美国成年人体重调整后腰围指数与肺气肿之间的关系:一项涉及 44,949 名参与者的横断面研究。

IF 2.3 Q3 RESPIRATORY SYSTEM
Hui Cheng, Ziheng Yang, Jiateng Guo, Yukun Zu, Fan Li, Bo Zhao
{"title":"美国成年人体重调整后腰围指数与肺气肿之间的关系:一项涉及 44,949 名参与者的横断面研究。","authors":"Hui Cheng, Ziheng Yang, Jiateng Guo, Yukun Zu, Fan Li, Bo Zhao","doi":"10.3390/arm92060043","DOIUrl":null,"url":null,"abstract":"<p><p><b>Background</b>: The relationship between obesity and respiratory diseases has been widely explored. In this context, the Weight-Adjusted Waist Index (WWI) has emerged as a novel metric for assessing visceral fat. This study aims to evaluate the association between WWI and the risk of emphysema in the U.S. population, by utilizing data from the 2001-2018 National Health and Nutrition Examination Survey (NHANES). <b>Methods</b>: A cross-sectional study was conducted using NHANES data from 2001 to 2018. Logistic regression models were applied to assess the relationship between WWI and emphysema risk. Interaction and subgroup analyses were performed to explore effect modifiers. <b>Results</b>: Our study included a total of 44,949 American adults. The results of the multivariable logistic regression analysis revealed an association between WWI and the incidence of emphysema. In the fully adjusted model, the probability of developing emphysema was 1.5 times higher in the group with WWI > 10.46 compared to those with WWI ≤ 10.46, with an odds ratio of [1.5 (1.1, 1.9), <i>p</i> = 0.003]. Subgroup analysis showed stronger associations among males, non-Hispanic Whites, and individuals with hypertension. Furthermore, we used a two-piece linear regression model and found a nonlinear association between WWI and emphysema, with a breakpoint at 12.5. <b>Conclusions</b>: Our findings indicate a significant association between WWI levels and emphysema. Larger-scale prospective studies are needed to further explore the role of WWI in emphysema.</p>","PeriodicalId":7391,"journal":{"name":"Advances in respiratory medicine","volume":"92 6","pages":"472-484"},"PeriodicalIF":2.3000,"publicationDate":"2024-11-21","publicationTypes":"Journal Article","fieldsOfStudy":null,"isOpenAccess":false,"openAccessPdf":"https://www.ncbi.nlm.nih.gov/pmc/articles/PMC11586996/pdf/","citationCount":"0","resultStr":"{\"title\":\"Association Between Weight-Adjusted Waist Index and Emphysema in Adults in the United States: A Cross-Sectional Study Involving 44,949 Participants.\",\"authors\":\"Hui Cheng, Ziheng Yang, Jiateng Guo, Yukun Zu, Fan Li, Bo Zhao\",\"doi\":\"10.3390/arm92060043\",\"DOIUrl\":null,\"url\":null,\"abstract\":\"<p><p><b>Background</b>: The relationship between obesity and respiratory diseases has been widely explored. In this context, the Weight-Adjusted Waist Index (WWI) has emerged as a novel metric for assessing visceral fat. This study aims to evaluate the association between WWI and the risk of emphysema in the U.S. population, by utilizing data from the 2001-2018 National Health and Nutrition Examination Survey (NHANES). <b>Methods</b>: A cross-sectional study was conducted using NHANES data from 2001 to 2018. Logistic regression models were applied to assess the relationship between WWI and emphysema risk. Interaction and subgroup analyses were performed to explore effect modifiers. <b>Results</b>: Our study included a total of 44,949 American adults. The results of the multivariable logistic regression analysis revealed an association between WWI and the incidence of emphysema. In the fully adjusted model, the probability of developing emphysema was 1.5 times higher in the group with WWI > 10.46 compared to those with WWI ≤ 10.46, with an odds ratio of [1.5 (1.1, 1.9), <i>p</i> = 0.003]. Subgroup analysis showed stronger associations among males, non-Hispanic Whites, and individuals with hypertension. Furthermore, we used a two-piece linear regression model and found a nonlinear association between WWI and emphysema, with a breakpoint at 12.5. <b>Conclusions</b>: Our findings indicate a significant association between WWI levels and emphysema. Larger-scale prospective studies are needed to further explore the role of WWI in emphysema.</p>\",\"PeriodicalId\":7391,\"journal\":{\"name\":\"Advances in respiratory medicine\",\"volume\":\"92 6\",\"pages\":\"472-484\"},\"PeriodicalIF\":2.3000,\"publicationDate\":\"2024-11-21\",\"publicationTypes\":\"Journal Article\",\"fieldsOfStudy\":null,\"isOpenAccess\":false,\"openAccessPdf\":\"https://www.ncbi.nlm.nih.gov/pmc/articles/PMC11586996/pdf/\",\"citationCount\":\"0\",\"resultStr\":null,\"platform\":\"Semanticscholar\",\"paperid\":null,\"PeriodicalName\":\"Advances in respiratory medicine\",\"FirstCategoryId\":\"1085\",\"ListUrlMain\":\"https://doi.org/10.3390/arm92060043\",\"RegionNum\":0,\"RegionCategory\":null,\"ArticlePicture\":[],\"TitleCN\":null,\"AbstractTextCN\":null,\"PMCID\":null,\"EPubDate\":\"\",\"PubModel\":\"\",\"JCR\":\"Q3\",\"JCRName\":\"RESPIRATORY SYSTEM\",\"Score\":null,\"Total\":0}","platform":"Semanticscholar","paperid":null,"PeriodicalName":"Advances in respiratory medicine","FirstCategoryId":"1085","ListUrlMain":"https://doi.org/10.3390/arm92060043","RegionNum":0,"RegionCategory":null,"ArticlePicture":[],"TitleCN":null,"AbstractTextCN":null,"PMCID":null,"EPubDate":"","PubModel":"","JCR":"Q3","JCRName":"RESPIRATORY SYSTEM","Score":null,"Total":0}
引用次数: 0

