全科医生对开始服用抗抑郁药物的抑郁症患者的随访差异:一项基于登记的队列研究。

IF 2.2 4区 医学 Q1 MEDICINE, GENERAL & INTERNAL
Anneli B Hansen, Øystein Hetlevik, Valborg Baste, Inger Haukenes, Tone Smith-Sivertsen, Sabine Ruths
{"title":"全科医生对开始服用抗抑郁药物的抑郁症患者的随访差异:一项基于登记的队列研究。","authors":"Anneli B Hansen, Øystein Hetlevik, Valborg Baste, Inger Haukenes, Tone Smith-Sivertsen, Sabine Ruths","doi":"10.1093/fampra/cmae063","DOIUrl":null,"url":null,"abstract":"<p><strong>Background: </strong>Guidelines recommend follow-up within 2 weeks for patients starting medication for depression. Knowledge is lacking about how general practitioners' (GPs) follow-up varies with patients' sociodemographic characteristics.</p><p><strong>Objective: </strong>To describe follow-up by GP and specialist in mental healthcare provided to men and women with depression within 3 months of starting drug therapy. Furthermore, to examine whether follow-up varied according to patients' age and education.</p><p><strong>Methods: </strong>Registry-based cohort study comprising all patients aged ≥18 years in Norway with a new depression episode in 2014 who started on antidepressants within 12 months from diagnosis. Patients' age and educational level were the exposures. Outcomes were follow-up by GP and/or mental healthcare specialist, and talking therapy with GP, within 90 days of first prescription. Cox proportional hazard models were used to estimate the likelihood of having follow-up contacts. Log binomial regression analysis was performed to explore the likelihood of having talking therapy with a GP. Time to first contact was illustrated by Kaplan-Meier survival curves.</p><p><strong>Results: </strong>The study population comprised 17 000 patients, mean age 45.7 years, 60.6% women. Only 27.8% of the patients were followed up by GP and/or specialist within 2 weeks of the first drug dispensing, 67.1% within 90 days. Older or less educated men and women received less and later contacts than the younger or more highly educated.</p><p><strong>Conclusions: </strong>Differences in age and educational level were associated with follow-up of depressed patients who started medication. This may indicate unwarranted variation in depression care that GPs should consider when prescribing antidepressants.</p>","PeriodicalId":12209,"journal":{"name":"Family practice","volume":" ","pages":""},"PeriodicalIF":2.2000,"publicationDate":"2025-02-07","publicationTypes":"Journal Article","fieldsOfStudy":null,"isOpenAccess":false,"openAccessPdf":"https://www.ncbi.nlm.nih.gov/pmc/articles/PMC11809248/pdf/","citationCount":"0","resultStr":"{\"title\":\"Variation in general practitioners' follow-up of depressed patients starting antidepressant medication: a register-based cohort study.\",\"authors\":\"Anneli B Hansen, Øystein Hetlevik, Valborg Baste, Inger Haukenes, Tone Smith-Sivertsen, Sabine Ruths\",\"doi\":\"10.1093/fampra/cmae063\",\"DOIUrl\":null,\"url\":null,\"abstract\":\"<p><strong>Background: </strong>Guidelines recommend follow-up within 2 weeks for patients starting medication for depression. Knowledge is lacking about how general practitioners' (GPs) follow-up varies with patients' sociodemographic characteristics.</p><p><strong>Objective: </strong>To describe follow-up by GP and specialist in mental healthcare provided to men and women with depression within 3 months of starting drug therapy. Furthermore, to examine whether follow-up varied according to patients' age and education.</p><p><strong>Methods: </strong>Registry-based cohort study comprising all patients aged ≥18 years in Norway with a new depression episode in 2014 who started on antidepressants within 12 months from diagnosis. Patients' age and educational level were the exposures. Outcomes were follow-up by GP and/or mental healthcare specialist, and talking therapy with GP, within 90 days of first prescription. Cox proportional hazard models were used to estimate the likelihood of having follow-up contacts. Log binomial regression analysis was performed to explore the likelihood of having talking therapy with a GP. Time to first contact was illustrated by Kaplan-Meier survival curves.</p><p><strong>Results: </strong>The study population comprised 17 000 patients, mean age 45.7 years, 60.6% women. Only 27.8% of the patients were followed up by GP and/or specialist within 2 weeks of the first drug dispensing, 67.1% within 90 days. Older or less educated men and women received less and later contacts than the younger or more highly educated.</p><p><strong>Conclusions: </strong>Differences in age and educational level were associated with follow-up of depressed patients who started medication. This may indicate unwarranted variation in depression care that GPs should consider when prescribing antidepressants.</p>\",\"PeriodicalId\":12209,\"journal\":{\"name\":\"Family practice\",\"volume\":\" \",\"pages\":\"\"},\"PeriodicalIF\":2.2000,\"publicationDate\":\"2025-02-07\",\"publicationTypes\":\"Journal Article\",\"fieldsOfStudy\":null,\"isOpenAccess\":false,\"openAccessPdf\":\"https://www.ncbi.nlm.nih.gov/pmc/articles/PMC11809248/pdf/\",\"citationCount\":\"0\",\"resultStr\":null,\"platform\":\"Semanticscholar\",\"paperid\":null,\"PeriodicalName\":\"Family practice\",\"FirstCategoryId\":\"3\",\"ListUrlMain\":\"https://doi.org/10.1093/fampra/cmae063\",\"RegionNum\":4,\"RegionCategory\":\"医学\",\"ArticlePicture\":[],\"TitleCN\":null,\"AbstractTextCN\":null,\"PMCID\":null,\"EPubDate\":\"\",\"PubModel\":\"\",\"JCR\":\"Q1\",\"JCRName\":\"MEDICINE, GENERAL & INTERNAL\",\"Score\":null,\"Total\":0}","platform":"Semanticscholar","paperid":null,"PeriodicalName":"Family practice","FirstCategoryId":"3","ListUrlMain":"https://doi.org/10.1093/fampra/cmae063","RegionNum":4,"RegionCategory":"医学","ArticlePicture":[],"TitleCN":null,"AbstractTextCN":null,"PMCID":null,"EPubDate":"","PubModel":"","JCR":"Q1","JCRName":"MEDICINE, GENERAL & INTERNAL","Score":null,"Total":0}
引用次数: 0

