通过患者和利益相关方的参与,实现COVID-19自我隔离感染患者远程随访的患者门户(Opal-COVID研究):混合方法试点研究。

Q2 Medicine
Yuanchao Ma, David Lessard, Serge Vicente, Kim Engler, Adriana Rodriguez Cruz, Moustafa Laymouna, Tarek Hijal, Lina Del Balso, Guillaume Thériault, Nathalie Paisible, Nadine Kronfli, Marie-Pascale Pomey, Hansi Peiris, Sapha Barkati, Marie-Josée Brouillette, Marina Klein, Joseph Cox, Alexandra de Pokomandy, Jamil Asselah, Susan J Bartlett, Bertrand Lebouché
{"title":"通过患者和利益相关方的参与,实现COVID-19自我隔离感染患者远程随访的患者门户(Opal-COVID研究):混合方法试点研究。","authors":"Yuanchao Ma, David Lessard, Serge Vicente, Kim Engler, Adriana Rodriguez Cruz, Moustafa Laymouna, Tarek Hijal, Lina Del Balso, Guillaume Thériault, Nathalie Paisible, Nadine Kronfli, Marie-Pascale Pomey, Hansi Peiris, Sapha Barkati, Marie-Josée Brouillette, Marina Klein, Joseph Cox, Alexandra de Pokomandy, Jamil Asselah, Susan J Bartlett, Bertrand Lebouché","doi":"10.2196/48194","DOIUrl":null,"url":null,"abstract":"<p><strong>Background: </strong>The COVID-19 pandemic was an unprecedent challenge to public health systems, with 95% of cases in Quebec sent home for self-isolation. To ensure continuous care, we implemented an intervention supported by a patient portal (Opal) to remotely monitor at-home patients with COVID-19 via daily self-reports of symptoms, vital signs, and mental health that were reviewed by health care professionals.</p><p><strong>Objective: </strong>We describe the intervention's implementation, focusing on the (1) process; (2) outcomes, including feasibility, fidelity, acceptability, usability, and perceived response burden; and (3) barriers and facilitators encountered by stakeholders.</p><p><strong>Methods: </strong>The implementation followed a co-design approach operationalized through patient and stakeholder engagement. The intervention included a 14-day follow-up for each patient. In the mixed methods study at the McGill University Health Centre in Montreal, Quebec, participants completed questionnaires on implementation outcomes on days 1, 7, and 14. All scores were examined against predefined success thresholds. Linear mixed models and generalized estimating equations were used to assess changes in scores over time and whether they differed by sex, age, and race. Semistructured interviews were conducted with expert patients, health care professionals, and coordinators for the qualitative analysis and submitted to thematic analysis guided by the Consolidated Framework for Implementation Research.</p><p><strong>Results: </strong>In total, 51 participants were enrolled between December 2020 and March 2021; 49 (96%) were included in the quantitative analysis. Observed recruitment and retention rates (51/52, 98% and 49/51, 96%) met the 75% feasibility success threshold. Over 80% of the participants found it \"quite easy/very easy\" to complete the daily self-report, with a completion rate (fidelity) of >75% and a nonsignificant decreasing trend over time (from 100%, 49/49 to 82%, 40/49; P=.21). Mean acceptability and usability scores at all time points exceeded the threshold of 4 out of 5. Acceptability scores increased significantly between at least 2 time points (days 1, 7, and 14: mean 4.06, SD 0.57; mean 4.26, SD 0.59; and mean 4.25, SD 0.57; P=.04). Participants aged >50 years reported significantly lower mean ease of use (usability) scores than younger participants (days 1, 7, and 14: mean 4.29, SD 0.91 vs mean 4.67, SD 0.45; mean 4.13, SD 0.89 vs mean 4.77, SD 0.35; and mean 4.24, SD 0.71 vs mean 4.72, SD 0.71; P=.004). In total, 28 stakeholders were interviewed between June and September 2021. Facilitators included a structured implementation process, a focus on stakeholders' recommendations, the adjustability of the intervention, and the team's emphasis on safety. However, Opal's thorough privacy protection measures and limited acute follow-up capacities were identified as barriers, along with implementation delays due to data security-related institutional barriers.</p><p><strong>Conclusions: </strong>The intervention attained targets across all studied implementation outcomes. Qualitative findings highlighted the importance of stakeholder engagement. Telehealth tools have potential for the remote follow-up of acute health conditions.</p><p><strong>International registered report identifier (irrid): </strong>RR2-10.2196/35760.</p>","PeriodicalId":36208,"journal":{"name":"Journal of Participatory Medicine","volume":"16 ","pages":"e48194"},"PeriodicalIF":0.0000,"publicationDate":"2024-12-04","publicationTypes":"Journal Article","fieldsOfStudy":null,"isOpenAccess":false,"openAccessPdf":"https://www.ncbi.nlm.nih.gov/pmc/articles/PMC11656113/pdf/","citationCount":"0","resultStr":"{\"title\":\"Implementing a Patient Portal for the Remote Follow-Up of Self-Isolating Patients With COVID-19 Infection Through Patient and Stakeholder Engagement (the Opal-COVID Study): Mixed Methods Pilot Study.