在模拟微重力环境中系统筛选 42 株耐万古霉素肠球菌的耐药性、生物膜和干燥性。

IF 4.1 1区 物理与天体物理 Q1 MULTIDISCIPLINARY SCIENCES
Franca Arndt, Katharina Siems, Sarah V Walker, Noelle C Bryan, Stefan Leuko, Ralf Moeller, Alessa L Boschert
{"title":"在模拟微重力环境中系统筛选 42 株耐万古霉素肠球菌的耐药性、生物膜和干燥性。","authors":"Franca Arndt, Katharina Siems, Sarah V Walker, Noelle C Bryan, Stefan Leuko, Ralf Moeller, Alessa L Boschert","doi":"10.1038/s41526-024-00447-8","DOIUrl":null,"url":null,"abstract":"<p><p>Vancomycin-resistant Enterococcus faecium (VRE) presents significant challenges in healthcare, particularly for hospitalized and immunocompromised patients, including astronauts with dysregulated immune function. We investigated 42 clinical E. faecium isolates in simulated microgravity (sim. µg) using a 2-D Clinostat, with standard gravity conditions (1 g) as a control. Isolates were tested against 22 antibiotics and characterized for biofilm formation and desiccation tolerance. Results showed varied responses in minimum inhibitory concentration (MIC) values for seven antibiotics after sim. µg exposure. Additionally, 55% of isolates showed a trend of increased biofilm production, and 59% improved desiccation tolerance. This investigation provides initial insights into E. faecium's changes in response to simulated spaceflight, revealing shifts in antibiotic resistance, biofilm formation, and desiccation tolerance. The observed adaptability emphasizes the need to further understand VRE's resilience to microgravity, which is crucial for preventing infections and ensuring crew health on future long-duration space missions.</p>","PeriodicalId":54263,"journal":{"name":"npj Microgravity","volume":"10 1","pages":"103"},"PeriodicalIF":4.1000,"publicationDate":"2024-11-13","publicationTypes":"Journal Article","fieldsOfStudy":null,"isOpenAccess":false,"openAccessPdf":"https://www.ncbi.nlm.nih.gov/pmc/articles/PMC11561132/pdf/","citationCount":"0","resultStr":"{\"title\":\"Systematic screening of 42 vancomycin-resistant Enterococcus faecium strains for resistance, biofilm, and desiccation in simulated microgravity.\",\"authors\":\"Franca Arndt, Katharina Siems, Sarah V Walker, Noelle C Bryan, Stefan Leuko, Ralf Moeller, Alessa L Boschert\",\"doi\":\"10.1038/s41526-024-00447-8\",\"DOIUrl\":null,\"url\":null,\"abstract\":\"<p><p>Vancomycin-resistant Enterococcus faecium (VRE) presents significant challenges in healthcare, particularly for hospitalized and immunocompromised patients, including astronauts with dysregulated immune function. We investigated 42 clinical E. faecium isolates in simulated microgravity (sim. µg) using a 2-D Clinostat, with standard gravity conditions (1 g) as a control. Isolates were tested against 22 antibiotics and characterized for biofilm formation and desiccation tolerance. Results showed varied responses in minimum inhibitory concentration (MIC) values for seven antibiotics after sim. µg exposure. Additionally, 55% of isolates showed a trend of increased biofilm production, and 59% improved desiccation tolerance. This investigation provides initial insights into E. faecium's changes in response to simulated spaceflight, revealing shifts in antibiotic resistance, biofilm formation, and desiccation tolerance. The observed adaptability emphasizes the need to further understand VRE's resilience to microgravity, which is crucial for preventing infections and ensuring crew health on future long-duration space missions.</p>\",\"PeriodicalId\":54263,\"journal\":{\"name\":\"npj Microgravity\",\"volume\":\"10 1\",\"pages\":\"103\"},\"PeriodicalIF\":4.1000,\"publicationDate\":\"2024-11-13\",\"publicationTypes\":\"Journal Article\",\"fieldsOfStudy\":null,\"isOpenAccess\":false,\"openAccessPdf\":\"https://www.ncbi.nlm.nih.gov/pmc/articles/PMC11561132/pdf/\",\"citationCount\":\"0\",\"resultStr\":null,\"platform\":\"Semanticscholar\",\"paperid\":null,\"PeriodicalName\":\"npj Microgravity\",\"FirstCategoryId\":\"1085\",\"ListUrlMain\":\"https://doi.org/10.1038/s41526-024-00447-8\",\"RegionNum\":1,\"RegionCategory\":\"物理与天体物理\",\"ArticlePicture\":[],\"TitleCN\":null,\"AbstractTextCN\":null,\"PMCID\":null,\"EPubDate\":\"\",\"PubModel\":\"\",\"JCR\":\"Q1\",\"JCRName\":\"MULTIDISCIPLINARY SCIENCES\",\"Score\":null,\"Total\":0}","platform":"Semanticscholar","paperid":null,"PeriodicalName":"npj Microgravity","FirstCategoryId":"1085","ListUrlMain":"https://doi.org/10.1038/s41526-024-00447-8","RegionNum":1,"RegionCategory":"物理与天体物理","ArticlePicture":[],"TitleCN":null,"AbstractTextCN":null,"PMCID":null,"EPubDate":"","PubModel":"","JCR":"Q1","JCRName":"MULTIDISCIPLINARY SCIENCES","Score":null,"Total":0}
引用次数: 0

