新发心房颤动对重症患者死亡率的影响

IF 3.2 2区 医学 Q1 PUBLIC, ENVIRONMENTAL & OCCUPATIONAL HEALTH
Clinical Epidemiology Pub Date : 2024-11-21 eCollection Date: 2024-01-01 DOI:10.2147/CLEP.S485411
Hong-Da Zhang, Lei Ding, Li-Jie Mi, Ai-Kai Zhang, Yuan-Dong Liu, Xiang-Nan Li, Xin-Xin Yan, Yu-Jing Shen, Min Tang
{"title":"新发心房颤动对重症患者死亡率的影响","authors":"Hong-Da Zhang, Lei Ding, Li-Jie Mi, Ai-Kai Zhang, Yuan-Dong Liu, Xiang-Nan Li, Xin-Xin Yan, Yu-Jing Shen, Min Tang","doi":"10.2147/CLEP.S485411","DOIUrl":null,"url":null,"abstract":"<p><strong>Background: </strong>Atrial fibrillation (AF) is the most prevalent cardiac arrhythmia in critically ill patients and significantly impacts mortality. This study sought to evaluate the impact of new-onset AF on mortality in a critically ill population.</p><p><strong>Methods: </strong>This study identified 48018 adult patients admitted to the ICU from the Medical Information Mart for Intensive Care (MIMIC)-IV database. Patients were categorized as no AF, pre-existing AF, or new-onset AF. We analyzed mortality at 3 months, 6 months, and 1 year.</p><p><strong>Results: </strong>Overall, 31,562 (65.73%) patients had no AF, 4877 (10.16%) had pre-existing AF, and 11,579 (24.11%) had new-onset AF. Median ages were 61.47 years (no AF), 76.12 years (pre-existing AF), and 75.26 years (new-onset AF). New-onset AF was associated with the highest mortality rates: 25.16% at 3 months, 29.23% at 6 months, and 34.04% at 1 year, compared to 17.94%, 22.55%, and 28.52% for pre-existing AF, and 14.54%, 17.25%, and 20.69% for no AF respectively (p < 0.001 for all). Multivariate Cox regression indicated that new-onset AF significantly increased the risk of 1-year mortality by 15.5% compared to no AF (HR: 1.155, 95% CI: 1.101-1.212; p < 0.001) and by 23.9% compared to pre-existing AF (HR: 1.239, 95% CI: 1.164-1.318; p < 0.001). Kaplan-Meier analysis confirmed lower survival probabilities for new-onset AF over one year compared to the other groups (p < 0.001).</p><p><strong>Conclusion: </strong>In patients with critical illness, new-onset AF is associated with an increased risk of mortality compared with pre-existing AF or no AF.</p>","PeriodicalId":10362,"journal":{"name":"Clinical Epidemiology","volume":"16 ","pages":"811-822"},"PeriodicalIF":3.2000,"publicationDate":"2024-11-21","publicationTypes":"Journal Article","fieldsOfStudy":null,"isOpenAccess":false,"openAccessPdf":"https://www.ncbi.nlm.nih.gov/pmc/articles/PMC11587791/pdf/","citationCount":"0","resultStr":"{\"title\":\"Impact of New-Onset Atrial Fibrillation on Mortality in Critically Ill Patients.\",\"authors\":\"Hong-Da Zhang, Lei Ding, Li-Jie Mi, Ai-Kai Zhang, Yuan-Dong Liu, Xiang-Nan Li, Xin-Xin Yan, Yu-Jing Shen, Min Tang\",\"doi\":\"10.2147/CLEP.S485411\",\"DOIUrl\":null,\"url\":null,\"abstract\":\"<p><strong>Background: </strong>Atrial fibrillation (AF) is the most prevalent cardiac arrhythmia in critically ill patients and significantly impacts mortality. This study sought to evaluate the impact of new-onset AF on mortality in a critically ill population.</p><p><strong>Methods: </strong>This study identified 48018 adult patients admitted to the ICU from the Medical Information Mart for Intensive Care (MIMIC)-IV database. Patients were categorized as no AF, pre-existing AF, or new-onset AF. We analyzed mortality at 3 months, 6 months, and 1 year.</p><p><strong>Results: </strong>Overall, 31,562 (65.73%) patients had no AF, 4877 (10.16%) had pre-existing AF, and 11,579 (24.11%) had new-onset AF. Median ages were 61.47 years (no AF), 76.12 years (pre-existing AF), and 75.26 years (new-onset AF). New-onset AF was associated with the highest mortality rates: 25.16% at 3 months, 29.23% at 6 months, and 34.04% at 1 year, compared to 17.94%, 22.55%, and 28.52% for pre-existing AF, and 14.54%, 17.25%, and 20.69% for no AF respectively (p < 0.001 for all). Multivariate Cox regression indicated that new-onset AF significantly increased the risk of 1-year mortality by 15.5% compared to no AF (HR: 1.155, 95% CI: 1.101-1.212; p < 0.001) and by 23.9% compared to pre-existing AF (HR: 1.239, 95% CI: 1.164-1.318; p < 0.001). Kaplan-Meier analysis confirmed lower survival probabilities for new-onset AF over one year compared to the other groups (p < 0.001).</p><p><strong>Conclusion: </strong>In patients with critical illness, new-onset AF is associated with an increased risk of mortality compared with pre-existing AF or no AF.</p>\",\"PeriodicalId\":10362,\"journal\":{\"name\":\"Clinical Epidemiology\",\"volume\":\"16 \",\"pages\":\"811-822\"},\"PeriodicalIF\":3.2000,\"publicationDate\":\"2024-11-21\",\"publicationTypes\":\"Journal Article\",\"fieldsOfStudy\":null,\"isOpenAccess\":false,\"openAccessPdf\":\"https://www.ncbi.nlm.nih.gov/pmc/articles/PMC11587791/pdf/\",\"citationCount\":\"0\",\"resultStr\":null,\"platform\":\"Semanticscholar\",\"paperid\":null,\"PeriodicalName\":\"Clinical Epidemiology\",\"FirstCategoryId\":\"3\",\"ListUrlMain\":\"https://doi.org/10.2147/CLEP.S485411\",\"RegionNum\":2,\"RegionCategory\":\"医学\",\"ArticlePicture\":[],\"TitleCN\":null,\"AbstractTextCN\":null,\"PMCID\":null,\"EPubDate\":\"2024/1/1 0:00:00\",\"PubModel\":\"eCollection\",\"JCR\":\"Q1\",\"JCRName\":\"PUBLIC, ENVIRONMENTAL & OCCUPATIONAL HEALTH\",\"Score\":null,\"Total\":0}","platform":"Semanticscholar","paperid":null,"PeriodicalName":"Clinical Epidemiology","FirstCategoryId":"3","ListUrlMain":"https://doi.org/10.2147/CLEP.S485411","RegionNum":2,"RegionCategory":"医学","ArticlePicture":[],"TitleCN":null,"AbstractTextCN":null,"PMCID":null,"EPubDate":"2024/1/1 0:00:00","PubModel":"eCollection","JCR":"Q1","JCRName":"PUBLIC, ENVIRONMENTAL & OCCUPATIONAL HEALTH","Score":null,"Total":0}
引用次数: 0

