Delta休克指数预测创伤患者的损伤严重程度、干预措施和预后:一项10年回顾性观察研究。

Mohammad Asim, Ayman El-Menyar, Khalid Ahmed, Mushreq Al-Ani, Saji Mathradikkal, Abubaker Alaieb, Abdel Aziz Hammo, Ibrahim Taha, Ahmad Kloub, Hassan Al-Thani
{"title":"Delta休克指数预测创伤患者的损伤严重程度、干预措施和预后:一项10年回顾性观察研究。","authors":"Mohammad Asim, Ayman El-Menyar, Khalid Ahmed, Mushreq Al-Ani, Saji Mathradikkal, Abubaker Alaieb, Abdel Aziz Hammo, Ibrahim Taha, Ahmad Kloub, Hassan Al-Thani","doi":"10.5492/wjccm.v13.i4.99587","DOIUrl":null,"url":null,"abstract":"<p><strong>Background: </strong>Most trauma occurs among young male subjects in Qatar. We examined the predictive values of the delta shock index (DSI), defined as the change in the shock index (SI) value from the scene to the initial reading in the emergency unit (<i>i.e.</i>, subtracting the calculated SI at admission from SI at the scene), at a Level 1 trauma center.</p><p><strong>Aim: </strong>To explore whether high DSI is associated with severe injuries, more interventions, and worse outcomes [<i>i.e.</i>, blood transfusion, exploratory laparotomy, ventilator-associated pneumonia, hospital length of stay (HLOS), and in-hospital mortality] in trauma patients.</p><p><strong>Methods: </strong>A retrospective analysis was conducted after data were extracted from the National Trauma Registry between 2011 and 2021. Patients were grouped based on DSI as low (≤ 0.1) or high (> 0.1). Data were analyzed and compared using <i>χ</i> <sup>2</sup> and Student's <i>t</i>-tests. Correlations between DSI and injury severity score (ISS), revised trauma score (RTS), abbreviated injury scale (AIS), Glasgow coma scale (GCS), trauma score-ISS (TRISS), HLOS, and number of transfused blood units (NTBU), were assessed using correlation coefficient analysis. The diagnostic testing accuracy for predicting mortality was determined using the validity measures of the DSI. Logistic regression analysis was performed to identify predictors of mortality.</p><p><strong>Results: </strong>This analysis included 13212 patients with a mean age of 33 ± 14 years, and 24% had a high DSI. Males accounted for 91% of the study population. The trauma activation level was higher in patients with a high DSI (38% <i>vs</i> 15%, <i>P</i> = 0.001). DSI correlated with RTS (<i>r</i> = -0.30), TRISS (<i>r</i> = -0.30), NTBU (<i>r</i> = 0.20), GCS (<i>r</i> = -0.24), ISS (<i>r</i> = 0.22), and HLOS (<i>r</i> = 0.14) (<i>P</i> = 0.001 for all). High DSI was associated with significantly higher rates of intubation, laparotomy, ventilator-associated pneumonia, massive transfusion activation, and mortality than low DSI. For mortality prediction, a high DSI had better specificity, negative predictive value, and negative likelihood ratio (77%, 99%, and 0.49%, respectively). After adjusting for age, emergency medical services time, GCS score, and ISS, multivariable regression analysis showed that DSI was an independent predictor of mortality (odds ratio = 1.9; 95% confidence interval: 1.35-2.76).</p><p><strong>Conclusion: </strong>In addition to sex-biased observations, almost one-quarter of the study cohort had a higher DSI and were mostly young. High DSI correlated significantly with the other injury severity scores, which require more time and imaging to be ready to use. Therefore, DSI is a practical, simple bedside tool for triaging and prognosis in young patients with trauma.</p>","PeriodicalId":66959,"journal":{"name":"世界危重病急救学杂志(英文版)","volume":"13 4","pages":"99587"},"PeriodicalIF":0.0000,"publicationDate":"2024-12-09","publicationTypes":"Journal Article","fieldsOfStudy":null,"isOpenAccess":false,"openAccessPdf":"https://www.ncbi.nlm.nih.gov/pmc/articles/PMC11577535/pdf/","citationCount":"0","resultStr":"{\"title\":\"Delta shock index predicts injury severity, interventions, and outcomes in trauma patients: A 10-year retrospective observational study.