天主教僧侣的死亡率不存在社会经济不平等:为 "根本原因理论 "提供证据的准实验。

IF 3.6 1区 医学 Q1 PSYCHOLOGY, SOCIAL
Journal of Health and Social Behavior Pub Date : 2025-09-01 Epub Date: 2024-11-14 DOI:10.1177/00221465241291847
Alina Schmitz, Patrick Lazarevič, Marc Luy
{"title":"天主教僧侣的死亡率不存在社会经济不平等:为 \"根本原因理论 \"提供证据的准实验。","authors":"Alina Schmitz, Patrick Lazarevič, Marc Luy","doi":"10.1177/00221465241291847","DOIUrl":null,"url":null,"abstract":"<p><p>We propose a novel approach to test the fundamental cause theory (FCT) by analyzing the association between socioeconomic status (SES), as measured by the order titles \"brothers\" and \"padres,\" and mortality in 2,421 German Catholic monks born between 1840 and 1959. This quasi-experiment allows us to study the effect of SES on mortality in a population with largely standardized living conditions. Mortality analyses based on Kaplan-Meier product limit estimation show that there were no statistically significant survival differences between the high and lower SES monks. This holds for all birth cohorts, indicating that monastic life offers health protection for monks with a lower SES regardless the disease patterns, causes of death, or main risk factors in a given period. These findings support the FCT: Whereas SES-related differences in mortality are a widely confirmed finding in the general population, a context with largely standardized conditions eliminates the importance of SES-related resources.</p>","PeriodicalId":51349,"journal":{"name":"Journal of Health and Social Behavior","volume":" ","pages":"379-392"},"PeriodicalIF":3.6000,"publicationDate":"2025-09-01","publicationTypes":"Journal Article","fieldsOfStudy":null,"isOpenAccess":false,"openAccessPdf":"https://www.ncbi.nlm.nih.gov/pmc/articles/PMC12394762/pdf/","citationCount":"0","resultStr":"{\"title\":\"No Socioeconomic Inequalities in Mortality among Catholic Monks: A Quasi-Experiment Providing Evidence for the Fundamental Cause Theory.\",\"authors\":\"Alina Schmitz, Patrick Lazarevič, Marc Luy\",\"doi\":\"10.1177/00221465241291847\",\"DOIUrl\":null,\"url\":null,\"abstract\":\"<p><p>We propose a novel approach to test the fundamental cause theory (FCT) by analyzing the association between socioeconomic status (SES), as measured by the order titles \\\"brothers\\\" and \\\"padres,\\\" and mortality in 2,421 German Catholic monks born between 1840 and 1959. This quasi-experiment allows us to study the effect of SES on mortality in a population with largely standardized living conditions. Mortality analyses based on Kaplan-Meier product limit estimation show that there were no statistically significant survival differences between the high and lower SES monks. This holds for all birth cohorts, indicating that monastic life offers health protection for monks with a lower SES regardless the disease patterns, causes of death, or main risk factors in a given period. These findings support the FCT: Whereas SES-related differences in mortality are a widely confirmed finding in the general population, a context with largely standardized conditions eliminates the importance of SES-related resources.</p>\",\"PeriodicalId\":51349,\"journal\":{\"name\":\"Journal of Health and Social Behavior\",\"volume\":\" \",\"pages\":\"379-392\"},\"PeriodicalIF\":3.6000,\"publicationDate\":\"2025-09-01\",\"publicationTypes\":\"Journal Article\",\"fieldsOfStudy\":null,\"isOpenAccess\":false,\"openAccessPdf\":\"https://www.ncbi.nlm.nih.gov/pmc/articles/PMC12394762/pdf/\",\"citationCount\":\"0\",\"resultStr\":null,\"platform\":\"Semanticscholar\",\"paperid\":null,\"PeriodicalName\":\"Journal of Health and Social Behavior\",\"FirstCategoryId\":\"3\",\"ListUrlMain\":\"https://doi.org/10.1177/00221465241291847\",\"RegionNum\":1,\"RegionCategory\":\"医学\",\"ArticlePicture\":[],\"TitleCN\":null,\"AbstractTextCN\":null,\"PMCID\":null,\"EPubDate\":\"2024/11/14 0:00:00\",\"PubModel\":\"Epub\",\"JCR\":\"Q1\",\"JCRName\":\"PSYCHOLOGY, SOCIAL\",\"Score\":null,\"Total\":0}","platform":"Semanticscholar","paperid":null,"PeriodicalName":"Journal of Health and Social Behavior","FirstCategoryId":"3","ListUrlMain":"https://doi.org/10.1177/00221465241291847","RegionNum":1,"RegionCategory":"医学","ArticlePicture":[],"TitleCN":null,"AbstractTextCN":null,"PMCID":null,"EPubDate":"2024/11/14 0:00:00","PubModel":"Epub","JCR":"Q1","JCRName":"PSYCHOLOGY, SOCIAL","Score":null,"Total":0}
引用次数: 0

