重症监护病房急性心肌梗死合并充血性心力衰竭患者呼吸频率与住院死亡率的j型关系

IF 2.4 4区 医学 Q3 PHARMACOLOGY & PHARMACY
Dose-Response Pub Date : 2024-12-02 eCollection Date: 2024-10-01 DOI:10.1177/15593258241303040
Kai Zhang, Yu Shi, Yu Han, Tian Yi Cai, Fang Ming Gu, Zhao Xuan Gu, Tianqi Zhang, Mao Xun Huang
{"title":"重症监护病房急性心肌梗死合并充血性心力衰竭患者呼吸频率与住院死亡率的j型关系","authors":"Kai Zhang, Yu Shi, Yu Han, Tian Yi Cai, Fang Ming Gu, Zhao Xuan Gu, Tianqi Zhang, Mao Xun Huang","doi":"10.1177/15593258241303040","DOIUrl":null,"url":null,"abstract":"<p><p><b>Background:</b> While respiratory rate has proven to be a sensitive prognostic indicator in ICU settings, its relevance in the context of Acute Myocardial Infarction (AMI) patients complicated by Congestive Heart Failure (CHF) remains underexplored. Therefore, this study aims to investigate the relationship between respiratory rate and in-hospital mortality in this specific patient cohort. <b>Methods:</b> This retrospective cohort study utilized the Medical Information Mart for Intensive Care-IV database to analyze all AMI patients with concomitant CHF. The primary outcome, in-hospital mortality, was assessed through multivariate analysis. Logistic regression models, restricted cubic spline regression models, and subgroup analyses were employed to explore the association between respiratory rate and in-hospital mortality. <b>Results:</b> The study encompassed 5056 participants diagnosed with both CHF and AMI. After adjusting for confounding variables, each incremental unit rise in respiratory rate was associated with an 8% increase in the risk of patient mortality (OR = 1.08, 95% CI: 1.05∼1.11, <i>P</i> < 0.001). When comparing individuals with respiratory rates in the first tertile (≤17 breaths per minute) and the third tertile (>17-20 breaths per minute) to those in the second tertile (17-20 breaths per minute), the adjusted ORs for in-hospital mortality were 1.09 (95% CI: 0.82∼1.46, <i>P</i> = 0.546) and 1.62 (95% CI: 1.27∼2.06, <i>P</i> < 0.001), respectively. A dose-response relationship depicted a J-shaped curve between respiratory rate and the risk of in-hospital mortality, with an inflection point at approximately 19 breaths per minute. Stratified analyses confirmed the robustness of this correlation. <b>Conclusions:</b> This study reveals a J-shaped association between respiratory rate and in-hospital mortality in ICU patients suffering from both AMI and CHF.</p>","PeriodicalId":11285,"journal":{"name":"Dose-Response","volume":"22 4","pages":"15593258241303040"},"PeriodicalIF":2.4000,"publicationDate":"2024-12-02","publicationTypes":"Journal Article","fieldsOfStudy":null,"isOpenAccess":false,"openAccessPdf":"https://www.ncbi.nlm.nih.gov/pmc/articles/PMC11613282/pdf/","citationCount":"0","resultStr":"{\"title\":\"J-Shaped Association Between Respiratory Rate and In-Hospital Mortality in Acute Myocardial Infarction Patients Complicated by Congestive Heart Failure in Intensive Care Unit.\",\"authors\":\"Kai Zhang, Yu Shi, Yu Han, Tian Yi Cai, Fang Ming Gu, Zhao Xuan Gu, Tianqi Zhang, Mao Xun Huang\",\"doi\":\"10.1177/15593258241303040\",\"DOIUrl\":null,\"url\":null,\"abstract\":\"<p><p><b>Background:</b> While respiratory rate has proven to be a sensitive prognostic indicator in ICU settings, its relevance in the context of Acute Myocardial Infarction (AMI) patients complicated by Congestive Heart Failure (CHF) remains underexplored. Therefore, this study aims to investigate the relationship between respiratory rate and in-hospital mortality in this specific patient cohort. <b>Methods:</b> This retrospective cohort study utilized the Medical Information Mart for Intensive Care-IV database to analyze all AMI patients with concomitant CHF. The primary outcome, in-hospital mortality, was assessed through multivariate analysis. Logistic regression models, restricted cubic spline regression models, and subgroup analyses were employed to explore the association between respiratory rate and in-hospital mortality. <b>Results:</b> The study encompassed 5056 participants diagnosed with both CHF and AMI. After adjusting for confounding variables, each incremental unit rise in respiratory rate was associated with an 8% increase in the risk of patient mortality (OR = 1.08, 95% CI: 1.05∼1.11, <i>P</i> < 0.001). When comparing individuals with respiratory rates in the first tertile (≤17 breaths per minute) and the third tertile (>17-20 breaths per minute) to those in the second tertile (17-20 breaths per minute), the adjusted ORs for in-hospital mortality were 1.09 (95% CI: 0.82∼1.46, <i>P</i> = 0.546) and 1.62 (95% CI: 1.27∼2.06, <i>P</i> < 0.001), respectively. A dose-response relationship depicted a J-shaped curve between respiratory rate and the risk of in-hospital mortality, with an inflection point at approximately 19 breaths per minute. Stratified analyses confirmed the robustness of this correlation. <b>Conclusions:</b> This study reveals a J-shaped association between respiratory rate and in-hospital mortality in ICU patients suffering from both AMI and CHF.</p>\",\"PeriodicalId\":11285,\"journal\":{\"name\":\"Dose-Response\",\"volume\":\"22 4\",\"pages\":\"15593258241303040\"},\"PeriodicalIF\":2.4000,\"publicationDate\":\"2024-12-02\",\"publicationTypes\":\"Journal Article\",\"fieldsOfStudy\":null,\"isOpenAccess\":false,\"openAccessPdf\":\"https://www.ncbi.nlm.nih.gov/pmc/articles/PMC11613282/pdf/\",\"citationCount\":\"0\",\"resultStr\":null,\"platform\":\"Semanticscholar\",\"paperid\":null,\"PeriodicalName\":\"Dose-Response\",\"FirstCategoryId\":\"3\",\"ListUrlMain\":\"https://doi.org/10.1177/15593258241303040\",\"RegionNum\":4,\"RegionCategory\":\"医学\",\"ArticlePicture\":[],\"TitleCN\":null,\"AbstractTextCN\":null,\"PMCID\":null,\"EPubDate\":\"2024/10/1 0:00:00\",\"PubModel\":\"eCollection\",\"JCR\":\"Q3\",\"JCRName\":\"PHARMACOLOGY & PHARMACY\",\"Score\":null,\"Total\":0}","platform":"Semanticscholar","paperid":null,"PeriodicalName":"Dose-Response","FirstCategoryId":"3","ListUrlMain":"https://doi.org/10.1177/15593258241303040","RegionNum":4,"RegionCategory":"医学","ArticlePicture":[],"TitleCN":null,"AbstractTextCN":null,"PMCID":null,"EPubDate":"2024/10/1 0:00:00","PubModel":"eCollection","JCR":"Q3","JCRName":"PHARMACOLOGY & PHARMACY","Score":null,"Total":0}
引用次数: 0

