, respectively, along with 95% confidence intervals (CI). First, the incidence of recurrence was reported in five studies, where 17 cases experienced recurrence out of 391 cases experienced recurrence. Additionally, instances requiring open surgery were documented in five studies, with 22 out of 360 cases requiring this conversion to open surgery, resulting in a combined ratio of 0.051 [95% CI (0.018, 0.083), p=0.02]. Moreover, six studies provided data on cases necessitating oophorectomy, with 27 out of 437 cases requiring the procedure. Furthermore, the mean time from symptom onset to surgery was 51.9 h. Abdominal pain was prevalent at presentation, affecting 264 out of 324 patients. Fever was less frequently reported, with 19 out of 324 patients experiencing it. Finally, a high percentage of patients showed evidence of ovarian function on postoperative ultrasound, with a pooled proportion of 0.69. Our analysis performed the conservative management of ovarian torsion in young women. Recurrence occurred in 17 out of 391, and 22 out of 360 required conversion to open surgery. Furthermore, oophorectomy was necessary in 27 of 437 patients, and the mean time from symptom onset to surgery was 51.9 h. Abdominal pain was the most common symptom, affecting 264 out of 324 cases, whereas fever was less common.</p>\",\"PeriodicalId\":45340,\"journal\":{\"name\":\"Turkish Journal of Obstetrics and Gynecology\",\"volume\":\"21 4\",\"pages\":\"296-305\"},\"PeriodicalIF\":1.3000,\"publicationDate\":\"2024-12-12\",\"publicationTypes\":\"Journal Article\",\"fieldsOfStudy\":null,\"isOpenAccess\":false,\"openAccessPdf\":\"https://www.ncbi.nlm.nih.gov/pmc/articles/PMC11635724/pdf/\",\"citationCount\":\"0\",\"resultStr\":null,\"platform\":\"Semanticscholar\",\"paperid\":null,\"PeriodicalName\":\"Turkish Journal of Obstetrics and Gynecology\",\"FirstCategoryId\":\"1085\",\"ListUrlMain\":\"https://doi.org/10.4274/tjod.galenos.2024.58534\",\"RegionNum\":0,\"RegionCategory\":null,\"ArticlePicture\":[],\"TitleCN\":null,\"AbstractTextCN\":null,\"PMCID\":null,\"EPubDate\":\"\",\"PubModel\":\"\",\"JCR\":\"Q4\",\"JCRName\":\"OBSTETRICS & GYNECOLOGY\",\"Score\":null,\"Total\":0}","platform":"Semanticscholar","paperid":null,"PeriodicalName":"Turkish Journal of Obstetrics and Gynecology","FirstCategoryId":"1085","ListUrlMain":"https://doi.org/10.4274/tjod.galenos.2024.58534","RegionNum":0,"RegionCategory":null,"ArticlePicture":[],"TitleCN":null,"AbstractTextCN":null,"PMCID":null,"EPubDate":"","PubModel":"","JCR":"Q4","JCRName":"OBSTETRICS & GYNECOLOGY","Score":null,"Total":0}
引用次数: 0

摘要

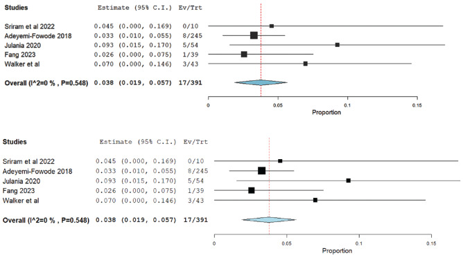
保守的腹腔镜扭转与或不膀胱切除术或卵巢切除术已经成为一个有前途的方法来管理卵巢扭转,特别是在儿科人群。我们试图了解这种方法的功效。我们全面查阅了相关文献。我们通过结合与腹腔镜手术、保守治疗和儿科和青少年人群卵巢扭转相关的关键词制定了搜索策略。数据检索自Web of Science、PubMed、Medline、Cochrane Library和ClinicalTrials。Gov和Scopus数据库。符合条件的文章符合以下标准:涉及患有卵巢或附件扭转的儿科或青少年人群,并评估任何腹腔镜扭转手术方法的使用。我们纳入了以下结果:复发,转为剖腹手术,需要卵巢切除术,平均出现症状的时间,出现时腹痛,发烧,以及术后超声检查卵巢功能的证据。在我们使用OpenMeta[Analyst]进行的荟萃分析中,我们分别分析了连续和二分类数据的均值差和风险比,以及95%置信区间(CI)。首先,5项研究报告了复发的发生率,391例复发中有17例复发。此外,5项研究记录了需要开腹手术的病例,360例中有22例需要转换为开腹手术,合并比率为0.051 [95% CI (0.018, 0.083), p=0.02]。此外,6项研究提供了需要进行卵巢切除术的病例的数据,437例中有27例需要进行该手术。此外,从症状出现到手术的平均时间为51.9小时。腹痛在就诊时很普遍,324例患者中有264例受到影响。发烧的报告较少,324名患者中有19人出现发烧。最后,术后超声显示卵巢功能的患者比例较高,合并比例为0.69。我们的分析是对年轻女性卵巢扭转的保守治疗。391例中有17例复发,360例中有22例需要转开手术。此外,437例患者中有27例需要进行卵巢切除术,从症状出现到手术的平均时间为51.9小时。腹痛是最常见的症状,影响了324例中的264例,而发烧则不常见。
本文章由计算机程序翻译,如有差异,请以英文原文为准。

