[2岁儿童(2岁;0-2岁;11岁)的语言发展测试-双侧人工耳蜗治疗后儿童多中心数据的评估:一项回顾性纵向研究]。

IF 1.3 4区 医学 Q4 OTORHINOLARYNGOLOGY
Hno Pub Date : 2025-05-01 Epub Date: 2024-12-10 DOI:10.1007/s00106-024-01536-6
Stefanie Kröger, Antje Aschendorff, Cynthia Glaubitz, Kerstin Kreibohm-Strauß, Dominique Kronesser, Yvonne Seebens, Barbara Streicher, Fabian Overlach, Stephanie Rother, Rainer Beck
{"title":"[2岁儿童(2岁;0-2岁;11岁)的语言发展测试-双侧人工耳蜗治疗后儿童多中心数据的评估:一项回顾性纵向研究]。","authors":"Stefanie Kröger, Antje Aschendorff, Cynthia Glaubitz, Kerstin Kreibohm-Strauß, Dominique Kronesser, Yvonne Seebens, Barbara Streicher, Fabian Overlach, Stephanie Rother, Rainer Beck","doi":"10.1007/s00106-024-01536-6","DOIUrl":null,"url":null,"abstract":"<p><strong>Background: </strong>Age-appropriate speech development is a primary aim of the rehabilitation of children treated with cochlear implants (CI). Various assessment tools are available, including the speech development test for 2‑year-olds (SETK-2). All tests are normalized to normal-hearing children; additionally, results are evaluated according to age and the duration of CI (hearing age). The present study presents current practices and evaluates them as far as is possible.</p><p><strong>Materials and methods: </strong>In a multicentric retrospective study, 375 SETK‑2 datasets of congenitally deaf children treated with CI from five centers were included. All children had been treated before the fourth year of life, and the interval between treatment of the two sides was less than 12 months.</p><p><strong>Results: </strong>In the analyses according to age and hearing age, all subtests in the observed groups, with the exception of word comprehension, showed significantly worse results than the normative values. Isolated results demonstrated results similar to or even better than the normative values. The more complex the tested performance, the higher the proportion of conspicuous test results. The timepoint of implantation had no significant influence on test performance.</p><p><strong>Conclusion: </strong>The SETK‑2 should be evaluated according to chronological age; otherwise, the progress of early speech development may be incorrectly assessed and interventions initiated too late. Moreover, evaluation according to hearing age disregards the child's cognitive skills.</p>","PeriodicalId":55052,"journal":{"name":"Hno","volume":" ","pages":"311-320"},"PeriodicalIF":1.3000,"publicationDate":"2025-05-01","publicationTypes":"Journal Article","fieldsOfStudy":null,"isOpenAccess":false,"openAccessPdf":"https://www.ncbi.nlm.nih.gov/pmc/articles/PMC12021954/pdf/","citationCount":"0","resultStr":"{\"title\":\"[Speech development test for 2-year-olds (2;0-2;11 years)-evaluation of multicentric data of children after bilateral cochlear implant treatment : A retrospective longitudinal study].\",\"authors\":\"Stefanie Kröger, Antje Aschendorff, Cynthia Glaubitz, Kerstin Kreibohm-Strauß, Dominique Kronesser, Yvonne Seebens, Barbara Streicher, Fabian Overlach, Stephanie Rother, Rainer Beck\",\"doi\":\"10.1007/s00106-024-01536-6\",\"DOIUrl\":null,\"url\":null,\"abstract\":\"<p><strong>Background: </strong>Age-appropriate speech development is a primary aim of the rehabilitation of children treated with cochlear implants (CI). Various assessment tools are available, including the speech development test for 2‑year-olds (SETK-2). All tests are normalized to normal-hearing children; additionally, results are evaluated according to age and the duration of CI (hearing age). The present study presents current practices and evaluates them as far as is possible.</p><p><strong>Materials and methods: </strong>In a multicentric retrospective study, 375 SETK‑2 datasets of congenitally deaf children treated with CI from five centers were included. All children had been treated before the fourth year of life, and the interval between treatment of the two sides was less than 12 months.</p><p><strong>Results: </strong>In the analyses according to age and hearing age, all subtests in the observed groups, with the exception of word comprehension, showed significantly worse results than the normative values. Isolated results demonstrated results similar to or even better than the normative values. The more complex the tested performance, the higher the proportion of conspicuous test results. The timepoint of implantation had no significant influence on test performance.</p><p><strong>Conclusion: </strong>The SETK‑2 should be evaluated according to chronological age; otherwise, the progress of early speech development may be incorrectly assessed and interventions initiated too late. Moreover, evaluation according to hearing age disregards the child's cognitive skills.</p>\",\"PeriodicalId\":55052,\"journal\":{\"name\":\"Hno\",\"volume\":\" \",\"pages\":\"311-320\"},\"PeriodicalIF\":1.3000,\"publicationDate\":\"2025-05-01\",\"publicationTypes\":\"Journal Article\",\"fieldsOfStudy\":null,\"isOpenAccess\":false,\"openAccessPdf\":\"https://www.ncbi.nlm.nih.gov/pmc/articles/PMC12021954/pdf/\",\"citationCount\":\"0\",\"resultStr\":null,\"platform\":\"Semanticscholar\",\"paperid\":null,\"PeriodicalName\":\"Hno\",\"FirstCategoryId\":\"3\",\"ListUrlMain\":\"https://doi.org/10.1007/s00106-024-01536-6\",\"RegionNum\":4,\"RegionCategory\":\"医学\",\"ArticlePicture\":[],\"TitleCN\":null,\"AbstractTextCN\":null,\"PMCID\":null,\"EPubDate\":\"2024/12/10 0:00:00\",\"PubModel\":\"Epub\",\"JCR\":\"Q4\",\"JCRName\":\"OTORHINOLARYNGOLOGY\",\"Score\":null,\"Total\":0}","platform":"Semanticscholar","paperid":null,"PeriodicalName":"Hno","FirstCategoryId":"3","ListUrlMain":"https://doi.org/10.1007/s00106-024-01536-6","RegionNum":4,"RegionCategory":"医学","ArticlePicture":[],"TitleCN":null,"AbstractTextCN":null,"PMCID":null,"EPubDate":"2024/12/10 0:00:00","PubModel":"Epub","JCR":"Q4","JCRName":"OTORHINOLARYNGOLOGY","Score":null,"Total":0}
引用次数: 0

