提高上肢残疾评估的准确性和效率:桌面应用程序的开发和测试。

IF 1
Emre Ozmen, Gamze Gül Güleç, Hazal İzol Özmen, Melih Civan, Esra Circi, Serdar Yuksel, Alican Baris
{"title":"提高上肢残疾评估的准确性和效率:桌面应用程序的开发和测试。","authors":"Emre Ozmen, Gamze Gül Güleç, Hazal İzol Özmen, Melih Civan, Esra Circi, Serdar Yuksel, Alican Baris","doi":"10.5152/j.aott.2024.24017","DOIUrl":null,"url":null,"abstract":"<p><strong>Objective: </strong>This study aimed to validate a software application (app) developed by the authors to streamline and enhance the accuracy of disability assessments, specifically for musculoskeletal system disabilities in the upper extremities.</p><p><strong>Methods: </strong>A software was developed under a TÜB!TAK-funded project to aid in the disability assessment process. This tool, designed for Windows operating systems and developed in Visual Basic (VB.NET), was tested using archive data from 50 patients, focusing on upper extremity physical evaluations. Statistical analysis, including the Shapiro–Wilk and Independent t-test/Mann–Whitney U-tests, was conducted using IBM SPSS Statistics to compare the app-assisted and manual assessment methods regarding time and rating’.</p><p><strong>Results: </strong>Significant time-saving was observed with the app-assisted method, which was 328.3 seconds faster on average than the manual method. The average rating di\"erence between the 2 methods was minor (0.40 points, 0.92% di\"erence) and not statistically significant (P=.931). The app-assisted method showed e#ciency in disability assessment with comparable accuracy to the manual methods.</p><p><strong>Conclusion: </strong>This application was developed for physicians who examine patients with musculoskeletal system disabilities in the upper extremities for the Health Board. Our results show that the application reduces the average evaluation time by 5 minutes while maintaining accuracy comparable to the manual method. It could be a helpful tool for physicians in a clinical setting.</p><p><strong>Level of evidence: </strong>Level IV, Diagnostic Study.</p>","PeriodicalId":93854,"journal":{"name":"Acta orthopaedica et traumatologica turcica","volume":"1 1","pages":"331-335"},"PeriodicalIF":1.0000,"publicationDate":"2024-10-31","publicationTypes":"Journal Article","fieldsOfStudy":null,"isOpenAccess":false,"openAccessPdf":"https://www.ncbi.nlm.nih.gov/pmc/articles/PMC11740236/pdf/","citationCount":"0","resultStr":"{\"title\":\"Enhancing accuracy and efficiency in upper extremity disability assessments: development and testing of a desktop application.\",\"authors\":\"Emre Ozmen, Gamze Gül Güleç, Hazal İzol Özmen, Melih Civan, Esra Circi, Serdar Yuksel, Alican Baris\",\"doi\":\"10.5152/j.aott.2024.24017\",\"DOIUrl\":null,\"url\":null,\"abstract\":\"<p><strong>Objective: </strong>This study aimed to validate a software application (app) developed by the authors to streamline and enhance the accuracy of disability assessments, specifically for musculoskeletal system disabilities in the upper extremities.</p><p><strong>Methods: </strong>A software was developed under a TÜB!TAK-funded project to aid in the disability assessment process. This tool, designed for Windows operating systems and developed in Visual Basic (VB.NET), was tested using archive data from 50 patients, focusing on upper extremity physical evaluations. Statistical analysis, including the Shapiro–Wilk and Independent t-test/Mann–Whitney U-tests, was conducted using IBM SPSS Statistics to compare the app-assisted and manual assessment methods regarding time and rating’.</p><p><strong>Results: </strong>Significant time-saving was observed with the app-assisted method, which was 328.3 seconds faster on average than the manual method. The average rating di\\\"erence between the 2 methods was minor (0.40 points, 0.92% di\\\"erence) and not statistically significant (P=.931). The app-assisted method showed e#ciency in disability assessment with comparable accuracy to the manual methods.</p><p><strong>Conclusion: </strong>This application was developed for physicians who examine patients with musculoskeletal system disabilities in the upper extremities for the Health Board. Our results show that the application reduces the average evaluation time by 5 minutes while maintaining accuracy comparable to the manual method. It could be a helpful tool for physicians in a clinical setting.</p><p><strong>Level of evidence: </strong>Level IV, Diagnostic Study.</p>\",\"PeriodicalId\":93854,\"journal\":{\"name\":\"Acta orthopaedica et traumatologica turcica\",\"volume\":\"1 1\",\"pages\":\"331-335\"},\"PeriodicalIF\":1.0000,\"publicationDate\":\"2024-10-31\",\"publicationTypes\":\"Journal Article\",\"fieldsOfStudy\":null,\"isOpenAccess\":false,\"openAccessPdf\":\"https://www.ncbi.nlm.nih.gov/pmc/articles/PMC11740236/pdf/\",\"citationCount\":\"0\",\"resultStr\":null,\"platform\":\"Semanticscholar\",\"paperid\":null,\"PeriodicalName\":\"Acta orthopaedica et traumatologica turcica\",\"FirstCategoryId\":\"1085\",\"ListUrlMain\":\"https://doi.org/10.5152/j.aott.2024.24017\",\"RegionNum\":0,\"RegionCategory\":null,\"ArticlePicture\":[],\"TitleCN\":null,\"AbstractTextCN\":null,\"PMCID\":null,\"EPubDate\":\"\",\"PubModel\":\"\",\"JCR\":\"\",\"JCRName\":\"\",\"Score\":null,\"Total\":0}","platform":"Semanticscholar","paperid":null,"PeriodicalName":"Acta orthopaedica et traumatologica turcica","FirstCategoryId":"1085","ListUrlMain":"https://doi.org/10.5152/j.aott.2024.24017","RegionNum":0,"RegionCategory":null,"ArticlePicture":[],"TitleCN":null,"AbstractTextCN":null,"PMCID":null,"EPubDate":"","PubModel":"","JCR":"","JCRName":"","Score":null,"Total":0}
引用次数: 0

