心理应激状态下尿5-羟色胺与心理应激评分的关系

IF 4.1 Q3 NEUROSCIENCES
International Journal of Tryptophan Research Pub Date : 2024-12-04 eCollection Date: 2024-01-01 DOI:10.1177/11786469241297911
Tadayuki Iida, Yasuhiro Ito, Susumu Murayama, Yuki Yoshimaru, Asami Tatsumi
{"title":"心理应激状态下尿5-羟色胺与心理应激评分的关系","authors":"Tadayuki Iida, Yasuhiro Ito, Susumu Murayama, Yuki Yoshimaru, Asami Tatsumi","doi":"10.1177/11786469241297911","DOIUrl":null,"url":null,"abstract":"<p><strong>Background: </strong>Biomarkers for psychological stress have been examined and the \"gut-microbiota-brain axis\" is currently attracting attention. An intervention study reported improvements in both the intestinal environment and psychological stress. However, the relationship between psychological stress scores and urinary 5-hydroxytryptamine (u-5-HT), produced by enterochromaffin cells in the intestinal tract, has not yet been investigated over time in healthy subjects under psychological stress. Therefore, the present study examined the relationship between subjective psychological stress (depression and anxiety) scores and u-5-HT levels over time in healthy women.</p><p><strong>Methods: </strong>The effects of the objective structured clinical examination (OSCE), considered to be a uniform source of psychological stress, on u-5-HT levels were assessed in 16 third-year female medical university students (21.3 ± 2.1 years old) in Japan with a normal menstrual cycle. A self-administered questionnaire consisting of Zung's Self-rating Depression Scale (SDS) and State-Trait Anxiety Inventory (STAI) was used to evaluate subjective stress 1 month, 1 week, and 1 day before and 1 week after the OSCE. Pearson's product-momentum correlation coefficient was used to calculate the correlation coefficient between u-5-HT levels, STAI, and SDS for each examined period.</p><p><strong>Result: </strong>On the day before the OSCE, u-5-HT levels correlated with SDS and STAI (SDS: <i>r</i> = .524, <i>P</i> = .037, State-Anxiety: <i>r</i> = -.718, <i>P</i> = .002).</p><p><strong>Conclusion: </strong>A correlation was observed between subjective psychological stress scores and u-5-HT levels in healthy women under psychological stress.</p>","PeriodicalId":46603,"journal":{"name":"International Journal of Tryptophan Research","volume":"17 ","pages":"11786469241297911"},"PeriodicalIF":4.1000,"publicationDate":"2024-12-04","publicationTypes":"Journal Article","fieldsOfStudy":null,"isOpenAccess":false,"openAccessPdf":"https://www.ncbi.nlm.nih.gov/pmc/articles/PMC11618928/pdf/","citationCount":"0","resultStr":"{\"title\":\"Relationship Between Psychological Stress Scores and Urinary 5-HT Levels Over Time Under Psychological Stress.\",\"authors\":\"Tadayuki Iida, Yasuhiro Ito, Susumu Murayama, Yuki Yoshimaru, Asami Tatsumi\",\"doi\":\"10.1177/11786469241297911\",\"DOIUrl\":null,\"url\":null,\"abstract\":\"<p><strong>Background: </strong>Biomarkers for psychological stress have been examined and the \\\"gut-microbiota-brain axis\\\" is currently attracting attention. An intervention study reported improvements in both the intestinal environment and psychological stress. However, the relationship between psychological stress scores and urinary 5-hydroxytryptamine (u-5-HT), produced by enterochromaffin cells in the intestinal tract, has not yet been investigated over time in healthy subjects under psychological stress. Therefore, the present study examined the relationship between subjective psychological stress (depression and anxiety) scores and u-5-HT levels over time in healthy women.</p><p><strong>Methods: </strong>The effects of the objective structured clinical examination (OSCE), considered to be a uniform source of psychological stress, on u-5-HT levels were assessed in 16 third-year female medical university students (21.3 ± 2.1 years old) in Japan with a normal menstrual cycle. A self-administered questionnaire consisting of Zung's Self-rating Depression Scale (SDS) and State-Trait Anxiety Inventory (STAI) was used to evaluate subjective stress 1 month, 1 week, and 1 day before and 1 week after the OSCE. Pearson's product-momentum correlation coefficient was used to calculate the correlation coefficient between u-5-HT levels, STAI, and SDS for each examined period.</p><p><strong>Result: </strong>On the day before the OSCE, u-5-HT levels correlated with SDS and STAI (SDS: <i>r</i> = .524, <i>P</i> = .037, State-Anxiety: <i>r</i> = -.718, <i>P</i> = .002).</p><p><strong>Conclusion: </strong>A correlation was observed between subjective psychological stress scores and u-5-HT levels in healthy women under psychological stress.</p>\",\"PeriodicalId\":46603,\"journal\":{\"name\":\"International Journal of Tryptophan Research\",\"volume\":\"17 \",\"pages\":\"11786469241297911\"},\"PeriodicalIF\":4.1000,\"publicationDate\":\"2024-12-04\",\"publicationTypes\":\"Journal Article\",\"fieldsOfStudy\":null,\"isOpenAccess\":false,\"openAccessPdf\":\"https://www.ncbi.nlm.nih.gov/pmc/articles/PMC11618928/pdf/\",\"citationCount\":\"0\",\"resultStr\":null,\"platform\":\"Semanticscholar\",\"paperid\":null,\"PeriodicalName\":\"International Journal of Tryptophan Research\",\"FirstCategoryId\":\"1085\",\"ListUrlMain\":\"https://doi.org/10.1177/11786469241297911\",\"RegionNum\":0,\"RegionCategory\":null,\"ArticlePicture\":[],\"TitleCN\":null,\"AbstractTextCN\":null,\"PMCID\":null,\"EPubDate\":\"2024/1/1 0:00:00\",\"PubModel\":\"eCollection\",\"JCR\":\"Q3\",\"JCRName\":\"NEUROSCIENCES\",\"Score\":null,\"Total\":0}","platform":"Semanticscholar","paperid":null,"PeriodicalName":"International Journal of Tryptophan Research","FirstCategoryId":"1085","ListUrlMain":"https://doi.org/10.1177/11786469241297911","RegionNum":0,"RegionCategory":null,"ArticlePicture":[],"TitleCN":null,"AbstractTextCN":null,"PMCID":null,"EPubDate":"2024/1/1 0:00:00","PubModel":"eCollection","JCR":"Q3","JCRName":"NEUROSCIENCES","Score":null,"Total":0}
引用次数: 0

