胰高血糖素样肽-1 受体激动剂短缺的代谢后果:2 型糖尿病患者血糖控制恶化。

IF 4.2 3区 医学 Q2 ENDOCRINOLOGY & METABOLISM
Endocrinology and Metabolism Pub Date : 2025-02-01 Epub Date: 2024-11-25 DOI:10.3803/EnM.2024.2150
Hun Jee Choe, Michael A Nauck, Joon Ho Moon
{"title":"胰高血糖素样肽-1 受体激动剂短缺的代谢后果:2 型糖尿病患者血糖控制恶化。","authors":"Hun Jee Choe, Michael A Nauck, Joon Ho Moon","doi":"10.3803/EnM.2024.2150","DOIUrl":null,"url":null,"abstract":"<p><p>In the context of a global shortage of glucagon-like peptide-1 (GLP-1) receptor agonists, we assessed the impact of discontinuing dulaglutide on metabolic control in individuals with type 2 diabetes. Our analysis included data from 69 individuals and revealed a significant deterioration in glycemic control following the discontinuation. Specifically, the average hemoglobin A1c level increased from 7.0%±0.9% to 8.1%±1.4% (P<0.001), and fasting glucose levels rose from 129±31 to 156±50 mg/dL (P<0.001) within 3 months after stopping the medication. Alternative treatments such as dipeptidyl peptidase-4 inhibitors and sodium glucose cotransporter- 2 inhibitors were insufficient substitutes, highlighting the essential role of continuous GLP-1 receptor agonist therapy in maintaining metabolic health.</p>","PeriodicalId":11636,"journal":{"name":"Endocrinology and Metabolism","volume":" ","pages":"156-160"},"PeriodicalIF":4.2000,"publicationDate":"2025-02-01","publicationTypes":"Journal Article","fieldsOfStudy":null,"isOpenAccess":false,"openAccessPdf":"https://www.ncbi.nlm.nih.gov/pmc/articles/PMC11898308/pdf/","citationCount":"0","resultStr":"{\"title\":\"Metabolic Consequences of Glucagon-Like Peptide-1 Receptor Agonist Shortage: Deterioration of Glycemic Control in Type 2 Diabetes.\",\"authors\":\"Hun Jee Choe, Michael A Nauck, Joon Ho Moon\",\"doi\":\"10.3803/EnM.2024.2150\",\"DOIUrl\":null,\"url\":null,\"abstract\":\"<p><p>In the context of a global shortage of glucagon-like peptide-1 (GLP-1) receptor agonists, we assessed the impact of discontinuing dulaglutide on metabolic control in individuals with type 2 diabetes. Our analysis included data from 69 individuals and revealed a significant deterioration in glycemic control following the discontinuation. Specifically, the average hemoglobin A1c level increased from 7.0%±0.9% to 8.1%±1.4% (P<0.001), and fasting glucose levels rose from 129±31 to 156±50 mg/dL (P<0.001) within 3 months after stopping the medication. Alternative treatments such as dipeptidyl peptidase-4 inhibitors and sodium glucose cotransporter- 2 inhibitors were insufficient substitutes, highlighting the essential role of continuous GLP-1 receptor agonist therapy in maintaining metabolic health.</p>\",\"PeriodicalId\":11636,\"journal\":{\"name\":\"Endocrinology and Metabolism\",\"volume\":\" \",\"pages\":\"156-160\"},\"PeriodicalIF\":4.2000,\"publicationDate\":\"2025-02-01\",\"publicationTypes\":\"Journal Article\",\"fieldsOfStudy\":null,\"isOpenAccess\":false,\"openAccessPdf\":\"https://www.ncbi.nlm.nih.gov/pmc/articles/PMC11898308/pdf/\",\"citationCount\":\"0\",\"resultStr\":null,\"platform\":\"Semanticscholar\",\"paperid\":null,\"PeriodicalName\":\"Endocrinology and Metabolism\",\"FirstCategoryId\":\"3\",\"ListUrlMain\":\"https://doi.org/10.3803/EnM.2024.2150\",\"RegionNum\":3,\"RegionCategory\":\"医学\",\"ArticlePicture\":[],\"TitleCN\":null,\"AbstractTextCN\":null,\"PMCID\":null,\"EPubDate\":\"2024/11/25 0:00:00\",\"PubModel\":\"Epub\",\"JCR\":\"Q2\",\"JCRName\":\"ENDOCRINOLOGY & METABOLISM\",\"Score\":null,\"Total\":0}","platform":"Semanticscholar","paperid":null,"PeriodicalName":"Endocrinology and Metabolism","FirstCategoryId":"3","ListUrlMain":"https://doi.org/10.3803/EnM.2024.2150","RegionNum":3,"RegionCategory":"医学","ArticlePicture":[],"TitleCN":null,"AbstractTextCN":null,"PMCID":null,"EPubDate":"2024/11/25 0:00:00","PubModel":"Epub","JCR":"Q2","JCRName":"ENDOCRINOLOGY & METABOLISM","Score":null,"Total":0}
引用次数: 0