\",\"authors\":\"Mohammad Asim, Ayman El-Menyar, Khalid Ahmed, Mushreq Al-Ani, Saji Mathradikkal, Abubaker Alaieb, Abdel Aziz Hammo, Ibrahim Taha, Ahmad Kloub, Hassan Al-Thani\",\"doi\":\"10.5492/wjccm.v13.i4.99587\",\"DOIUrl\":null,\"url\":null,\"abstract\":\"<p><strong>Background: </strong>Most trauma occurs among young male subjects in Qatar. We examined the predictive values of the delta shock index (DSI), defined as the change in the shock index (SI) value from the scene to the initial reading in the emergency unit (<i>i.e.</i>, subtracting the calculated SI at admission from SI at the scene), at a Level 1 trauma center.</p><p><strong>Aim: </strong>To explore whether high DSI is associated with severe injuries, more interventions, and worse outcomes [<i>i.e.</i>, blood transfusion, exploratory laparotomy, ventilator-associated pneumonia, hospital length of stay (HLOS), and in-hospital mortality] in trauma patients.</p><p><strong>Methods: </strong>A retrospective analysis was conducted after data were extracted from the National Trauma Registry between 2011 and 2021. Patients were grouped based on DSI as low (≤ 0.1) or high (> 0.1). Data were analyzed and compared using <i>χ</i> <sup>2</sup> and Student's <i>t</i>-tests. Correlations between DSI and injury severity score (ISS), revised trauma score (RTS), abbreviated injury scale (AIS), Glasgow coma scale (GCS), trauma score-ISS (TRISS), HLOS, and number of transfused blood units (NTBU), were assessed using correlation coefficient analysis. The diagnostic testing accuracy for predicting mortality was determined using the validity measures of the DSI. Logistic regression analysis was performed to identify predictors of mortality.</p><p><strong>Results: </strong>This analysis included 13212 patients with a mean age of 33 ± 14 years, and 24% had a high DSI. Males accounted for 91% of the study population. The trauma activation level was higher in patients with a high DSI (38% <i>vs</i> 15%, <i>P</i> = 0.001). DSI correlated with RTS (<i>r</i> = -0.30), TRISS (<i>r</i> = -0.30), NTBU (<i>r</i> = 0.20), GCS (<i>r</i> = -0.24), ISS (<i>r</i> = 0.22), and HLOS (<i>r</i> = 0.14) (<i>P</i> = 0.001 for all). High DSI was associated with significantly higher rates of intubation, laparotomy, ventilator-associated pneumonia, massive transfusion activation, and mortality than low DSI. For mortality prediction, a high DSI had better specificity, negative predictive value, and negative likelihood ratio (77%, 99%, and 0.49%, respectively). After adjusting for age, emergency medical services time, GCS score, and ISS, multivariable regression analysis showed that DSI was an independent predictor of mortality (odds ratio = 1.9; 95% confidence interval: 1.35-2.76).</p><p><strong>Conclusion: </strong>In addition to sex-biased observations, almost one-quarter of the study cohort had a higher DSI and were mostly young. High DSI correlated significantly with the other injury severity scores, which require more time and imaging to be ready to use. Therefore, DSI is a practical, simple bedside tool for triaging and prognosis in young patients with trauma.</p>\",\"PeriodicalId\":66959,\"journal\":{\"name\":\"世界危重病急救学杂志(英文版)\",\"volume\":\"13 4\",\"pages\":\"99587\"},\"PeriodicalIF\":0.0000,\"publicationDate\":\"2024-12-09\",\"publicationTypes\":\"Journal Article\",\"fieldsOfStudy\":null,\"isOpenAccess\":false,\"openAccessPdf\":\"https://www.ncbi.nlm.nih.gov/pmc/articles/PMC11577535/pdf/\",\"citationCount\":\"0\",\"resultStr\":null,\"platform\":\"Semanticscholar\",\"paperid\":null,\"PeriodicalName\":\"世界危重病急救学杂志(英文版)\",\"FirstCategoryId\":\"3\",\"ListUrlMain\":\"https://doi.org/10.5492/wjccm.v13.i4.99587\",\"RegionNum\":0,\"RegionCategory\":null,\"ArticlePicture\":[],\"TitleCN\":null,\"AbstractTextCN\":null,\"PMCID\":null,\"EPubDate\":\"\",\"PubModel\":\"\",\"JCR\":\"\",\"JCRName\":\"\",\"Score\":null,\"Total\":0}","platform":"Semanticscholar","paperid":null,"PeriodicalName":"世界危重病急救学杂志(英文版)","FirstCategoryId":"3","ListUrlMain":"https://doi.org/10.5492/wjccm.v13.i4.99587","RegionNum":0,"RegionCategory":null,"ArticlePicture":[],"TitleCN":null,"AbstractTextCN":null,"PMCID":null,"EPubDate":"","PubModel":"","JCR":"","JCRName":"","Score":null,"Total":0}
引用次数: 0