\",\"authors\":\"Yuanchao Ma, David Lessard, Serge Vicente, Kim Engler, Adriana Rodriguez Cruz, Moustafa Laymouna, Tarek Hijal, Lina Del Balso, Guillaume Thériault, Nathalie Paisible, Nadine Kronfli, Marie-Pascale Pomey, Hansi Peiris, Sapha Barkati, Marie-Josée Brouillette, Marina Klein, Joseph Cox, Alexandra de Pokomandy, Jamil Asselah, Susan J Bartlett, Bertrand Lebouché\",\"doi\":\"10.2196/48194\",\"DOIUrl\":null,\"url\":null,\"abstract\":\"<p><strong>Background: </strong>The COVID-19 pandemic was an unprecedent challenge to public health systems, with 95% of cases in Quebec sent home for self-isolation. To ensure continuous care, we implemented an intervention supported by a patient portal (Opal) to remotely monitor at-home patients with COVID-19 via daily self-reports of symptoms, vital signs, and mental health that were reviewed by health care professionals.</p><p><strong>Objective: </strong>We describe the intervention's implementation, focusing on the (1) process; (2) outcomes, including feasibility, fidelity, acceptability, usability, and perceived response burden; and (3) barriers and facilitators encountered by stakeholders.</p><p><strong>Methods: </strong>The implementation followed a co-design approach operationalized through patient and stakeholder engagement. The intervention included a 14-day follow-up for each patient. In the mixed methods study at the McGill University Health Centre in Montreal, Quebec, participants completed questionnaires on implementation outcomes on days 1, 7, and 14. All scores were examined against predefined success thresholds. Linear mixed models and generalized estimating equations were used to assess changes in scores over time and whether they differed by sex, age, and race. Semistructured interviews were conducted with expert patients, health care professionals, and coordinators for the qualitative analysis and submitted to thematic analysis guided by the Consolidated Framework for Implementation Research.</p><p><strong>Results: </strong>In total, 51 participants were enrolled between December 2020 and March 2021; 49 (96%) were included in the quantitative analysis. Observed recruitment and retention rates (51/52, 98% and 49/51, 96%) met the 75% feasibility success threshold. Over 80% of the participants found it \\\"quite easy/very easy\\\" to complete the daily self-report, with a completion rate (fidelity) of >75% and a nonsignificant decreasing trend over time (from 100%, 49/49 to 82%, 40/49; P=.21). Mean acceptability and usability scores at all time points exceeded the threshold of 4 out of 5. Acceptability scores increased significantly between at least 2 time points (days 1, 7, and 14: mean 4.06, SD 0.57; mean 4.26, SD 0.59; and mean 4.25, SD 0.57; P=.04). Participants aged >50 years reported significantly lower mean ease of use (usability) scores than younger participants (days 1, 7, and 14: mean 4.29, SD 0.91 vs mean 4.67, SD 0.45; mean 4.13, SD 0.89 vs mean 4.77, SD 0.35; and mean 4.24, SD 0.71 vs mean 4.72, SD 0.71; P=.004). In total, 28 stakeholders were interviewed between June and September 2021. Facilitators included a structured implementation process, a focus on stakeholders' recommendations, the adjustability of the intervention, and the team's emphasis on safety. However, Opal's thorough privacy protection measures and limited acute follow-up capacities were identified as barriers, along with implementation delays due to data security-related institutional barriers.</p><p><strong>Conclusions: </strong>The intervention attained targets across all studied implementation outcomes. Qualitative findings highlighted the importance of stakeholder engagement. Telehealth tools have potential for the remote follow-up of acute health conditions.</p><p><strong>International registered report identifier (irrid): </strong>RR2-10.2196/35760.</p>\",\"PeriodicalId\":36208,\"journal\":{\"name\":\"Journal of Participatory Medicine\",\"volume\":\"16 \",\"pages\":\"e48194\"},\"PeriodicalIF\":0.0000,\"publicationDate\":\"2024-12-04\",\"publicationTypes\":\"Journal Article\",\"fieldsOfStudy\":null,\"isOpenAccess\":false,\"openAccessPdf\":\"https://www.ncbi.nlm.nih.gov/pmc/articles/PMC11656113/pdf/\",\"citationCount\":\"0\",\"resultStr\":null,\"platform\":\"Semanticscholar\",\"paperid\":null,\"PeriodicalName\":\"Journal of Participatory Medicine\",\"FirstCategoryId\":\"1085\",\"ListUrlMain\":\"https://doi.org/10.2196/48194\",\"RegionNum\":0,\"RegionCategory\":null,\"ArticlePicture\":[],\"TitleCN\":null,\"AbstractTextCN\":null,\"PMCID\":null,\"EPubDate\":\"\",\"PubModel\":\"\",\"JCR\":\"Q2\",\"JCRName\":\"Medicine\",\"Score\":null,\"Total\":0}","platform":"Semanticscholar","paperid":null,"PeriodicalName":"Journal of Participatory Medicine","FirstCategoryId":"1085","ListUrlMain":"https://doi.org/10.2196/48194","RegionNum":0,"RegionCategory":null,"ArticlePicture":[],"TitleCN":null,"AbstractTextCN":null,"PMCID":null,"EPubDate":"","PubModel":"","JCR":"Q2","JCRName":"Medicine","Score":null,"Total":0}
引用次数: 0

