听障儿童使用助听器的一致性、言语感知和词汇量。

IF 0.8 Q4 AUDIOLOGY & SPEECH-LANGUAGE PATHOLOGY
CoDAS Pub Date : 2024-11-08 eCollection Date: 2024-01-01 DOI:10.1590/2317-1782/20242024017pt
Marina Marques Dos Santos, Regiane Silva Pereira, Beatriz de Castro Andrade Mendes, Beatriz Calvacanti de Albuquerque Caiuby Novaes
{"title":"听障儿童使用助听器的一致性、言语感知和词汇量。","authors":"Marina Marques Dos Santos, Regiane Silva Pereira, Beatriz de Castro Andrade Mendes, Beatriz Calvacanti de Albuquerque Caiuby Novaes","doi":"10.1590/2317-1782/20242024017pt","DOIUrl":null,"url":null,"abstract":"<p><strong>Purpose: </strong>To verify the relationship between consistency in the use of hearing aids, auditory speech perception and vocabulary in children using hearing aids.</p><p><strong>Methods: </strong>The population of Pereira's (2023) study was resumed and the database was analyzed containing information about the Speech Intelligibility Index (SII) for input sounds of 65 dBSPL (with or without hearing aids) of 29 children with neurosensorial hearing loss and hearing aid users bilaterally, with oral language, the number of hours per day of use of the device, four-tone average, results of the repetition of words with or without meaning in 65 dBSPL, Peabody Picture Vocabulary Test - PPVT. The consistency of the use was analyzed through measuring the auditory dosage which takes into account the average of use hours and the audibility with or without the device.</p><p><strong>Results: </strong>The PPVT has a positive correlation with the SII with the device at 65 dBSPL. The four-tone average has a significant negative correlation with the SII in both conditions; and the same happens with the hours on daily usage. The dosage has a significant positive correlation with the SII and negative with the PTA.</p><p><strong>Conclusion: </strong>The receptive vocabulary tends to grow alongside with the audibility dosage increment. Results suggest that listening experience, involving the audibility with or without the device and the consistency of the device daily use must be considered throughout the whole process of the rehabilitation.</p>","PeriodicalId":46547,"journal":{"name":"CoDAS","volume":"36 6","pages":"e20240017"},"PeriodicalIF":0.8000,"publicationDate":"2024-11-08","publicationTypes":"Journal Article","fieldsOfStudy":null,"isOpenAccess":false,"openAccessPdf":"https://www.ncbi.nlm.nih.gov/pmc/articles/PMC11610596/pdf/","citationCount":"0","resultStr":"{\"title\":\"Consistency of hearing aid use, speech perception and vocabulary in hearing impaired children.\",\"authors\":\"Marina Marques Dos Santos, Regiane Silva Pereira, Beatriz de Castro Andrade Mendes, Beatriz Calvacanti de Albuquerque Caiuby Novaes\",\"doi\":\"10.1590/2317-1782/20242024017pt\",\"DOIUrl\":null,\"url\":null,\"abstract\":\"<p><strong>Purpose: </strong>To verify the relationship between consistency in the use of hearing aids, auditory speech perception and vocabulary in children using hearing aids.</p><p><strong>Methods: </strong>The population of Pereira's (2023) study was resumed and the database was analyzed containing information about the Speech Intelligibility Index (SII) for input sounds of 65 dBSPL (with or without hearing aids) of 29 children with neurosensorial hearing loss and hearing aid users bilaterally, with oral language, the number of hours per day of use of the device, four-tone average, results of the repetition of words with or without meaning in 65 dBSPL, Peabody Picture Vocabulary Test - PPVT. The consistency of the use was analyzed through measuring the auditory dosage which takes into account the average of use hours and the audibility with or without the device.</p><p><strong>Results: </strong>The PPVT has a positive correlation with the SII with the device at 65 dBSPL. The four-tone average has a significant negative correlation with the SII in both conditions; and the same happens with the hours on daily usage. The dosage has a significant positive correlation with the SII and negative with the PTA.</p><p><strong>Conclusion: </strong>The receptive vocabulary tends to grow alongside with the audibility dosage increment. Results suggest that listening experience, involving the audibility with or without the device and the consistency of the device daily use must be considered throughout the whole process of the rehabilitation.</p>\",\"PeriodicalId\":46547,\"journal\":{\"name\":\"CoDAS\",\"volume\":\"36 6\",\"pages\":\"e20240017\"},\"PeriodicalIF\":0.8000,\"publicationDate\":\"2024-11-08\",\"publicationTypes\":\"Journal Article\",\"fieldsOfStudy\":null,\"isOpenAccess\":false,\"openAccessPdf\":\"https://www.ncbi.nlm.nih.gov/pmc/articles/PMC11610596/pdf/\",\"citationCount\":\"0\",\"resultStr\":null,\"platform\":\"Semanticscholar\",\"paperid\":null,\"PeriodicalName\":\"CoDAS\",\"FirstCategoryId\":\"1085\",\"ListUrlMain\":\"https://doi.org/10.1590/2317-1782/20242024017pt\",\"RegionNum\":0,\"RegionCategory\":null,\"ArticlePicture\":[],\"TitleCN\":null,\"AbstractTextCN\":null,\"PMCID\":null,\"EPubDate\":\"2024/1/1 0:00:00\",\"PubModel\":\"eCollection\",\"JCR\":\"Q4\",\"JCRName\":\"AUDIOLOGY & SPEECH-LANGUAGE PATHOLOGY\",\"Score\":null,\"Total\":0}","platform":"Semanticscholar","paperid":null,"PeriodicalName":"CoDAS","FirstCategoryId":"1085","ListUrlMain":"https://doi.org/10.1590/2317-1782/20242024017pt","RegionNum":0,"RegionCategory":null,"ArticlePicture":[],"TitleCN":null,"AbstractTextCN":null,"PMCID":null,"EPubDate":"2024/1/1 0:00:00","PubModel":"eCollection","JCR":"Q4","JCRName":"AUDIOLOGY & SPEECH-LANGUAGE PATHOLOGY","Score":null,"Total":0}
引用次数: 0