摘要

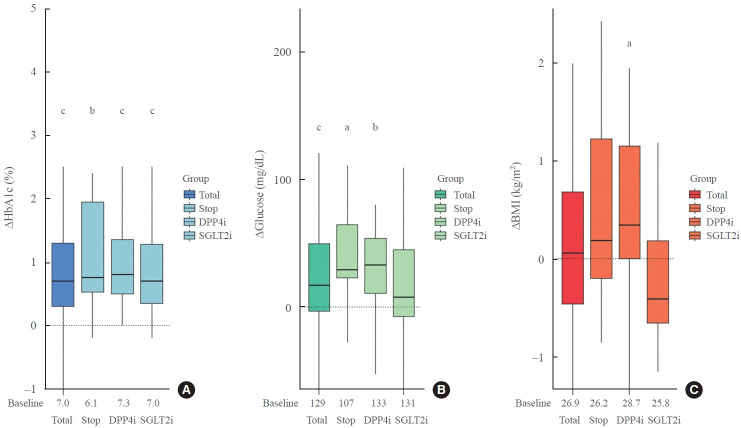
在全球胰高血糖素样肽-1(GLP-1)受体激动剂短缺的背景下,我们评估了停用度拉鲁肽对 2 型糖尿病患者代谢控制的影响。我们的分析包括来自 69 名患者的数据,结果显示停药后血糖控制明显恶化。具体来说,平均血红蛋白 A1c 水平从 7.0%±0.9% 升至 8.1%±1.4% (P
本文章由计算机程序翻译,如有差异,请以英文原文为准。

Metabolic Consequences of Glucagon-Like Peptide-1 Receptor Agonist Shortage: Deterioration of Glycemic Control in Type 2 Diabetes.

Metabolic Consequences of Glucagon-Like Peptide-1 Receptor Agonist Shortage: Deterioration of Glycemic Control in Type 2 Diabetes.

Metabolic Consequences of Glucagon-Like Peptide-1 Receptor Agonist Shortage: Deterioration of Glycemic Control in Type 2 Diabetes.

In the context of a global shortage of glucagon-like peptide-1 (GLP-1) receptor agonists, we assessed the impact of discontinuing dulaglutide on metabolic control in individuals with type 2 diabetes. Our analysis included data from 69 individuals and revealed a significant deterioration in glycemic control following the discontinuation. Specifically, the average hemoglobin A1c level increased from 7.0%±0.9% to 8.1%±1.4% (P<0.001), and fasting glucose levels rose from 129±31 to 156±50 mg/dL (P<0.001) within 3 months after stopping the medication. Alternative treatments such as dipeptidyl peptidase-4 inhibitors and sodium glucose cotransporter- 2 inhibitors were insufficient substitutes, highlighting the essential role of continuous GLP-1 receptor agonist therapy in maintaining metabolic health.

求助全文
通过发布文献求助,成功后即可免费获取论文全文。 去求助
来源期刊
Endocrinology and Metabolism
Endocrinology and Metabolism Medicine-Endocrinology, Diabetes and Metabolism
CiteScore
6.60
自引率
5.90%
发文量
145
审稿时长
24 weeks
期刊介绍: The aim of this journal is to set high standards of medical care by providing a forum for discussion for basic, clinical, and translational researchers and clinicians on new findings in the fields of endocrinology and metabolism. Endocrinology and Metabolism reports new findings and developments in all aspects of endocrinology and metabolism. The topics covered by this journal include bone and mineral metabolism, cytokines, developmental endocrinology, diagnostic endocrinology, endocrine research, dyslipidemia, endocrine regulation, genetic endocrinology, growth factors, hormone receptors, hormone action and regulation, management of endocrine diseases, clinical trials, epidemiology, molecular endocrinology, neuroendocrinology, neuropeptides, neurotransmitters, obesity, pediatric endocrinology, reproductive endocrinology, signal transduction, the anatomy and physiology of endocrine organs (i.e., the pituitary, thyroid, parathyroid, and adrenal glands, and the gonads), and endocrine diseases (diabetes, nutrition, osteoporosis, etc.).
×
引用
GB/T 7714-2015
复制
MLA
复制
APA
复制
导出至
BibTeX EndNote RefMan NoteFirst NoteExpress
×
提示
您的信息不完整,为了账户安全,请先补充。
现在去补充
×
提示
您因"违规操作"
具体请查看互助需知
我知道了
×
提示
确定
请完成安全验证×
copy
已复制链接
快去分享给好友吧!
我知道了
右上角分享
点击右上角分享
0
联系我们:info@booksci.cn Book学术提供免费学术资源搜索服务,方便国内外学者检索中英文文献。致力于提供最便捷和优质的服务体验。 Copyright © 2023 布克学术 All rights reserved.
京ICP备2023020795号-1
ghs 京公网安备 11010802042870号
Book学术文献互助
Book学术文献互助群
群 号:604180095
Book学术官方微信