摘要

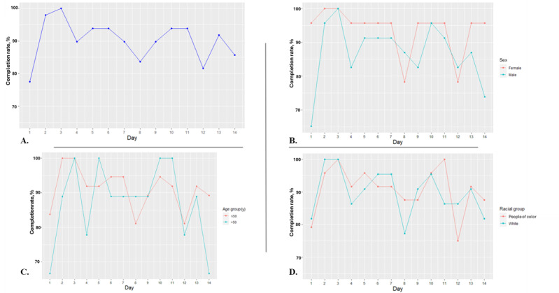
背景:新冠肺炎大流行对公共卫生系统构成了前所未有的挑战,魁北克省95%的病例被送回家中进行自我隔离。为了确保持续护理,我们实施了一项由患者门户(Opal)支持的干预措施,通过每日自我报告的症状、生命体征和心理健康状况,远程监测在家中的COVID-19患者,并由卫生保健专业人员审查。目的:我们描述了干预的实施,重点是(1)过程;(2)结果,包括可行性、保真度、可接受性、可用性和感知响应负担;(3)利益相关者遇到的障碍和促进因素。方法:实施遵循通过患者和利益相关者参与实施的共同设计方法。干预包括对每位患者进行为期14天的随访。在魁北克省蒙特利尔的麦吉尔大学健康中心进行的混合方法研究中,参与者在第1、7和14天完成了关于实施结果的问卷调查。所有分数都是根据预定义的成功阈值进行检查的。线性混合模型和广义估计方程用于评估分数随时间的变化,以及它们是否因性别、年龄和种族而不同。与专家患者、保健专业人员和协调员进行了半结构化访谈,以进行定性分析,并在实施研究综合框架的指导下提交专题分析。结果:在2020年12月至2021年3月期间,共有51名参与者入组;49例(96%)纳入定量分析。观察到的招募率和保留率(51/ 52,98%和49/ 51,96%)达到75%的可行性成功阈值。超过80%的参与者认为完成每日自我报告“相当容易/非常容易”,完成率(保真度)为0.75%,并且随着时间的推移呈不显著的下降趋势(从100%,49/49降至82%,40/49;P = . 21)。所有时间点的平均可接受性和可用性得分都超过了4分(满分5分)的阈值。可接受性评分在至少2个时间点(第1、7和14天)之间显著增加:平均4.06,标准差0.57;平均值4.26,标准差0.59;平均值4.25,标准差0.57;P = .04点)。bb0 ~ 50岁的参与者报告的平均易用性(可用性)得分显著低于年轻参与者(第1、7和14天:平均4.29,SD 0.91 vs平均4.67,SD 0.45;平均值4.13,SD 0.89 vs平均值4.77,SD 0.35;平均值4.24,SD 0.71 vs平均值4.72,SD 0.71;P = 04)。在2021年6月至9月期间,总共采访了28名利益相关者。促进因素包括结构化的实施过程、对利益相关者建议的关注、干预措施的可调节性以及团队对安全性的重视。然而,Opal的彻底的隐私保护措施和有限的急性后续能力被认为是障碍,以及由于数据安全相关的制度障碍而导致的实施延迟。结论:在所有研究的实施结果中,干预措施达到了目标。定性调查结果强调了利益相关者参与的重要性。远程保健工具具有对急性健康状况进行远程随访的潜力。国际注册报告标识符(irrid): RR2-10.2196/35760。
本文章由计算机程序翻译,如有差异,请以英文原文为准。

Implementing a Patient Portal for the Remote Follow-Up of Self-Isolating Patients With COVID-19 Infection Through Patient and Stakeholder Engagement (the Opal-COVID Study): Mixed Methods Pilot Study.