Efficacy of conservative laparoscopic surgical treatment for acute ovarian torsion in pediatrics and adolescent populations: A single-armed meta-analysis.

Efficacy of conservative laparoscopic surgical treatment for acute ovarian torsion in pediatrics and adolescent populations: A single-armed meta-analysis.

Efficacy of conservative laparoscopic surgical treatment for acute ovarian torsion in pediatrics and adolescent populations: A single-armed meta-analysis.

Efficacy of conservative laparoscopic surgical treatment for acute ovarian torsion in pediatrics and adolescent populations: A single-armed meta-analysis.

Conservative laparoscopic torsioning with or without cystectomy or oophoropexy has emerged as a promising approach for the management of ovarian torsion, particularly in pediatric populations. We sought to understand the efficacy of this approach. We comprehensively reviewed the relevant literature. We formulated a search strategy by combining keywords related to laparoscopic surgery, conservative management, and ovarian torsion in pediatric and adolescent populations. Data were retrieved from Web of Science, PubMed, Medline, Cochrane Library, and ClinicalTrials. The Gov and Scopus databases. Eligible articles met the following criteria: Involved pediatric or adolescent populations with ovarian or adnexal torsion and evaluating the use of any method of laparoscopic torsioning surgery. We included the following outcomes; recurrence, conversion to laparotomy, need for oophorectomy, mean time to the onset of symptoms, abdominal pain at the time of presentation, fever, and evidence of ovarian function on postoperative ultrasound. In our meta-analysis, conducted using OpenMeta[Analyst], we analyzed both continuous and dichotomous data with mean difference and risk ratio, respectively, along with 95% confidence intervals (CI). First, the incidence of recurrence was reported in five studies, where 17 cases experienced recurrence out of 391 cases experienced recurrence. Additionally, instances requiring open surgery were documented in five studies, with 22 out of 360 cases requiring this conversion to open surgery, resulting in a combined ratio of 0.051 [95% CI (0.018, 0.083), p=0.02]. Moreover, six studies provided data on cases necessitating oophorectomy, with 27 out of 437 cases requiring the procedure. Furthermore, the mean time from symptom onset to surgery was 51.9 h. Abdominal pain was prevalent at presentation, affecting 264 out of 324 patients. Fever was less frequently reported, with 19 out of 324 patients experiencing it. Finally, a high percentage of patients showed evidence of ovarian function on postoperative ultrasound, with a pooled proportion of 0.69. Our analysis performed the conservative management of ovarian torsion in young women. Recurrence occurred in 17 out of 391, and 22 out of 360 required conversion to open surgery. Furthermore, oophorectomy was necessary in 27 of 437 patients, and the mean time from symptom onset to surgery was 51.9 h. Abdominal pain was the most common symptom, affecting 264 out of 324 cases, whereas fever was less common.

求助全文
通过发布文献求助,成功后即可免费获取论文全文。 去求助
来源期刊
CiteScore
2.10
自引率
0.00%
发文量
1
×
引用
GB/T 7714-2015
复制
MLA
复制
APA
复制
导出至
BibTeX EndNote RefMan NoteFirst NoteExpress
×
提示
您的信息不完整,为了账户安全,请先补充。
现在去补充
×
提示
您因"违规操作"
具体请查看互助需知
我知道了
×
提示
确定
请完成安全验证×
copy
已复制链接
快去分享给好友吧!
我知道了
右上角分享
点击右上角分享
0
联系我们:info@booksci.cn Book学术提供免费学术资源搜索服务,方便国内外学者检索中英文文献。致力于提供最便捷和优质的服务体验。 Copyright © 2023 布克学术 All rights reserved.
京ICP备2023020795号-1
ghs 京公网安备 11010802042870号
Book学术文献互助
Book学术文献互助群
群 号:604180095
Book学术官方微信