摘要

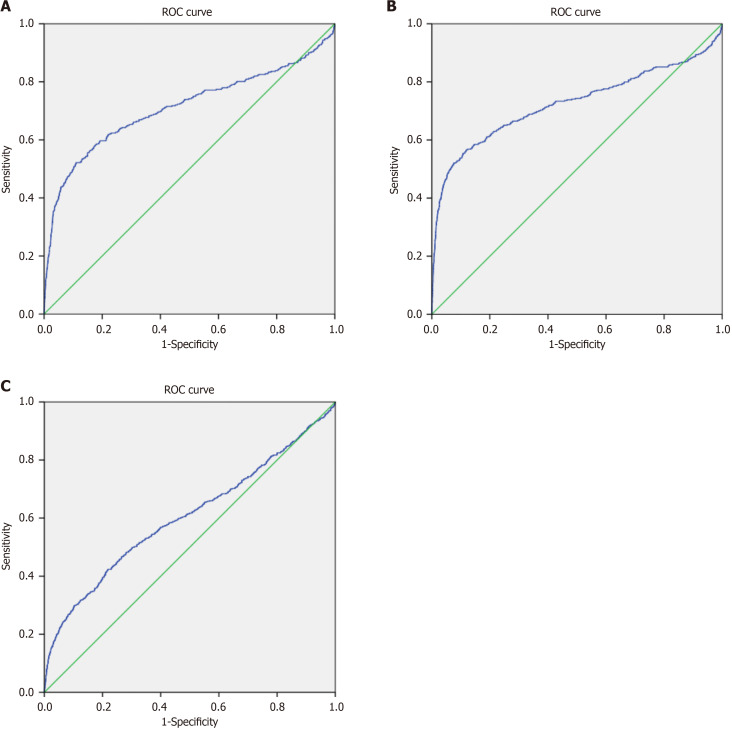
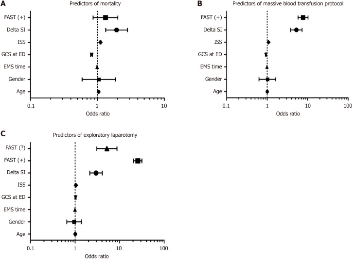
背景:大多数创伤发生在卡塔尔的年轻男性受试者中。我们检查了一级创伤中心的δ休克指数(DSI)的预测值,定义为休克指数(SI)值从现场到急诊单元初始读数的变化(即从现场SI减去入院时计算的SI)。目的:探讨高DSI是否与创伤患者的严重损伤、更多干预和更糟糕的结局(即输血、剖腹探查术、呼吸机相关性肺炎、住院时间(HLOS)和院内死亡率)相关。方法:对2011年至2021年国家创伤登记处的数据进行回顾性分析。根据DSI低(≤0.1)或高(> 0.1)对患者进行分组。采用χ 2和学生t检验对数据进行分析和比较。采用相关系数分析评估DSI与损伤严重程度评分(ISS)、修订创伤评分(RTS)、简易损伤量表(AIS)、格拉斯哥昏迷量表(GCS)、创伤评分-ISS (TRISS)、HLOS和输血单位数(NTBU)之间的相关性。使用DSI的效度测量来确定预测死亡率的诊断测试准确性。进行逻辑回归分析以确定死亡率的预测因素。结果:该分析纳入13212例患者,平均年龄为33±14岁,其中24%的患者DSI较高。男性占研究人群的91%。高DSI患者的创伤激活水平更高(38% vs 15%, P = 0.001)。DSI与RTS (r = -0.30)、TRISS (r = -0.30)、NTBU (r = 0.20)、GCS (r = -0.24)、ISS (r = 0.22)和HLOS (r = 0.14)相关(P = 0.001)。与低DSI相比,高DSI与插管、剖腹手术、呼吸机相关性肺炎、大量输血激活和死亡率的发生率显著升高相关。对于死亡率预测,高DSI具有更好的特异性、阴性预测值和阴性似然比(分别为77%、99%和0.49%)。在调整了年龄、紧急医疗服务时间、GCS评分和ISS后,多变量回归分析显示,DSI是死亡率的独立预测因子(优势比= 1.9;95%置信区间:1.35-2.76)。结论:除了性别偏倚的观察外,几乎四分之一的研究队列具有更高的DSI,并且大多数是年轻人。高DSI与其他损伤严重程度评分显著相关,这需要更多的时间和成像来准备使用。因此,DSI是一种实用、简单的床边工具,用于年轻创伤患者的分诊和预后。
本文章由计算机程序翻译,如有差异,请以英文原文为准。

