超声波在火龙果干生产工艺中的应用研究。

IF 3.1 Q2 FOOD SCIENCE & TECHNOLOGY
International Journal of Food Science Pub Date : 2024-11-22 eCollection Date: 2024-01-01 DOI:10.1155/2024/8619783
Van Thinh Pham, Ngoc Duc Vu, Thuong Nhan Phu Nguyen, Ngoc Minh Truong, Quang Minh Bui, Thanh Tuyen Thi Bui, Ngoc Quyen Thi Phan
{"title":"超声波在火龙果干生产工艺中的应用研究。","authors":"Van Thinh Pham, Ngoc Duc Vu, Thuong Nhan Phu Nguyen, Ngoc Minh Truong, Quang Minh Bui, Thanh Tuyen Thi Bui, Ngoc Quyen Thi Phan","doi":"10.1155/2024/8619783","DOIUrl":null,"url":null,"abstract":"<p><p>In this study, ultrasound waves were successfully applied to the osmosis process of dried dragon fruit products. Additionally, this study was aimed at determining the suitable parameters for the process of drying dragon fruit peels. The parameters including the size of slices (2-5 cm), blanching time (10-25 min), ultrasonic time (10-25 min), ultrasonic temperature (45°C-60°C), ultrasonic power (100-250 W), and drying temperature (45°C-60°C) were fully investigated. The parameters including size of slices at 4 cm, blanching time of 20 min at 100°C, ultrasonic time of 15 minutes, ultrasonic temperature of 55°C, ultrasonic power of 100 W, and drying temperature of 55°C displayed the highest vitamin C (22.291 mg acid ascorbic/100 g), total polyphenol content (1096.948 mg GAE/100 g), reducing sugar (40.643 g/L), and total sugar (724.089 g/L). The obtained products were pink, soft, as well as harmonious between sweet and sour taste. This research contributes to diversifying products from dragon fruit in Vietnam.</p>","PeriodicalId":14125,"journal":{"name":"International Journal of Food Science","volume":"2024 ","pages":"8619783"},"PeriodicalIF":3.1000,"publicationDate":"2024-11-22","publicationTypes":"Journal Article","fieldsOfStudy":null,"isOpenAccess":false,"openAccessPdf":"https://www.ncbi.nlm.nih.gov/pmc/articles/PMC11606681/pdf/","citationCount":"0","resultStr":"{\"title\":\"Study of Using Ultrasonic Waves in the Producing Dried Dragon Fruit Peel Processes.\",\"authors\":\"Van Thinh Pham, Ngoc Duc Vu, Thuong Nhan Phu Nguyen, Ngoc Minh Truong, Quang Minh Bui, Thanh Tuyen Thi Bui, Ngoc Quyen Thi Phan\",\"doi\":\"10.1155/2024/8619783\",\"DOIUrl\":null,\"url\":null,\"abstract\":\"<p><p>In this study, ultrasound waves were successfully applied to the osmosis process of dried dragon fruit products. Additionally, this study was aimed at determining the suitable parameters for the process of drying dragon fruit peels. The parameters including the size of slices (2-5 cm), blanching time (10-25 min), ultrasonic time (10-25 min), ultrasonic temperature (45°C-60°C), ultrasonic power (100-250 W), and drying temperature (45°C-60°C) were fully investigated. The parameters including size of slices at 4 cm, blanching time of 20 min at 100°C, ultrasonic time of 15 minutes, ultrasonic temperature of 55°C, ultrasonic power of 100 W, and drying temperature of 55°C displayed the highest vitamin C (22.291 mg acid ascorbic/100 g), total polyphenol content (1096.948 mg GAE/100 g), reducing sugar (40.643 g/L), and total sugar (724.089 g/L). The obtained products were pink, soft, as well as harmonious between sweet and sour taste. This research contributes to diversifying products from dragon fruit in Vietnam.</p>\",\"PeriodicalId\":14125,\"journal\":{\"name\":\"International Journal of Food Science\",\"volume\":\"2024 \",\"pages\":\"8619783\"},\"PeriodicalIF\":3.1000,\"publicationDate\":\"2024-11-22\",\"publicationTypes\":\"Journal Article\",\"fieldsOfStudy\":null,\"isOpenAccess\":false,\"openAccessPdf\":\"https://www.ncbi.nlm.nih.gov/pmc/articles/PMC11606681/pdf/\",\"citationCount\":\"0\",\"resultStr\":null,\"platform\":\"Semanticscholar\",\"paperid\":null,\"PeriodicalName\":\"International Journal of Food Science\",\"FirstCategoryId\":\"1085\",\"ListUrlMain\":\"https://doi.org/10.1155/2024/8619783\",\"RegionNum\":0,\"RegionCategory\":null,\"ArticlePicture\":[],\"TitleCN\":null,\"AbstractTextCN\":null,\"PMCID\":null,\"EPubDate\":\"2024/1/1 0:00:00\",\"PubModel\":\"eCollection\",\"JCR\":\"Q2\",\"JCRName\":\"FOOD SCIENCE & TECHNOLOGY\",\"Score\":null,\"Total\":0}","platform":"Semanticscholar","paperid":null,"PeriodicalName":"International Journal of Food Science","FirstCategoryId":"1085","ListUrlMain":"https://doi.org/10.1155/2024/8619783","RegionNum":0,"RegionCategory":null,"ArticlePicture":[],"TitleCN":null,"AbstractTextCN":null,"PMCID":null,"EPubDate":"2024/1/1 0:00:00","PubModel":"eCollection","JCR":"Q2","JCRName":"FOOD SCIENCE & TECHNOLOGY","Score":null,"Total":0}
引用次数: 0