摘要

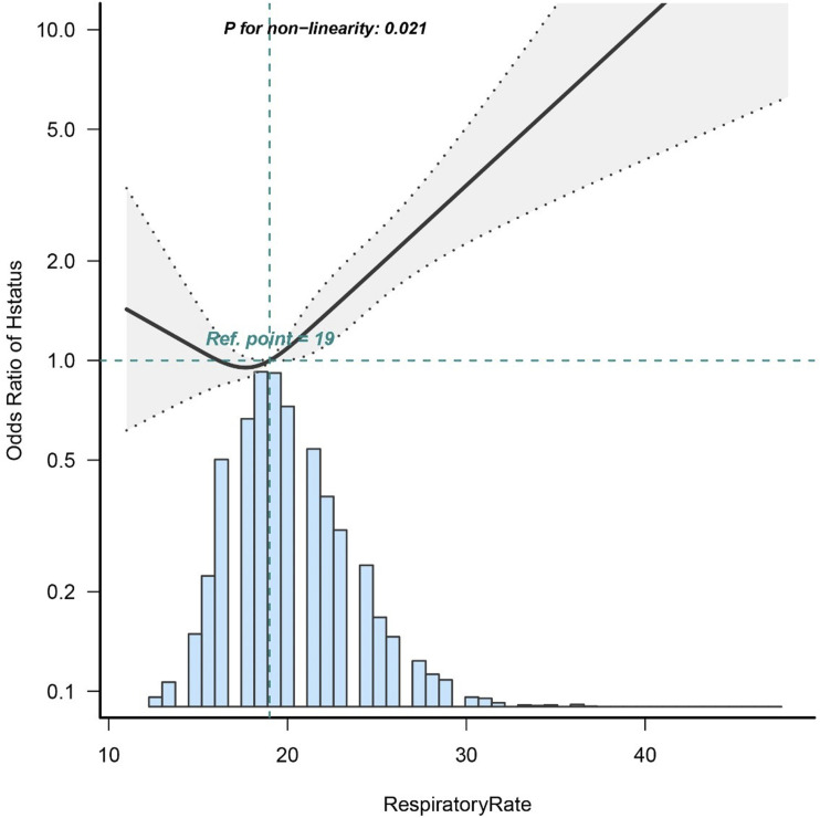
背景:虽然呼吸频率已被证明是ICU环境中一个敏感的预后指标,但其与急性心肌梗死(AMI)合并充血性心力衰竭(CHF)患者的相关性仍未得到充分探讨。因此,本研究旨在探讨这一特定患者队列中呼吸频率与住院死亡率之间的关系。方法:本回顾性队列研究利用重症监护医学信息市场- iv数据库对所有AMI合并CHF患者进行分析。通过多变量分析评估主要结局——住院死亡率。采用Logistic回归模型、受限三次样条回归模型和亚组分析探讨呼吸频率与住院死亡率之间的关系。结果:该研究包括5056名诊断为CHF和AMI的参与者。在调整混杂变量后,呼吸频率每增加一个单位,患者死亡风险增加8% (OR = 1.08, 95% CI: 1.05 ~ 1.11, P < 0.001)。当比较呼吸频率为第一分位(≤17次/分钟)和第三分位(17-20次/分钟)的个体与第二分位(17-20次/分钟)的个体时,调整后的住院死亡率or分别为1.09 (95% CI: 0.82 ~ 1.46, P = 0.546)和1.62 (95% CI: 1.27 ~ 2.06, P < 0.001)。呼吸频率与住院死亡风险之间的剂量-反应关系呈j型曲线,拐点约为每分钟19次呼吸。分层分析证实了这种相关性的稳健性。结论:本研究揭示急性心肌梗塞和慢性心力衰竭ICU患者呼吸频率与住院死亡率呈j型相关。
本文章由计算机程序翻译,如有差异,请以英文原文为准。