Delta shock index predicts injury severity, interventions, and outcomes in trauma patients: A 10-year retrospective observational study.

Delta shock index predicts injury severity, interventions, and outcomes in trauma patients: A 10-year retrospective observational study.

Delta shock index predicts injury severity, interventions, and outcomes in trauma patients: A 10-year retrospective observational study.

Background: Most trauma occurs among young male subjects in Qatar. We examined the predictive values of the delta shock index (DSI), defined as the change in the shock index (SI) value from the scene to the initial reading in the emergency unit (i.e., subtracting the calculated SI at admission from SI at the scene), at a Level 1 trauma center.

Aim: To explore whether high DSI is associated with severe injuries, more interventions, and worse outcomes [i.e., blood transfusion, exploratory laparotomy, ventilator-associated pneumonia, hospital length of stay (HLOS), and in-hospital mortality] in trauma patients.

Methods: A retrospective analysis was conducted after data were extracted from the National Trauma Registry between 2011 and 2021. Patients were grouped based on DSI as low (≤ 0.1) or high (> 0.1). Data were analyzed and compared using χ 2 and Student's t-tests. Correlations between DSI and injury severity score (ISS), revised trauma score (RTS), abbreviated injury scale (AIS), Glasgow coma scale (GCS), trauma score-ISS (TRISS), HLOS, and number of transfused blood units (NTBU), were assessed using correlation coefficient analysis. The diagnostic testing accuracy for predicting mortality was determined using the validity measures of the DSI. Logistic regression analysis was performed to identify predictors of mortality.

Results: This analysis included 13212 patients with a mean age of 33 ± 14 years, and 24% had a high DSI. Males accounted for 91% of the study population. The trauma activation level was higher in patients with a high DSI (38% vs 15%, P = 0.001). DSI correlated with RTS (r = -0.30), TRISS (r = -0.30), NTBU (r = 0.20), GCS (r = -0.24), ISS (r = 0.22), and HLOS (r = 0.14) (P = 0.001 for all). High DSI was associated with significantly higher rates of intubation, laparotomy, ventilator-associated pneumonia, massive transfusion activation, and mortality than low DSI. For mortality prediction, a high DSI had better specificity, negative predictive value, and negative likelihood ratio (77%, 99%, and 0.49%, respectively). After adjusting for age, emergency medical services time, GCS score, and ISS, multivariable regression analysis showed that DSI was an independent predictor of mortality (odds ratio = 1.9; 95% confidence interval: 1.35-2.76).

Conclusion: In addition to sex-biased observations, almost one-quarter of the study cohort had a higher DSI and were mostly young. High DSI correlated significantly with the other injury severity scores, which require more time and imaging to be ready to use. Therefore, DSI is a practical, simple bedside tool for triaging and prognosis in young patients with trauma.

求助全文
通过发布文献求助,成功后即可免费获取论文全文。 去求助
来源期刊
自引率
0.00%
发文量
216
×
引用
GB/T 7714-2015
复制
MLA
复制
APA
复制
导出至
BibTeX EndNote RefMan NoteFirst NoteExpress
×
提示
您的信息不完整,为了账户安全,请先补充。
现在去补充
×
提示
您因"违规操作"
具体请查看互助需知
我知道了
×
提示
确定
请完成安全验证×
copy
已复制链接
快去分享给好友吧!
我知道了
右上角分享
点击右上角分享
0
联系我们:info@booksci.cn Book学术提供免费学术资源搜索服务,方便国内外学者检索中英文文献。致力于提供最便捷和优质的服务体验。 Copyright © 2023 布克学术 All rights reserved.
京ICP备2023020795号-1
ghs 京公网安备 11010802042870号
Book学术文献互助
Book学术文献互助群
群 号:604180095
Book学术官方微信