摘要

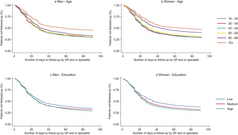
背景:指南建议在两周内对开始接受药物治疗的抑郁症患者进行随访。关于全科医生(GPs)的随访如何随患者的社会人口特征而变化,目前还缺乏相关知识:目的:描述全科医生和心理保健专家在开始药物治疗后 3 个月内对男性和女性抑郁症患者的随访情况。此外,研究随访是否随患者的年龄和教育程度而变化:方法:基于登记的队列研究,包括挪威所有年龄≥18岁、2014年新发抑郁症并在确诊后12个月内开始服用抗抑郁药物的患者。患者的年龄和受教育程度为暴露因子。结果为首次处方后90天内由全科医生和/或心理保健专家进行的随访,以及与全科医生进行的谈话治疗。采用 Cox 比例危险模型来估算进行后续联系的可能性。对数二项式回归分析用于探讨与全科医生进行谈话治疗的可能性。卡普兰-梅耶生存曲线显示了首次接触的时间:研究对象包括 17 000 名患者,平均年龄 45.7 岁,60.6% 为女性。只有 27.8% 的患者在首次配药后 2 周内接受了全科医生和/或专科医生的随访,67.1% 的患者在 90 天内接受了随访。年龄较大或受教育程度较低的男性和女性比年龄较小或受教育程度较高的男性和女性获得的联系更少、更晚:结论:年龄和教育水平的差异与开始接受药物治疗的抑郁症患者的随访有关。这可能表明,全科医生在开具抗抑郁药物处方时,应考虑到抑郁症护理中不必要的差异。
本文章由计算机程序翻译,如有差异,请以英文原文为准。

Variation in general practitioners' follow-up of depressed patients starting antidepressant medication: a register-based cohort study.

Variation in general practitioners' follow-up of depressed patients starting antidepressant medication: a register-based cohort study.

Background: Guidelines recommend follow-up within 2 weeks for patients starting medication for depression. Knowledge is lacking about how general practitioners' (GPs) follow-up varies with patients' sociodemographic characteristics.

Objective: To describe follow-up by GP and specialist in mental healthcare provided to men and women with depression within 3 months of starting drug therapy. Furthermore, to examine whether follow-up varied according to patients' age and education.

Methods: Registry-based cohort study comprising all patients aged ≥18 years in Norway with a new depression episode in 2014 who started on antidepressants within 12 months from diagnosis. Patients' age and educational level were the exposures. Outcomes were follow-up by GP and/or mental healthcare specialist, and talking therapy with GP, within 90 days of first prescription. Cox proportional hazard models were used to estimate the likelihood of having follow-up contacts. Log binomial regression analysis was performed to explore the likelihood of having talking therapy with a GP. Time to first contact was illustrated by Kaplan-Meier survival curves.

Results: The study population comprised 17 000 patients, mean age 45.7 years, 60.6% women. Only 27.8% of the patients were followed up by GP and/or specialist within 2 weeks of the first drug dispensing, 67.1% within 90 days. Older or less educated men and women received less and later contacts than the younger or more highly educated.

Conclusions: Differences in age and educational level were associated with follow-up of depressed patients who started medication. This may indicate unwarranted variation in depression care that GPs should consider when prescribing antidepressants.

求助全文
通过发布文献求助,成功后即可免费获取论文全文。 去求助
来源期刊
Family practice
Family practice 医学-医学:内科
CiteScore
4.30
自引率
9.10%
发文量
144
审稿时长
4-8 weeks
期刊介绍: Family Practice is an international journal aimed at practitioners, teachers, and researchers in the fields of family medicine, general practice, and primary care in both developed and developing countries. Family Practice offers its readership an international view of the problems and preoccupations in the field, while providing a medium of instruction and exploration. The journal''s range and content covers such areas as health care delivery, epidemiology, public health, and clinical case studies. The journal aims to be interdisciplinary and contributions from other disciplines of medicine and social science are always welcomed.
×
引用
GB/T 7714-2015
复制
MLA
复制
APA
复制
导出至
BibTeX EndNote RefMan NoteFirst NoteExpress
×
提示
您的信息不完整,为了账户安全,请先补充。
现在去补充
×
提示
您因"违规操作"
具体请查看互助需知
我知道了
×
提示
确定
请完成安全验证×
copy
已复制链接
快去分享给好友吧!
我知道了
右上角分享
点击右上角分享
0
联系我们:info@booksci.cn Book学术提供免费学术资源搜索服务,方便国内外学者检索中英文文献。致力于提供最便捷和优质的服务体验。 Copyright © 2023 布克学术 All rights reserved.
京ICP备2023020795号-1
ghs 京公网安备 11010802042870号
Book学术文献互助
Book学术文献互助群
群 号:604180095
Book学术官方微信