J-Shaped Association Between Respiratory Rate and In-Hospital Mortality in Acute Myocardial Infarction Patients Complicated by Congestive Heart Failure in Intensive Care Unit.

J-Shaped Association Between Respiratory Rate and In-Hospital Mortality in Acute Myocardial Infarction Patients Complicated by Congestive Heart Failure in Intensive Care Unit.

J-Shaped Association Between Respiratory Rate and In-Hospital Mortality in Acute Myocardial Infarction Patients Complicated by Congestive Heart Failure in Intensive Care Unit.

J-Shaped Association Between Respiratory Rate and In-Hospital Mortality in Acute Myocardial Infarction Patients Complicated by Congestive Heart Failure in Intensive Care Unit.

Background: While respiratory rate has proven to be a sensitive prognostic indicator in ICU settings, its relevance in the context of Acute Myocardial Infarction (AMI) patients complicated by Congestive Heart Failure (CHF) remains underexplored. Therefore, this study aims to investigate the relationship between respiratory rate and in-hospital mortality in this specific patient cohort. Methods: This retrospective cohort study utilized the Medical Information Mart for Intensive Care-IV database to analyze all AMI patients with concomitant CHF. The primary outcome, in-hospital mortality, was assessed through multivariate analysis. Logistic regression models, restricted cubic spline regression models, and subgroup analyses were employed to explore the association between respiratory rate and in-hospital mortality. Results: The study encompassed 5056 participants diagnosed with both CHF and AMI. After adjusting for confounding variables, each incremental unit rise in respiratory rate was associated with an 8% increase in the risk of patient mortality (OR = 1.08, 95% CI: 1.05∼1.11, P < 0.001). When comparing individuals with respiratory rates in the first tertile (≤17 breaths per minute) and the third tertile (>17-20 breaths per minute) to those in the second tertile (17-20 breaths per minute), the adjusted ORs for in-hospital mortality were 1.09 (95% CI: 0.82∼1.46, P = 0.546) and 1.62 (95% CI: 1.27∼2.06, P < 0.001), respectively. A dose-response relationship depicted a J-shaped curve between respiratory rate and the risk of in-hospital mortality, with an inflection point at approximately 19 breaths per minute. Stratified analyses confirmed the robustness of this correlation. Conclusions: This study reveals a J-shaped association between respiratory rate and in-hospital mortality in ICU patients suffering from both AMI and CHF.

求助全文
通过发布文献求助,成功后即可免费获取论文全文。 去求助
来源期刊
Dose-Response
Dose-Response PHARMACOLOGY & PHARMACY-RADIOLOGY, NUCLEAR MEDICINE & MEDICAL IMAGING
CiteScore
4.90
自引率
4.00%
发文量
140
审稿时长
>12 weeks
期刊介绍: Dose-Response is an open access peer-reviewed online journal publishing original findings and commentaries on the occurrence of dose-response relationships across a broad range of disciplines. Particular interest focuses on experimental evidence providing mechanistic understanding of nonlinear dose-response relationships.
×
引用
GB/T 7714-2015
复制
MLA
复制
APA
复制
导出至
BibTeX EndNote RefMan NoteFirst NoteExpress
×
提示
您的信息不完整,为了账户安全,请先补充。
现在去补充
×
提示
您因"违规操作"
具体请查看互助需知
我知道了
×
提示
确定
请完成安全验证×
copy
已复制链接
快去分享给好友吧!
我知道了
右上角分享
点击右上角分享
0
联系我们:info@booksci.cn Book学术提供免费学术资源搜索服务,方便国内外学者检索中英文文献。致力于提供最便捷和优质的服务体验。 Copyright © 2023 布克学术 All rights reserved.
京ICP备2023020795号-1
ghs 京公网安备 11010802042870号
Book学术文献互助
Book学术文献互助群
群 号:604180095
Book学术官方微信