摘要

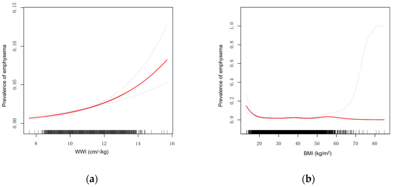
背景:肥胖与呼吸系统疾病之间的关系已被广泛探讨。在此背景下,体重调整腰围指数(WWI)成为评估内脏脂肪的新指标。本研究旨在利用 2001-2018 年美国国家健康与营养调查(NHANES)的数据,评估 WWI 与美国人口肺气肿风险之间的关系。研究方法:利用 2001 年至 2018 年的 NHANES 数据进行了一项横断面研究。应用逻辑回归模型评估了WWI与肺气肿风险之间的关系。进行了交互分析和亚组分析,以探索效应修饰因子。研究结果我们的研究共纳入了 44,949 名美国成年人。多变量逻辑回归分析的结果显示,WWI 与肺气肿发病率之间存在关联。在完全调整模型中,WWI > 10.46 的人群与 WWI ≤ 10.46 的人群相比,患肺气肿的概率高出 1.5 倍,几率比为 [1.5 (1.1, 1.9), p = 0.003]。分组分析显示,男性、非西班牙裔白人和高血压患者之间的关联性更强。此外,我们使用了一个两部分线性回归模型,发现 WWI 与肺气肿之间存在非线性关联,断点为 12.5。结论:我们的研究结果表明,WWI 水平与肺气肿之间存在明显的关联。需要进行更大规模的前瞻性研究,以进一步探讨 WWI 在肺气肿中的作用。
本文章由计算机程序翻译,如有差异,请以英文原文为准。

Association Between Weight-Adjusted Waist Index and Emphysema in Adults in the United States: A Cross-Sectional Study Involving 44,949 Participants.

Association Between Weight-Adjusted Waist Index and Emphysema in Adults in the United States: A Cross-Sectional Study Involving 44,949 Participants.

Association Between Weight-Adjusted Waist Index and Emphysema in Adults in the United States: A Cross-Sectional Study Involving 44,949 Participants.

Association Between Weight-Adjusted Waist Index and Emphysema in Adults in the United States: A Cross-Sectional Study Involving 44,949 Participants.

Background: The relationship between obesity and respiratory diseases has been widely explored. In this context, the Weight-Adjusted Waist Index (WWI) has emerged as a novel metric for assessing visceral fat. This study aims to evaluate the association between WWI and the risk of emphysema in the U.S. population, by utilizing data from the 2001-2018 National Health and Nutrition Examination Survey (NHANES). Methods: A cross-sectional study was conducted using NHANES data from 2001 to 2018. Logistic regression models were applied to assess the relationship between WWI and emphysema risk. Interaction and subgroup analyses were performed to explore effect modifiers. Results: Our study included a total of 44,949 American adults. The results of the multivariable logistic regression analysis revealed an association between WWI and the incidence of emphysema. In the fully adjusted model, the probability of developing emphysema was 1.5 times higher in the group with WWI > 10.46 compared to those with WWI ≤ 10.46, with an odds ratio of [1.5 (1.1, 1.9), p = 0.003]. Subgroup analysis showed stronger associations among males, non-Hispanic Whites, and individuals with hypertension. Furthermore, we used a two-piece linear regression model and found a nonlinear association between WWI and emphysema, with a breakpoint at 12.5. Conclusions: Our findings indicate a significant association between WWI levels and emphysema. Larger-scale prospective studies are needed to further explore the role of WWI in emphysema.

求助全文
通过发布文献求助,成功后即可免费获取论文全文。 去求助
来源期刊
Advances in respiratory medicine
Advances in respiratory medicine RESPIRATORY SYSTEM-
CiteScore
2.60
自引率
0.00%
发文量
90
期刊介绍: "Advances in Respiratory Medicine" is a new international title for "Pneumonologia i Alergologia Polska", edited bimonthly and addressed to respiratory professionals. The Journal contains peer-reviewed original research papers, short communications, case-reports, recommendations of the Polish Respiratory Society concerning the diagnosis and treatment of lung diseases, editorials, postgraduate education articles, letters and book reviews in the field of pneumonology, allergology, oncology, immunology and infectious diseases. "Advances in Respiratory Medicine" is an open access, official journal of Polish Society of Lung Diseases, Polish Society of Allergology and National Research Institute of Tuberculosis and Lung Diseases.
×
引用
GB/T 7714-2015
复制
MLA
复制
APA
复制
导出至
BibTeX EndNote RefMan NoteFirst NoteExpress
×
提示
您的信息不完整,为了账户安全,请先补充。
现在去补充
×
提示
您因"违规操作"
具体请查看互助需知
我知道了
×
提示
确定
请完成安全验证×
copy
已复制链接
快去分享给好友吧!
我知道了
右上角分享
点击右上角分享
0
联系我们:info@booksci.cn Book学术提供免费学术资源搜索服务,方便国内外学者检索中英文文献。致力于提供最便捷和优质的服务体验。 Copyright © 2023 布克学术 All rights reserved.
京ICP备2023020795号-1
ghs 京公网安备 11010802042870号
Book学术文献互助
Book学术文献互助群
群 号:604180095
Book学术官方微信