意大利接受曲普瑞林治疗的前列腺癌患者的生存率、治疗时间和费用:一项行政数据库研究。

IF 0.5 Q4 HEALTH CARE SCIENCES & SERVICES
Global & Regional Health Technology Assessment Pub Date : 2024-11-11 eCollection Date: 2024-01-01 DOI:10.33393/grhta.2024.3055
Orazio Caffo, Gaetano Facchini, Luca Degli Esposti, Valentina Acciai, Giorgio Mauri, Paola Mazzanti, Giuseppe Fornarini
{"title":"意大利接受曲普瑞林治疗的前列腺癌患者的生存率、治疗时间和费用:一项行政数据库研究。","authors":"Orazio Caffo, Gaetano Facchini, Luca Degli Esposti, Valentina Acciai, Giorgio Mauri, Paola Mazzanti, Giuseppe Fornarini","doi":"10.33393/grhta.2024.3055","DOIUrl":null,"url":null,"abstract":"<p><strong>Background: </strong>Several data support the efficacy/effectiveness, safety and favorable impact on quality of life of triptorelin treatment in patients with prostate cancer. However, little evidence is available concerning triptorelin use in the long term.</p><p><strong>Methods: </strong>We analyzed data on triptorelin treatment in patients with prostate cancer in an integrated Italian administrative database, covering around 6 million health-assisted subjects throughout the country. Patients with at least one prescription for triptorelin in the period 2010-2020 and with no evidence of metastasis were included and followed up until 2021. Overall survival (OS) and duration of treatment were analyzed using Kaplan-Meier curves, starting from the date of first prescription.</p><p><strong>Results: </strong>The cohort included a total of 3,411 patients (mean age: 76.8 ± 8.7 years), of whom 1,326 (38.9%) were treated with triptorelin only and 2,085 (61.1%) with triptorelin combined with an anti-androgen. Overall, 847 (24.8%) patients with prostate cancer died and 1,037 (30.4%) had a treatment switch during the follow-up period, and both the median OS and median duration of treatment were not reached in both groups. The mean annual total cost per patient was estimated as 5,574 €, with almost half of the costs related to medication expenses (2,737 €).</p><p><strong>Conclusions: </strong>We found a long survival and duration of triptorelin treatment in this population of Italian patients with prostate cancer. This study with a long follow-up period further highlights the usefulness of healthcare utilization databases to integrate results obtained from clinical studies with those from everyday clinical practice.</p>","PeriodicalId":12627,"journal":{"name":"Global & Regional Health Technology Assessment","volume":"11 ","pages":"207-213"},"PeriodicalIF":0.5000,"publicationDate":"2024-11-11","publicationTypes":"Journal Article","fieldsOfStudy":null,"isOpenAccess":false,"openAccessPdf":"https://www.ncbi.nlm.nih.gov/pmc/articles/PMC11555663/pdf/","citationCount":"0","resultStr":"{\"title\":\"Survival, treatment duration and costs of patients with prostate cancer treated with triptorelin in Italy: a study of administrative databases.