摘要

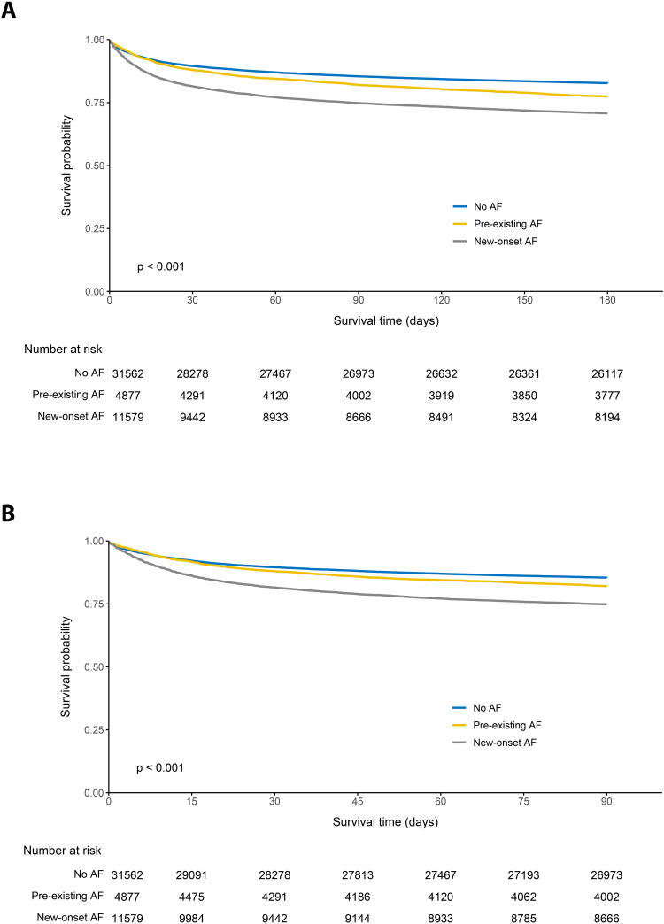
背景:心房颤动(AF)是重症患者最常见的心律失常,对死亡率有显著影响。本研究旨在评估新发房颤对重症患者死亡率的影响:本研究从重症监护医学信息市场(MIMIC)-IV 数据库中确定了 48018 名入住重症监护室的成年患者。患者被分为无房颤、原有房颤或新发房颤。我们分析了3个月、6个月和1年的死亡率:总体而言,31562 名患者(65.73%)无房颤,4877 名患者(10.16%)原有房颤,11579 名患者(24.11%)新发房颤。中位年龄分别为 61.47 岁(无房颤)、76.12 岁(原有房颤)和 75.26 岁(新发房颤)。新发房颤的死亡率最高:3个月的死亡率为25.16%,6个月的死亡率为29.23%,1年的死亡率为34.04%,而原有房颤的死亡率分别为17.94%、22.55%和28.52%,无房颤的死亡率分别为14.54%、17.25%和20.69%(所有数据的P均小于0.001)。多变量 Cox 回归表明,与无房颤相比,新发房颤会显著增加 15.5% 的 1 年死亡风险(HR:1.155,95% CI:1.101-1.212;p <0.001),与原有房颤相比,新发房颤会显著增加 23.9% 的 1 年死亡风险(HR:1.239,95% CI:1.164-1.318;p <0.001)。Kaplan-Meier分析证实,与其他组别相比,新发房颤患者一年内的生存概率较低(P < 0.001):结论:在危重症患者中,与原有房颤或无房颤相比,新发房颤增加了患者的死亡风险。
本文章由计算机程序翻译,如有差异,请以英文原文为准。