摘要

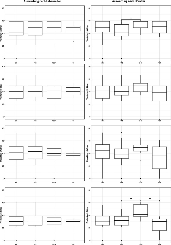
背景:与年龄相适应的语言发展是接受人工耳蜗(CI)治疗的儿童康复的主要目标。有多种评估工具可供使用,包括两岁儿童语言发展测试(SETK-2)。所有测试在正常听力儿童中标准化;此外,根据年龄和CI(听力年龄)持续时间对结果进行评估。本研究介绍了目前的做法,并尽可能地对它们进行评价。材料和方法:在一项多中心回顾性研究中,纳入了来自五个中心的375个SETK‑2数据集,这些数据集涉及接受CI治疗的先天性耳聋儿童。所有患儿均在四岁前接受治疗,双方治疗间隔小于12个月。结果:在按年龄和听力年龄进行的分析中,观察组除单词理解外,所有子测试的结果都明显低于正常值。孤立结果表明,结果与规范值相似,甚至优于规范值。测试性能越复杂,显著性测试结果所占比例越高。植入时间点对测试性能无显著影响。结论:SETK‑2应根据实足年龄进行评估;否则,早期言语发展的进展可能被错误地评估,干预措施可能开始得太晚。此外,根据听力年龄进行评估忽视了儿童的认知能力。
本文章由计算机程序翻译,如有差异,请以英文原文为准。

[Speech development test for 2-year-olds (2;0-2;11 years)-evaluation of multicentric data of children after bilateral cochlear implant treatment : A retrospective longitudinal study].

[Speech development test for 2-year-olds (2;0-2;11 years)-evaluation of multicentric data of children after bilateral cochlear implant treatment : A retrospective longitudinal study].

[Speech development test for 2-year-olds (2;0-2;11 years)-evaluation of multicentric data of children after bilateral cochlear implant treatment : A retrospective longitudinal study].

[Speech development test for 2-year-olds (2;0-2;11 years)-evaluation of multicentric data of children after bilateral cochlear implant treatment : A retrospective longitudinal study].

Background: Age-appropriate speech development is a primary aim of the rehabilitation of children treated with cochlear implants (CI). Various assessment tools are available, including the speech development test for 2‑year-olds (SETK-2). All tests are normalized to normal-hearing children; additionally, results are evaluated according to age and the duration of CI (hearing age). The present study presents current practices and evaluates them as far as is possible.

Materials and methods: In a multicentric retrospective study, 375 SETK‑2 datasets of congenitally deaf children treated with CI from five centers were included. All children had been treated before the fourth year of life, and the interval between treatment of the two sides was less than 12 months.

Results: In the analyses according to age and hearing age, all subtests in the observed groups, with the exception of word comprehension, showed significantly worse results than the normative values. Isolated results demonstrated results similar to or even better than the normative values. The more complex the tested performance, the higher the proportion of conspicuous test results. The timepoint of implantation had no significant influence on test performance.

Conclusion: The SETK‑2 should be evaluated according to chronological age; otherwise, the progress of early speech development may be incorrectly assessed and interventions initiated too late. Moreover, evaluation according to hearing age disregards the child's cognitive skills.

求助全文
通过发布文献求助,成功后即可免费获取论文全文。 去求助
来源期刊
Hno
Hno 医学-耳鼻喉科学
CiteScore
1.50
自引率
33.30%
发文量
116
审稿时长
4-8 weeks
期刊介绍: HNO is an internationally recognized journal and addresses all ENT specialists in practices and clinics dealing with all aspects of ENT medicine, e.g. prevention, diagnostic methods, complication management, modern therapy strategies and surgical procedures. Review articles provide an overview on selected topics and offer the reader a summary of current findings from all fields of ENT medicine. Freely submitted original papers allow the presentation of important clinical studies and serve the scientific exchange. Case reports feature interesting cases and aim at optimizing diagnostic and therapeutic strategies. Review articles under the rubric ''Continuing Medical Education'' present verified results of scientific research and their integration into daily practice.
×
引用
GB/T 7714-2015
复制
MLA
复制
APA
复制
导出至
BibTeX EndNote RefMan NoteFirst NoteExpress
×
提示
您的信息不完整,为了账户安全,请先补充。
现在去补充
×
提示
您因"违规操作"
具体请查看互助需知
我知道了
×
提示
确定
请完成安全验证×
copy
已复制链接
快去分享给好友吧!
我知道了
右上角分享
点击右上角分享
0
联系我们:info@booksci.cn Book学术提供免费学术资源搜索服务,方便国内外学者检索中英文文献。致力于提供最便捷和优质的服务体验。 Copyright © 2023 布克学术 All rights reserved.
京ICP备2023020795号-1
ghs 京公网安备 11010802042870号
Book学术文献互助
Book学术文献互助群
群 号:604180095
Book学术官方微信