摘要

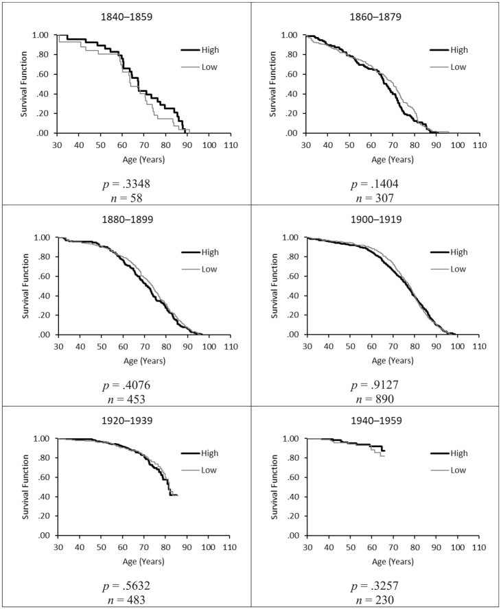
我们提出了一种检验根本原因理论(FCT)的新方法,即分析社会经济地位(SES)(以 "兄弟 "和 "父亲 "的修道士头衔来衡量)与 1840 年至 1959 年间出生的 2421 名德国天主教修道士的死亡率之间的关系。通过这一准实验,我们可以在生活条件基本标准化的人群中研究社会经济地位对死亡率的影响。基于 Kaplan-Meier 乘积极限估计法的死亡率分析表明,在统计意义上,社会经济地位高的僧侣和社会经济地位低的僧侣之间没有显著的生存差异。这一点适用于所有出生组群,表明无论疾病模式、死亡原因或特定时期的主要风险因素如何,寺院生活都能为社会经济地位较低的僧侣提供健康保护。这些发现支持了 "僧侣生活 "理论:与社会经济地位相关的死亡率差异在普通人群中已被广泛证实,而在基本标准化的条件下,与社会经济地位相关的资源的重要性就不复存在了。
本文章由计算机程序翻译,如有差异,请以英文原文为准。

No Socioeconomic Inequalities in Mortality among Catholic Monks: A Quasi-Experiment Providing Evidence for the Fundamental Cause Theory.

No Socioeconomic Inequalities in Mortality among Catholic Monks: A Quasi-Experiment Providing Evidence for the Fundamental Cause Theory.

No Socioeconomic Inequalities in Mortality among Catholic Monks: A Quasi-Experiment Providing Evidence for the Fundamental Cause Theory.

No Socioeconomic Inequalities in Mortality among Catholic Monks: A Quasi-Experiment Providing Evidence for the Fundamental Cause Theory.

We propose a novel approach to test the fundamental cause theory (FCT) by analyzing the association between socioeconomic status (SES), as measured by the order titles "brothers" and "padres," and mortality in 2,421 German Catholic monks born between 1840 and 1959. This quasi-experiment allows us to study the effect of SES on mortality in a population with largely standardized living conditions. Mortality analyses based on Kaplan-Meier product limit estimation show that there were no statistically significant survival differences between the high and lower SES monks. This holds for all birth cohorts, indicating that monastic life offers health protection for monks with a lower SES regardless the disease patterns, causes of death, or main risk factors in a given period. These findings support the FCT: Whereas SES-related differences in mortality are a widely confirmed finding in the general population, a context with largely standardized conditions eliminates the importance of SES-related resources.

求助全文
通过发布文献求助,成功后即可免费获取论文全文。 去求助
来源期刊
CiteScore
6.50
自引率
4.00%
发文量
36
期刊介绍: Journal of Health and Social Behavior is a medical sociology journal that publishes empirical and theoretical articles that apply sociological concepts and methods to the understanding of health and illness and the organization of medicine and health care. Its editorial policy favors manuscripts that are grounded in important theoretical issues in medical sociology or the sociology of mental health and that advance theoretical understanding of the processes by which social factors and human health are inter-related.
×
引用
GB/T 7714-2015
复制
MLA
复制
APA
复制
导出至
BibTeX EndNote RefMan NoteFirst NoteExpress
×
提示
您的信息不完整,为了账户安全,请先补充。
现在去补充
×
提示
您因"违规操作"
具体请查看互助需知
我知道了
×
提示
确定
请完成安全验证×
copy
已复制链接
快去分享给好友吧!
我知道了
右上角分享
点击右上角分享
0
联系我们:info@booksci.cn Book学术提供免费学术资源搜索服务,方便国内外学者检索中英文文献。致力于提供最便捷和优质的服务体验。 Copyright © 2023 布克学术 All rights reserved.
京ICP备2023020795号-1
ghs 京公网安备 11010802042870号
Book学术文献互助
Book学术文献互助群
群 号:604180095
Book学术官方微信