摘要

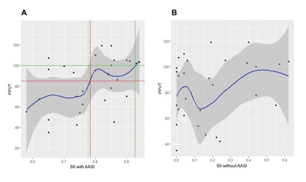
目的:验证使用助听器的儿童使用助听器的一致性、听觉言语感知和词汇量之间的关系:恢复了佩雷拉(2023 年)的研究对象,并对数据库进行了分析,其中包含 29 名神经性听力损失儿童和双侧助听器使用者的 65 dBSPL(使用或不使用助听器)输入声音的言语清晰度指数(SII)、口语、每天使用助听器的小时数、四音平均值、65 dBSPL 有意义或无意义单词的重复结果、皮博迪图画词汇测试(PPVT)等信息。通过测量听觉剂量分析了使用的一致性,听觉剂量考虑了平均使用时长和使用或不使用设备时的可听度:结果:PPVT 与使用 65 dBSPL 设备时的 SII 呈正相关。在这两种情况下,四音平均值与 SII 都呈显著负相关;每日使用时长也是如此。用量与 SII 呈显著正相关,而与 PTA 呈负相关:结论:接受词汇量往往随着听力剂量的增加而增加。结果表明,在整个康复过程中,必须考虑听力体验,包括使用或不使用听力设备,以及每天使用听力设备的一致性。
本文章由计算机程序翻译,如有差异,请以英文原文为准。

Consistency of hearing aid use, speech perception and vocabulary in hearing impaired children.

Consistency of hearing aid use, speech perception and vocabulary in hearing impaired children.

Consistency of hearing aid use, speech perception and vocabulary in hearing impaired children.

Consistency of hearing aid use, speech perception and vocabulary in hearing impaired children.

Purpose: To verify the relationship between consistency in the use of hearing aids, auditory speech perception and vocabulary in children using hearing aids.

Methods: The population of Pereira's (2023) study was resumed and the database was analyzed containing information about the Speech Intelligibility Index (SII) for input sounds of 65 dBSPL (with or without hearing aids) of 29 children with neurosensorial hearing loss and hearing aid users bilaterally, with oral language, the number of hours per day of use of the device, four-tone average, results of the repetition of words with or without meaning in 65 dBSPL, Peabody Picture Vocabulary Test - PPVT. The consistency of the use was analyzed through measuring the auditory dosage which takes into account the average of use hours and the audibility with or without the device.

Results: The PPVT has a positive correlation with the SII with the device at 65 dBSPL. The four-tone average has a significant negative correlation with the SII in both conditions; and the same happens with the hours on daily usage. The dosage has a significant positive correlation with the SII and negative with the PTA.

Conclusion: The receptive vocabulary tends to grow alongside with the audibility dosage increment. Results suggest that listening experience, involving the audibility with or without the device and the consistency of the device daily use must be considered throughout the whole process of the rehabilitation.

求助全文
通过发布文献求助,成功后即可免费获取论文全文。 去求助
来源期刊
CoDAS
CoDAS AUDIOLOGY & SPEECH-LANGUAGE PATHOLOGY-
CiteScore
0.90
自引率
12.50%
发文量
103
审稿时长
30 weeks
×
引用
GB/T 7714-2015
复制
MLA
复制
APA
复制
导出至
BibTeX EndNote RefMan NoteFirst NoteExpress
×
提示
您的信息不完整,为了账户安全,请先补充。
现在去补充
×
提示
您因"违规操作"
具体请查看互助需知
我知道了
×
提示
确定
请完成安全验证×
copy
已复制链接
快去分享给好友吧!
我知道了
右上角分享
点击右上角分享
0
联系我们:info@booksci.cn Book学术提供免费学术资源搜索服务,方便国内外学者检索中英文文献。致力于提供最便捷和优质的服务体验。 Copyright © 2023 布克学术 All rights reserved.
京ICP备2023020795号-1
ghs 京公网安备 11010802042870号
Book学术文献互助
Book学术文献互助群
群 号:604180095
Book学术官方微信