摘要

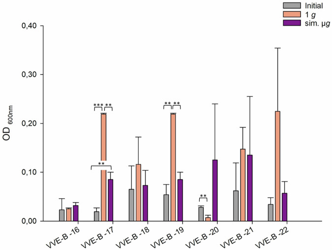
耐万古霉素粪肠球菌(VRE)给医疗保健带来了巨大挑战,尤其是对住院病人和免疫功能低下的病人,包括免疫功能失调的宇航员。我们使用 2-D Clinostat 在模拟微重力(sim. µg)条件下研究了 42 株临床粪肠球菌分离物,并以标准重力条件(1g)作为对照。分离菌针对 22 种抗生素进行了测试,并对生物膜的形成和干燥耐受性进行了鉴定。结果表明,七种抗生素的最低抑菌浓度 (MIC) 值在 sim.微克。此外,55% 的分离物显示出生物膜生成增加的趋势,59% 的分离物提高了干燥耐受性。这项调查初步揭示了粪肠球菌对模拟太空飞行的反应变化,揭示了抗生素耐药性、生物膜形成和干燥耐受性的变化。观察到的适应性强调了进一步了解 VRE 对微重力的适应性的必要性,这对于在未来的长期太空任务中预防感染和确保乘员健康至关重要。
本文章由计算机程序翻译,如有差异,请以英文原文为准。

Systematic screening of 42 vancomycin-resistant Enterococcus faecium strains for resistance, biofilm, and desiccation in simulated microgravity.

Systematic screening of 42 vancomycin-resistant Enterococcus faecium strains for resistance, biofilm, and desiccation in simulated microgravity.

Systematic screening of 42 vancomycin-resistant Enterococcus faecium strains for resistance, biofilm, and desiccation in simulated microgravity.

Systematic screening of 42 vancomycin-resistant Enterococcus faecium strains for resistance, biofilm, and desiccation in simulated microgravity.

Vancomycin-resistant Enterococcus faecium (VRE) presents significant challenges in healthcare, particularly for hospitalized and immunocompromised patients, including astronauts with dysregulated immune function. We investigated 42 clinical E. faecium isolates in simulated microgravity (sim. µg) using a 2-D Clinostat, with standard gravity conditions (1 g) as a control. Isolates were tested against 22 antibiotics and characterized for biofilm formation and desiccation tolerance. Results showed varied responses in minimum inhibitory concentration (MIC) values for seven antibiotics after sim. µg exposure. Additionally, 55% of isolates showed a trend of increased biofilm production, and 59% improved desiccation tolerance. This investigation provides initial insights into E. faecium's changes in response to simulated spaceflight, revealing shifts in antibiotic resistance, biofilm formation, and desiccation tolerance. The observed adaptability emphasizes the need to further understand VRE's resilience to microgravity, which is crucial for preventing infections and ensuring crew health on future long-duration space missions.

求助全文
通过发布文献求助,成功后即可免费获取论文全文。 去求助
来源期刊
npj Microgravity
npj Microgravity Physics and Astronomy-Physics and Astronomy (miscellaneous)
CiteScore
7.30
自引率
7.80%
发文量
50
审稿时长
9 weeks
期刊介绍: A new open access, online-only, multidisciplinary research journal, npj Microgravity is dedicated to publishing the most important scientific advances in the life sciences, physical sciences, and engineering fields that are facilitated by spaceflight and analogue platforms.
×
引用
GB/T 7714-2015
复制
MLA
复制
APA
复制
导出至
BibTeX EndNote RefMan NoteFirst NoteExpress
×
提示
您的信息不完整,为了账户安全,请先补充。
现在去补充
×
提示
您因"违规操作"
具体请查看互助需知
我知道了
×
提示
确定
请完成安全验证×
copy
已复制链接
快去分享给好友吧!
我知道了
右上角分享
点击右上角分享
0
联系我们:info@booksci.cn Book学术提供免费学术资源搜索服务,方便国内外学者检索中英文文献。致力于提供最便捷和优质的服务体验。 Copyright © 2023 布克学术 All rights reserved.
京ICP备2023020795号-1
ghs 京公网安备 11010802042870号
Book学术文献互助
Book学术文献互助群
群 号:604180095
Book学术官方微信