反社会行为和足球身份:不同的大陆,相同的心态?

IF 2.1 4区 心理学 Q3 PSYCHOLOGY, SOCIAL
Self and Identity Pub Date : 2024-11-12 eCollection Date: 2024-01-01 DOI:10.1080/15298868.2024.2423829
Martha Newson, Linus Peitz, Susilo Wibisono, Jorge Knijnik, Fiona White, Harvey Whitehouse
{"title":"反社会行为和足球身份:不同的大陆,相同的心态?","authors":"Martha Newson, Linus Peitz, Susilo Wibisono, Jorge Knijnik, Fiona White, Harvey Whitehouse","doi":"10.1080/15298868.2024.2423829","DOIUrl":null,"url":null,"abstract":"<p><p>Although most soccer fans support their teams peacefully, anti-social fan behavior continues to appear across the globe. We tested the roles of identity fusion and membership to an extreme fan group (ultras) in explaining fan disorder in two understudied contexts: Indonesia (Study 1) and Australia (Study 2). Incidents of violence and antisocial behavior were rarely reported among general Indonesian (9%) or Australian fans (6%) but were significantly higher among their respective ultras groups (37%; 20%). Identity fusion predicted antisocial behavior, especially when combined with fan group membership. Fusion explained anti-social behaviors better than identification or social dominance orientation. Understanding the motivators of intergroup violence is crucial to devise more effective ways of channeling cohesion among group members into peaceful forms of prosocial action.</p>","PeriodicalId":51426,"journal":{"name":"Self and Identity","volume":"23 7-8","pages":"616-633"},"PeriodicalIF":2.1000,"publicationDate":"2024-11-12","publicationTypes":"Journal Article","fieldsOfStudy":null,"isOpenAccess":false,"openAccessPdf":"https://www.ncbi.nlm.nih.gov/pmc/articles/PMC11627210/pdf/","citationCount":"0","resultStr":"{\"title\":\"Anti-social behavior and soccer identities: different continents, same mindset?\",\"authors\":\"Martha Newson, Linus Peitz, Susilo Wibisono, Jorge Knijnik, Fiona White, Harvey Whitehouse\",\"doi\":\"10.1080/15298868.2024.2423829\",\"DOIUrl\":null,\"url\":null,\"abstract\":\"<p><p>Although most soccer fans support their teams peacefully, anti-social fan behavior continues to appear across the globe. We tested the roles of identity fusion and membership to an extreme fan group (ultras) in explaining fan disorder in two understudied contexts: Indonesia (Study 1) and Australia (Study 2). Incidents of violence and antisocial behavior were rarely reported among general Indonesian (9%) or Australian fans (6%) but were significantly higher among their respective ultras groups (37%; 20%). Identity fusion predicted antisocial behavior, especially when combined with fan group membership. Fusion explained anti-social behaviors better than identification or social dominance orientation. Understanding the motivators of intergroup violence is crucial to devise more effective ways of channeling cohesion among group members into peaceful forms of prosocial action.</p>\",\"PeriodicalId\":51426,\"journal\":{\"name\":\"Self and Identity\",\"volume\":\"23 7-8\",\"pages\":\"616-633\"},\"PeriodicalIF\":2.1000,\"publicationDate\":\"2024-11-12\",\"publicationTypes\":\"Journal Article\",\"fieldsOfStudy\":null,\"isOpenAccess\":false,\"openAccessPdf\":\"https://www.ncbi.nlm.nih.gov/pmc/articles/PMC11627210/pdf/\",\"citationCount\":\"0\",\"resultStr\":null,\"platform\":\"Semanticscholar\",\"paperid\":null,\"PeriodicalName\":\"Self and Identity\",\"FirstCategoryId\":\"102\",\"ListUrlMain\":\"https://doi.org/10.1080/15298868.2024.2423829\",\"RegionNum\":4,\"RegionCategory\":\"心理学\",\"ArticlePicture\":[],\"TitleCN\":null,\"AbstractTextCN\":null,\"PMCID\":null,\"EPubDate\":\"2024/1/1 0:00:00\",\"PubModel\":\"eCollection\",\"JCR\":\"Q3\",\"JCRName\":\"PSYCHOLOGY, SOCIAL\",\"Score\":null,\"Total\":0}","platform":"Semanticscholar","paperid":null,"PeriodicalName":"Self and Identity","FirstCategoryId":"102","ListUrlMain":"https://doi.org/10.1080/15298868.2024.2423829","RegionNum":4,"RegionCategory":"心理学","ArticlePicture":[],"TitleCN":null,"AbstractTextCN":null,"PMCID":null,"EPubDate":"2024/1/1 0:00:00","PubModel":"eCollection","JCR":"Q3","JCRName":"PSYCHOLOGY, SOCIAL","Score":null,"Total":0}
引用次数: 0