摘要

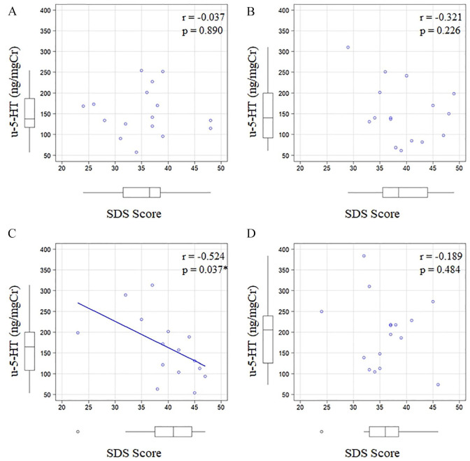
背景:心理压力的生物标志物已经被研究过,“肠道-微生物群-大脑轴”目前正引起人们的关注。一项干预研究报告了肠道环境和心理压力的改善。然而,心理应激评分与肠道肠色素细胞产生的尿5-羟色胺(u-5-HT)之间的关系尚未在健康受试者的心理应激下进行长期研究。因此,本研究考察了健康女性主观心理压力(抑郁和焦虑)评分与u-5-HT水平随时间的关系。方法:评价客观结构化临床检查(OSCE)对月经周期正常的16名日本医科大学三年级女学生(21.3±2.1岁)u-5-HT水平的影响,该检查被认为是心理应激的统一来源。采用Zung抑郁自评量表(SDS)和状态-特质焦虑量表(STAI)组成的自填问卷,在欧安组织会议前1个月、1周、1天和1周后对主观压力进行评估。Pearson积动量相关系数用于计算各检测期u-5-HT水平、STAI和SDS之间的相关系数。结果:在OSCE前一天,u-5-HT水平与SDS和STAI相关(SDS: r =)。524, p =。037、状态焦虑:r = -。718, p = .002)。结论:健康女性心理应激状态下主观心理应激评分与u-5-HT水平存在相关性。
本文章由计算机程序翻译,如有差异,请以英文原文为准。

Relationship Between Psychological Stress Scores and Urinary 5-HT Levels Over Time Under Psychological Stress.

Relationship Between Psychological Stress Scores and Urinary 5-HT Levels Over Time Under Psychological Stress.

Relationship Between Psychological Stress Scores and Urinary 5-HT Levels Over Time Under Psychological Stress.

Relationship Between Psychological Stress Scores and Urinary 5-HT Levels Over Time Under Psychological Stress.

Background: Biomarkers for psychological stress have been examined and the "gut-microbiota-brain axis" is currently attracting attention. An intervention study reported improvements in both the intestinal environment and psychological stress. However, the relationship between psychological stress scores and urinary 5-hydroxytryptamine (u-5-HT), produced by enterochromaffin cells in the intestinal tract, has not yet been investigated over time in healthy subjects under psychological stress. Therefore, the present study examined the relationship between subjective psychological stress (depression and anxiety) scores and u-5-HT levels over time in healthy women.

Methods: The effects of the objective structured clinical examination (OSCE), considered to be a uniform source of psychological stress, on u-5-HT levels were assessed in 16 third-year female medical university students (21.3 ± 2.1 years old) in Japan with a normal menstrual cycle. A self-administered questionnaire consisting of Zung's Self-rating Depression Scale (SDS) and State-Trait Anxiety Inventory (STAI) was used to evaluate subjective stress 1 month, 1 week, and 1 day before and 1 week after the OSCE. Pearson's product-momentum correlation coefficient was used to calculate the correlation coefficient between u-5-HT levels, STAI, and SDS for each examined period.

Result: On the day before the OSCE, u-5-HT levels correlated with SDS and STAI (SDS: r = .524, P = .037, State-Anxiety: r = -.718, P = .002).

Conclusion: A correlation was observed between subjective psychological stress scores and u-5-HT levels in healthy women under psychological stress.

求助全文
通过发布文献求助,成功后即可免费获取论文全文。 去求助
来源期刊
CiteScore
7.30
自引率
4.50%
发文量
19
审稿时长
8 weeks
×
引用
GB/T 7714-2015
复制
MLA
复制
APA
复制
导出至
BibTeX EndNote RefMan NoteFirst NoteExpress
×
提示
您的信息不完整,为了账户安全,请先补充。
现在去补充
×
提示
您因"违规操作"
具体请查看互助需知
我知道了
×
提示
确定
请完成安全验证×
copy
已复制链接
快去分享给好友吧!
我知道了
右上角分享
点击右上角分享
0
联系我们:info@booksci.cn Book学术提供免费学术资源搜索服务,方便国内外学者检索中英文文献。致力于提供最便捷和优质的服务体验。 Copyright © 2023 布克学术 All rights reserved.
京ICP备2023020795号-1
ghs 京公网安备 11010802042870号
Book学术文献互助
Book学术文献互助群
群 号:604180095
Book学术官方微信