\",\"authors\":\"Orazio Caffo, Gaetano Facchini, Luca Degli Esposti, Valentina Acciai, Giorgio Mauri, Paola Mazzanti, Giuseppe Fornarini\",\"doi\":\"10.33393/grhta.2024.3055\",\"DOIUrl\":null,\"url\":null,\"abstract\":\"<p><strong>Background: </strong>Several data support the efficacy/effectiveness, safety and favorable impact on quality of life of triptorelin treatment in patients with prostate cancer. However, little evidence is available concerning triptorelin use in the long term.</p><p><strong>Methods: </strong>We analyzed data on triptorelin treatment in patients with prostate cancer in an integrated Italian administrative database, covering around 6 million health-assisted subjects throughout the country. Patients with at least one prescription for triptorelin in the period 2010-2020 and with no evidence of metastasis were included and followed up until 2021. Overall survival (OS) and duration of treatment were analyzed using Kaplan-Meier curves, starting from the date of first prescription.</p><p><strong>Results: </strong>The cohort included a total of 3,411 patients (mean age: 76.8 ± 8.7 years), of whom 1,326 (38.9%) were treated with triptorelin only and 2,085 (61.1%) with triptorelin combined with an anti-androgen. Overall, 847 (24.8%) patients with prostate cancer died and 1,037 (30.4%) had a treatment switch during the follow-up period, and both the median OS and median duration of treatment were not reached in both groups. The mean annual total cost per patient was estimated as 5,574 €, with almost half of the costs related to medication expenses (2,737 €).</p><p><strong>Conclusions: </strong>We found a long survival and duration of triptorelin treatment in this population of Italian patients with prostate cancer. This study with a long follow-up period further highlights the usefulness of healthcare utilization databases to integrate results obtained from clinical studies with those from everyday clinical practice.</p>\",\"PeriodicalId\":12627,\"journal\":{\"name\":\"Global & Regional Health Technology Assessment\",\"volume\":\"11 \",\"pages\":\"207-213\"},\"PeriodicalIF\":0.5000,\"publicationDate\":\"2024-11-11\",\"publicationTypes\":\"Journal Article\",\"fieldsOfStudy\":null,\"isOpenAccess\":false,\"openAccessPdf\":\"https://www.ncbi.nlm.nih.gov/pmc/articles/PMC11555663/pdf/\",\"citationCount\":\"0\",\"resultStr\":null,\"platform\":\"Semanticscholar\",\"paperid\":null,\"PeriodicalName\":\"Global & Regional Health Technology Assessment\",\"FirstCategoryId\":\"1085\",\"ListUrlMain\":\"https://doi.org/10.33393/grhta.2024.3055\",\"RegionNum\":0,\"RegionCategory\":null,\"ArticlePicture\":[],\"TitleCN\":null,\"AbstractTextCN\":null,\"PMCID\":null,\"EPubDate\":\"2024/1/1 0:00:00\",\"PubModel\":\"eCollection\",\"JCR\":\"Q4\",\"JCRName\":\"HEALTH CARE SCIENCES & SERVICES\",\"Score\":null,\"Total\":0}","platform":"Semanticscholar","paperid":null,"PeriodicalName":"Global & Regional Health Technology Assessment","FirstCategoryId":"1085","ListUrlMain":"https://doi.org/10.33393/grhta.2024.3055","RegionNum":0,"RegionCategory":null,"ArticlePicture":[],"TitleCN":null,"AbstractTextCN":null,"PMCID":null,"EPubDate":"2024/1/1 0:00:00","PubModel":"eCollection","JCR":"Q4","JCRName":"HEALTH CARE SCIENCES & SERVICES","Score":null,"Total":0}
引用次数: 0