Implementing a Patient Portal for the Remote Follow-Up of Self-Isolating Patients With COVID-19 Infection Through Patient and Stakeholder Engagement (the Opal-COVID Study): Mixed Methods Pilot Study.

Implementing a Patient Portal for the Remote Follow-Up of Self-Isolating Patients With COVID-19 Infection Through Patient and Stakeholder Engagement (the Opal-COVID Study): Mixed Methods Pilot Study.

Implementing a Patient Portal for the Remote Follow-Up of Self-Isolating Patients With COVID-19 Infection Through Patient and Stakeholder Engagement (the Opal-COVID Study): Mixed Methods Pilot Study.

Background: The COVID-19 pandemic was an unprecedent challenge to public health systems, with 95% of cases in Quebec sent home for self-isolation. To ensure continuous care, we implemented an intervention supported by a patient portal (Opal) to remotely monitor at-home patients with COVID-19 via daily self-reports of symptoms, vital signs, and mental health that were reviewed by health care professionals.

Objective: We describe the intervention's implementation, focusing on the (1) process; (2) outcomes, including feasibility, fidelity, acceptability, usability, and perceived response burden; and (3) barriers and facilitators encountered by stakeholders.

Methods: The implementation followed a co-design approach operationalized through patient and stakeholder engagement. The intervention included a 14-day follow-up for each patient. In the mixed methods study at the McGill University Health Centre in Montreal, Quebec, participants completed questionnaires on implementation outcomes on days 1, 7, and 14. All scores were examined against predefined success thresholds. Linear mixed models and generalized estimating equations were used to assess changes in scores over time and whether they differed by sex, age, and race. Semistructured interviews were conducted with expert patients, health care professionals, and coordinators for the qualitative analysis and submitted to thematic analysis guided by the Consolidated Framework for Implementation Research.

Results: In total, 51 participants were enrolled between December 2020 and March 2021; 49 (96%) were included in the quantitative analysis. Observed recruitment and retention rates (51/52, 98% and 49/51, 96%) met the 75% feasibility success threshold. Over 80% of the participants found it "quite easy/very easy" to complete the daily self-report, with a completion rate (fidelity) of >75% and a nonsignificant decreasing trend over time (from 100%, 49/49 to 82%, 40/49; P=.21). Mean acceptability and usability scores at all time points exceeded the threshold of 4 out of 5. Acceptability scores increased significantly between at least 2 time points (days 1, 7, and 14: mean 4.06, SD 0.57; mean 4.26, SD 0.59; and mean 4.25, SD 0.57; P=.04). Participants aged >50 years reported significantly lower mean ease of use (usability) scores than younger participants (days 1, 7, and 14: mean 4.29, SD 0.91 vs mean 4.67, SD 0.45; mean 4.13, SD 0.89 vs mean 4.77, SD 0.35; and mean 4.24, SD 0.71 vs mean 4.72, SD 0.71; P=.004). In total, 28 stakeholders were interviewed between June and September 2021. Facilitators included a structured implementation process, a focus on stakeholders' recommendations, the adjustability of the intervention, and the team's emphasis on safety. However, Opal's thorough privacy protection measures and limited acute follow-up capacities were identified as barriers, along with implementation delays due to data security-related institutional barriers.

Conclusions: The intervention attained targets across all studied implementation outcomes. Qualitative findings highlighted the importance of stakeholder engagement. Telehealth tools have potential for the remote follow-up of acute health conditions.

International registered report identifier (irrid): RR2-10.2196/35760.

求助全文
通过发布文献求助,成功后即可免费获取论文全文。 去求助
来源期刊
Journal of Participatory Medicine
Journal of Participatory Medicine Medicine-Medicine (miscellaneous)
CiteScore
3.20
自引率
0.00%
发文量
8
审稿时长
12 weeks
×
引用
GB/T 7714-2015
复制
MLA
复制
APA
复制
导出至
BibTeX EndNote RefMan NoteFirst NoteExpress
×
提示
您的信息不完整,为了账户安全,请先补充。
现在去补充
×
提示
您因"违规操作"
具体请查看互助需知
我知道了
×
提示
确定
请完成安全验证×
copy
已复制链接
快去分享给好友吧!
我知道了
右上角分享
点击右上角分享
0
联系我们:info@booksci.cn Book学术提供免费学术资源搜索服务,方便国内外学者检索中英文文献。致力于提供最便捷和优质的服务体验。 Copyright © 2023 布克学术 All rights reserved.
京ICP备2023020795号-1
ghs 京公网安备 11010802042870号
Book学术文献互助
Book学术文献互助群
群 号:604180095
Book学术官方微信