摘要

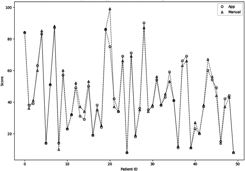
本研究旨在验证作者开发的软件应用程序(app),以简化和提高残疾评估的准确性,特别是上肢肌肉骨骼系统残疾。在TÜBİTAK-funded项目下开发了一个软件,以协助残疾评估过程。该工具专为Windows操作系统设计,使用Visual Basic (VB.NET)开发,使用来自50名患者的存档数据进行测试,重点是上肢物理评估。采用IBM SPSS Statistics进行统计分析,包括Shapiro-Wilk和独立t检验/Mann-Whitney u检验,比较应用程序辅助和人工评估方法在时间和评分方面的差异。应用程序辅助方法可显著节省时间,比手动方法平均快328.3秒。两种方法的平均评分差异较小(0.40分,差异0.92%),差异无统计学意义(P= 0.931)。应用程序辅助方法在残疾评估中显示出效率,其准确性与手工方法相当。该应用程序是为卫生委员会为检查上肢肌肉骨骼系统残疾患者的医生开发的。我们的结果表明,该应用程序在保持与手动方法相当的准确性的同时,将平均评估时间减少了5分钟。它可能是医生在临床环境中的一个有用的工具。四级诊断性研究。
本文章由计算机程序翻译,如有差异,请以英文原文为准。

Enhancing accuracy and efficiency in upper extremity disability assessments: development and testing of a desktop application.

Enhancing accuracy and efficiency in upper extremity disability assessments: development and testing of a desktop application.

Enhancing accuracy and efficiency in upper extremity disability assessments: development and testing of a desktop application.

Enhancing accuracy and efficiency in upper extremity disability assessments: development and testing of a desktop application.

Objective: This study aimed to validate a software application (app) developed by the authors to streamline and enhance the accuracy of disability assessments, specifically for musculoskeletal system disabilities in the upper extremities.

Methods: A software was developed under a TÜB!TAK-funded project to aid in the disability assessment process. This tool, designed for Windows operating systems and developed in Visual Basic (VB.NET), was tested using archive data from 50 patients, focusing on upper extremity physical evaluations. Statistical analysis, including the Shapiro–Wilk and Independent t-test/Mann–Whitney U-tests, was conducted using IBM SPSS Statistics to compare the app-assisted and manual assessment methods regarding time and rating’.

Results: Significant time-saving was observed with the app-assisted method, which was 328.3 seconds faster on average than the manual method. The average rating di"erence between the 2 methods was minor (0.40 points, 0.92% di"erence) and not statistically significant (P=.931). The app-assisted method showed e#ciency in disability assessment with comparable accuracy to the manual methods.

Conclusion: This application was developed for physicians who examine patients with musculoskeletal system disabilities in the upper extremities for the Health Board. Our results show that the application reduces the average evaluation time by 5 minutes while maintaining accuracy comparable to the manual method. It could be a helpful tool for physicians in a clinical setting.

Level of evidence: Level IV, Diagnostic Study.

求助全文
通过发布文献求助,成功后即可免费获取论文全文。 去求助
来源期刊
自引率
0.00%
发文量
0
×
引用
GB/T 7714-2015
复制
MLA
复制
APA
复制
导出至
BibTeX EndNote RefMan NoteFirst NoteExpress
×
提示
您的信息不完整,为了账户安全,请先补充。
现在去补充
×
提示
您因"违规操作"
具体请查看互助需知
我知道了
×
提示
确定
请完成安全验证×
copy
已复制链接
快去分享给好友吧!
我知道了
右上角分享
点击右上角分享
0
联系我们:info@booksci.cn Book学术提供免费学术资源搜索服务,方便国内外学者检索中英文文献。致力于提供最便捷和优质的服务体验。 Copyright © 2023 布克学术 All rights reserved.
京ICP备2023020795号-1
ghs 京公网安备 11010802042870号
Book学术文献互助
Book学术文献互助群
群 号:604180095
Book学术官方微信