摘要

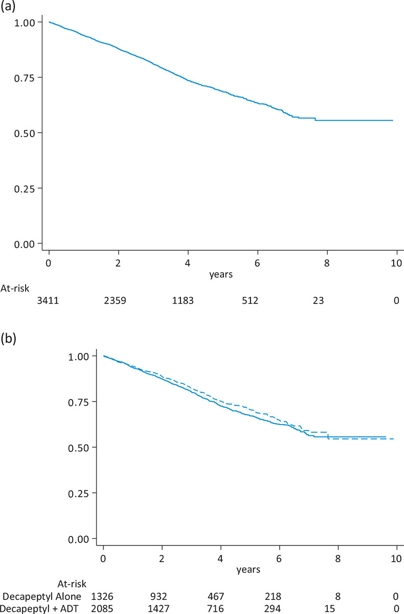
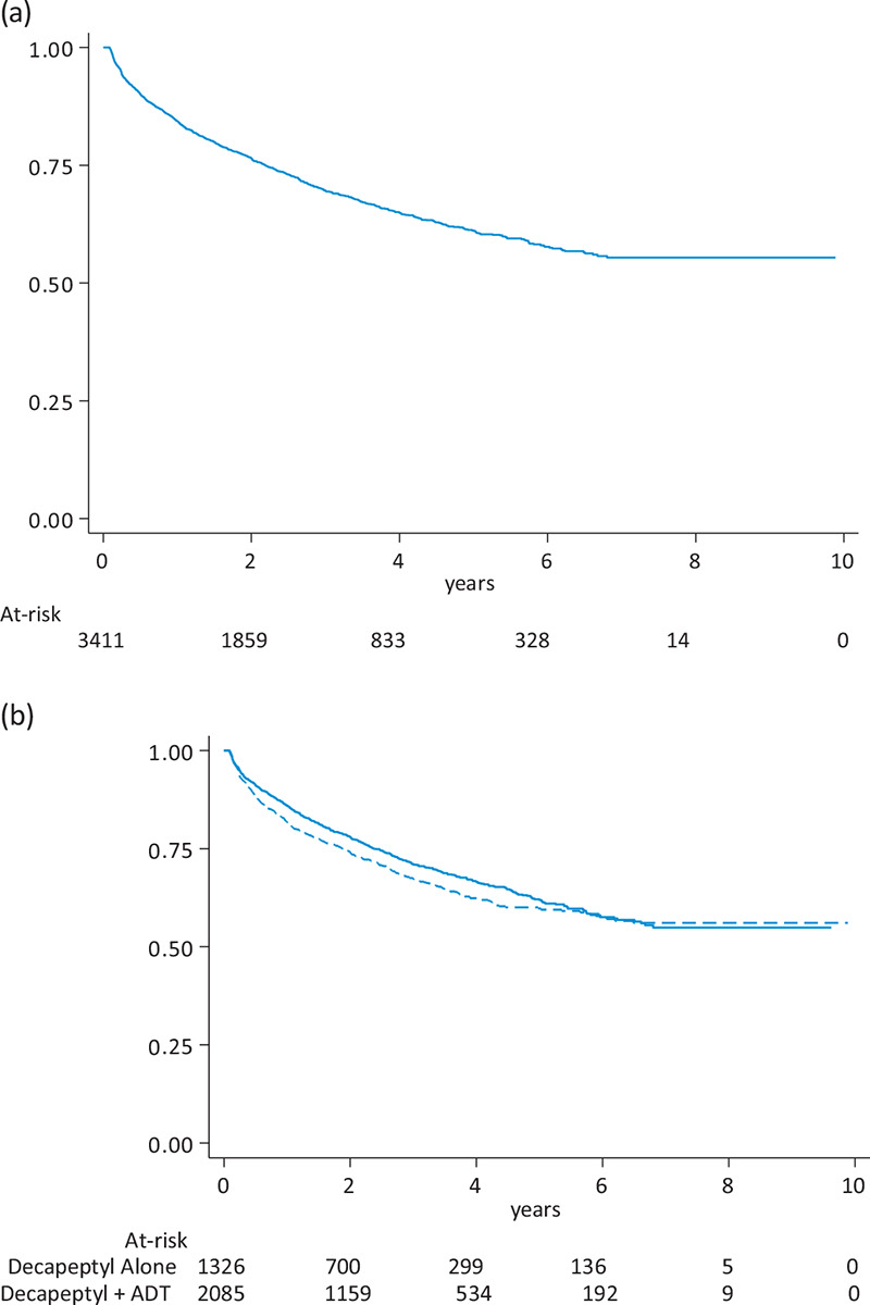
背景:一些数据支持曲普瑞林治疗前列腺癌患者的疗效、安全性和对生活质量的有利影响。然而,有关长期使用曲普瑞林的证据却很少:我们分析了意大利综合行政数据库中有关前列腺癌患者接受曲普瑞林治疗的数据,该数据库涵盖了全国约 600 万名医疗辅助对象。我们纳入了在 2010-2020 年期间至少开过一次曲普瑞林处方且无转移迹象的患者,并对其进行了随访,直至 2021 年。从首次开具处方之日起,采用卡普兰-梅耶曲线对总生存期(OS)和治疗持续时间进行分析:共纳入 3411 名患者(平均年龄:76.8 ± 8.7 岁),其中 1326 人(38.9%)仅接受了曲普瑞林治疗,2085 人(61.1%)接受了曲普瑞林联合抗雄激素治疗。在随访期间,共有 847 名(24.8%)前列腺癌患者死亡,1,037 名(30.4%)患者更换了治疗方法,两组患者的中位生存期和中位治疗时间均未达到要求。每位患者每年的平均总费用估计为 5,574 欧元,其中近一半的费用与药物支出有关(2,737 欧元):结论:我们发现,在意大利前列腺癌患者中,曲普瑞林治疗的存活期和持续时间较长。这项随访时间较长的研究进一步凸显了医疗保健利用数据库在整合临床研究结果和日常临床实践结果方面的作用。
本文章由计算机程序翻译,如有差异,请以英文原文为准。