Impact of New-Onset Atrial Fibrillation on Mortality in Critically Ill Patients.

Impact of New-Onset Atrial Fibrillation on Mortality in Critically Ill Patients.

Impact of New-Onset Atrial Fibrillation on Mortality in Critically Ill Patients.

Impact of New-Onset Atrial Fibrillation on Mortality in Critically Ill Patients.

Background: Atrial fibrillation (AF) is the most prevalent cardiac arrhythmia in critically ill patients and significantly impacts mortality. This study sought to evaluate the impact of new-onset AF on mortality in a critically ill population.

Methods: This study identified 48018 adult patients admitted to the ICU from the Medical Information Mart for Intensive Care (MIMIC)-IV database. Patients were categorized as no AF, pre-existing AF, or new-onset AF. We analyzed mortality at 3 months, 6 months, and 1 year.

Results: Overall, 31,562 (65.73%) patients had no AF, 4877 (10.16%) had pre-existing AF, and 11,579 (24.11%) had new-onset AF. Median ages were 61.47 years (no AF), 76.12 years (pre-existing AF), and 75.26 years (new-onset AF). New-onset AF was associated with the highest mortality rates: 25.16% at 3 months, 29.23% at 6 months, and 34.04% at 1 year, compared to 17.94%, 22.55%, and 28.52% for pre-existing AF, and 14.54%, 17.25%, and 20.69% for no AF respectively (p < 0.001 for all). Multivariate Cox regression indicated that new-onset AF significantly increased the risk of 1-year mortality by 15.5% compared to no AF (HR: 1.155, 95% CI: 1.101-1.212; p < 0.001) and by 23.9% compared to pre-existing AF (HR: 1.239, 95% CI: 1.164-1.318; p < 0.001). Kaplan-Meier analysis confirmed lower survival probabilities for new-onset AF over one year compared to the other groups (p < 0.001).

Conclusion: In patients with critical illness, new-onset AF is associated with an increased risk of mortality compared with pre-existing AF or no AF.

求助全文
通过发布文献求助,成功后即可免费获取论文全文。 去求助
来源期刊
Clinical Epidemiology
Clinical Epidemiology Medicine-Epidemiology
CiteScore
6.30
自引率
5.10%
发文量
169
审稿时长
16 weeks
期刊介绍: Clinical Epidemiology is an international, peer reviewed, open access journal. Clinical Epidemiology focuses on the application of epidemiological principles and questions relating to patients and clinical care in terms of prevention, diagnosis, prognosis, and treatment. Clinical Epidemiology welcomes papers covering these topics in form of original research and systematic reviews. Clinical Epidemiology has a special interest in international electronic medical patient records and other routine health care data, especially as applied to safety of medical interventions, clinical utility of diagnostic procedures, understanding short- and long-term clinical course of diseases, clinical epidemiological and biostatistical methods, and systematic reviews. When considering submission of a paper utilizing publicly-available data, authors should ensure that such studies add significantly to the body of knowledge and that they use appropriate validated methods for identifying health outcomes. The journal has launched special series describing existing data sources for clinical epidemiology, international health care systems and validation studies of algorithms based on databases and registries.
×
引用
GB/T 7714-2015
复制
MLA
复制
APA
复制
导出至
BibTeX EndNote RefMan NoteFirst NoteExpress
×
提示
您的信息不完整,为了账户安全,请先补充。
现在去补充
×
提示
您因"违规操作"
具体请查看互助需知
我知道了
×
提示
确定
请完成安全验证×
copy
已复制链接
快去分享给好友吧!
我知道了
右上角分享
点击右上角分享
0
联系我们:info@booksci.cn Book学术提供免费学术资源搜索服务,方便国内外学者检索中英文文献。致力于提供最便捷和优质的服务体验。 Copyright © 2023 布克学术 All rights reserved.
京ICP备2023020795号-1
ghs 京公网安备 11010802042870号
Book学术文献互助
Book学术文献互助群
群 号:604180095
Book学术官方微信