摘要

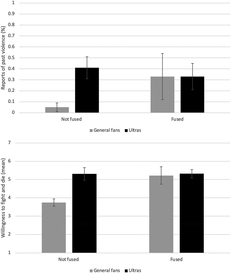
虽然大多数球迷都是和平地支持他们的球队,但反社会的球迷行为在全球范围内不断出现。我们在印度尼西亚(研究1)和澳大利亚(研究2)两个研究不足的背景下测试了身份融合和极端粉丝群体(ultras)成员在解释粉丝障碍方面的作用。印度尼西亚(9%)或澳大利亚(6%)的普通粉丝中很少报道暴力和反社会行为事件,但在各自的ultras群体中明显更高(37%;20%)。身份融合预示着反社会行为,尤其是当与粉丝团体成员联系在一起时。融合比认同和社会支配倾向更能解释反社会行为。了解群体间暴力的动机对于设计更有效的方法将群体成员之间的凝聚力引导到和平形式的亲社会行动中至关重要。
本文章由计算机程序翻译,如有差异,请以英文原文为准。

Anti-social behavior and soccer identities: different continents, same mindset?

Anti-social behavior and soccer identities: different continents, same mindset?

Anti-social behavior and soccer identities: different continents, same mindset?

Although most soccer fans support their teams peacefully, anti-social fan behavior continues to appear across the globe. We tested the roles of identity fusion and membership to an extreme fan group (ultras) in explaining fan disorder in two understudied contexts: Indonesia (Study 1) and Australia (Study 2). Incidents of violence and antisocial behavior were rarely reported among general Indonesian (9%) or Australian fans (6%) but were significantly higher among their respective ultras groups (37%; 20%). Identity fusion predicted antisocial behavior, especially when combined with fan group membership. Fusion explained anti-social behaviors better than identification or social dominance orientation. Understanding the motivators of intergroup violence is crucial to devise more effective ways of channeling cohesion among group members into peaceful forms of prosocial action.

求助全文
通过发布文献求助,成功后即可免费获取论文全文。 去求助
来源期刊
Self and Identity
Self and Identity PSYCHOLOGY, SOCIAL-
CiteScore
5.10
自引率
5.00%
发文量
26
期刊介绍: Work on self and identity has a special place in the study of human nature, as self-concerns are arguably at the center of individuals" striving for well-being and for making sense of one"s life. Life goals develop and are influenced by one"s view of what one is like, the way one would ideally like to be (or would like to avoid being), as well as one"s perceptions of what is feasible. Furthermore, conceptions of self and the world affect how one"s progress towards these goals is monitored, evaluated, redirected, re-evaluated, and pursued again. Thus, the “self” as a construct has far-reaching implications for behavior, self-esteem, motivation, experience of emotions and the world more broadly, and hence for interpersonal relationships, society, and culture.
×
引用
GB/T 7714-2015
复制
MLA
复制
APA
复制
导出至
BibTeX EndNote RefMan NoteFirst NoteExpress
×
提示
您的信息不完整,为了账户安全,请先补充。
现在去补充
×
提示
您因"违规操作"
具体请查看互助需知
我知道了
×
提示
确定
请完成安全验证×
copy
已复制链接
快去分享给好友吧!
我知道了
右上角分享
点击右上角分享
0
联系我们:info@booksci.cn Book学术提供免费学术资源搜索服务,方便国内外学者检索中英文文献。致力于提供最便捷和优质的服务体验。 Copyright © 2023 布克学术 All rights reserved.
京ICP备2023020795号-1
ghs 京公网安备 11010802042870号
Book学术文献互助
Book学术文献互助群
群 号:604180095
Book学术官方微信