Survival, treatment duration and costs of patients with prostate cancer treated with triptorelin in Italy: a study of administrative databases.

Survival, treatment duration and costs of patients with prostate cancer treated with triptorelin in Italy: a study of administrative databases.

Survival, treatment duration and costs of patients with prostate cancer treated with triptorelin in Italy: a study of administrative databases.

Survival, treatment duration and costs of patients with prostate cancer treated with triptorelin in Italy: a study of administrative databases.

Background: Several data support the efficacy/effectiveness, safety and favorable impact on quality of life of triptorelin treatment in patients with prostate cancer. However, little evidence is available concerning triptorelin use in the long term.

Methods: We analyzed data on triptorelin treatment in patients with prostate cancer in an integrated Italian administrative database, covering around 6 million health-assisted subjects throughout the country. Patients with at least one prescription for triptorelin in the period 2010-2020 and with no evidence of metastasis were included and followed up until 2021. Overall survival (OS) and duration of treatment were analyzed using Kaplan-Meier curves, starting from the date of first prescription.

Results: The cohort included a total of 3,411 patients (mean age: 76.8 ± 8.7 years), of whom 1,326 (38.9%) were treated with triptorelin only and 2,085 (61.1%) with triptorelin combined with an anti-androgen. Overall, 847 (24.8%) patients with prostate cancer died and 1,037 (30.4%) had a treatment switch during the follow-up period, and both the median OS and median duration of treatment were not reached in both groups. The mean annual total cost per patient was estimated as 5,574 €, with almost half of the costs related to medication expenses (2,737 €).

Conclusions: We found a long survival and duration of triptorelin treatment in this population of Italian patients with prostate cancer. This study with a long follow-up period further highlights the usefulness of healthcare utilization databases to integrate results obtained from clinical studies with those from everyday clinical practice.

求助全文
通过发布文献求助,成功后即可免费获取论文全文。 去求助
来源期刊
Global & Regional Health Technology Assessment
Global & Regional Health Technology Assessment HEALTH CARE SCIENCES & SERVICES-
CiteScore
0.80
自引率
20.00%
发文量
27
审稿时长
8 weeks
期刊介绍: Global & Regional Health Technology Assessment (GRHTA) is a peer-reviewed, open access journal which aims to promote health technology assessment and economic evaluation, enabling choices among alternative therapeutical paths or procedures with different clinical and economic outcomes. GRHTA is a unique journal having three different editorial boards who focus on their respective geographical expertise.
×
引用
GB/T 7714-2015
复制
MLA
复制
APA
复制
导出至
BibTeX EndNote RefMan NoteFirst NoteExpress
×
提示
您的信息不完整,为了账户安全,请先补充。
现在去补充
×
提示
您因"违规操作"
具体请查看互助需知
我知道了
×
提示
确定
请完成安全验证×
copy
已复制链接
快去分享给好友吧!
我知道了
右上角分享
点击右上角分享
0
联系我们:info@booksci.cn Book学术提供免费学术资源搜索服务,方便国内外学者检索中英文文献。致力于提供最便捷和优质的服务体验。 Copyright © 2023 布克学术 All rights reserved.
京ICP备2023020795号-1
ghs 京公网安备 11010802042870号
Book学术文献互助
Book学术文献互助群
群 号:604180095
Book学术官方微信