摘要

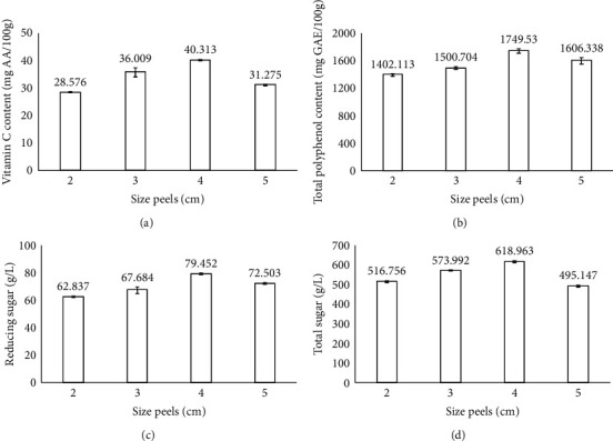
本研究成功地将超声波应用于火龙果干燥产品的渗透过程中。此外,还对火龙果果皮的干燥工艺参数进行了研究。考察了切片尺寸(2-5 cm)、漂烫时间(10-25 min)、超声时间(10-25 min)、超声温度(45℃-60℃)、超声功率(100-250 W)、干燥温度(45℃-60℃)等参数。在4 cm切片尺寸、100℃漂烫时间20 min、超声时间15 min、超声温度55℃、超声功率100 W、干燥温度55℃条件下,维生素C (22.291 mg acid抗坏血酸/100 g)、总多酚含量(1096.948 mg GAE/100 g)、还原糖(40.643 g/L)、总糖(724.089 g/L)最高。所得产品呈粉红色,质地柔软,酸甜口感和谐。该研究有助于越南火龙果产品的多样化。
本文章由计算机程序翻译,如有差异,请以英文原文为准。

Study of Using Ultrasonic Waves in the Producing Dried Dragon Fruit Peel Processes.

Study of Using Ultrasonic Waves in the Producing Dried Dragon Fruit Peel Processes.

Study of Using Ultrasonic Waves in the Producing Dried Dragon Fruit Peel Processes.

Study of Using Ultrasonic Waves in the Producing Dried Dragon Fruit Peel Processes.

In this study, ultrasound waves were successfully applied to the osmosis process of dried dragon fruit products. Additionally, this study was aimed at determining the suitable parameters for the process of drying dragon fruit peels. The parameters including the size of slices (2-5 cm), blanching time (10-25 min), ultrasonic time (10-25 min), ultrasonic temperature (45°C-60°C), ultrasonic power (100-250 W), and drying temperature (45°C-60°C) were fully investigated. The parameters including size of slices at 4 cm, blanching time of 20 min at 100°C, ultrasonic time of 15 minutes, ultrasonic temperature of 55°C, ultrasonic power of 100 W, and drying temperature of 55°C displayed the highest vitamin C (22.291 mg acid ascorbic/100 g), total polyphenol content (1096.948 mg GAE/100 g), reducing sugar (40.643 g/L), and total sugar (724.089 g/L). The obtained products were pink, soft, as well as harmonious between sweet and sour taste. This research contributes to diversifying products from dragon fruit in Vietnam.

求助全文
通过发布文献求助,成功后即可免费获取论文全文。 去求助
来源期刊
International Journal of Food Science
International Journal of Food Science Agricultural and Biological Sciences-Food Science
CiteScore
6.20
自引率
2.50%
发文量
105
审稿时长
11 weeks
期刊介绍: International Journal of Food Science is a peer-reviewed, Open Access journal that publishes research and review articles in all areas of food science. As a multidisciplinary journal, articles discussing all aspects of food science will be considered, including, but not limited to: enhancing shelf life, food deterioration, food engineering, food handling, food processing, food quality, food safety, microbiology, and nutritional research. The journal aims to provide a valuable resource for food scientists, food producers, food retailers, nutritionists, the public health sector, and relevant governmental and non-governmental agencies.
×
引用
GB/T 7714-2015
复制
MLA
复制
APA
复制
导出至
BibTeX EndNote RefMan NoteFirst NoteExpress
×
提示
您的信息不完整,为了账户安全,请先补充。
现在去补充
×
提示
您因"违规操作"
具体请查看互助需知
我知道了
×
提示
确定
请完成安全验证×
copy
已复制链接
快去分享给好友吧!
我知道了
右上角分享
点击右上角分享
0
联系我们:info@booksci.cn Book学术提供免费学术资源搜索服务,方便国内外学者检索中英文文献。致力于提供最便捷和优质的服务体验。 Copyright © 2023 布克学术 All rights reserved.
京ICP备2023020795号-1
ghs 京公网安备 11010802042870号
Book学术文献互助
Book学术文献互助群
群 号:604180095
Book学术官方微信