吡非尼酮对结缔组织病相关间质性肺病的实际治疗效果。

IF 3 3区 医学 Q2 RESPIRATORY SYSTEM
Xueting Yuan, Chen Yu, Shengyun Liu, Qiang Shu, Xinwang Duan, Lin Tang, Liying Peng, Shuang Zhou, Chanyuan Wu, Jiuliang Zhao, Dong Xu, Lan Song, Hui Huang, Mengtao Li, Yanhong Wang, Qian Wang, Xiaofeng Zeng
{"title":"吡非尼酮对结缔组织病相关间质性肺病的实际治疗效果。","authors":"Xueting Yuan, Chen Yu, Shengyun Liu, Qiang Shu, Xinwang Duan, Lin Tang, Liying Peng, Shuang Zhou, Chanyuan Wu, Jiuliang Zhao, Dong Xu, Lan Song, Hui Huang, Mengtao Li, Yanhong Wang, Qian Wang, Xiaofeng Zeng","doi":"10.1177/17534666241292507","DOIUrl":null,"url":null,"abstract":"<p><strong>Background: </strong>Pirfenidone (PFD) is commonly applied for antifibrotic treatment in patients with idiopathic pulmonary fibrosis but has rarely been studied in cases with connective tissue disease-associated interstitial lung diseases (CTD-ILDs).</p><p><strong>Objectives: </strong>We aimed to examine the efficacy of PFD in patients with CTD-ILD based on real-world data.</p><p><strong>Design: </strong>A retrospective cohort study.</p><p><strong>Methods: </strong>This study assessed the clinical features of CTD-ILD patients with or without a 6-month PFD treatment. A linear mixed effects model was employed to evaluate the effectiveness of PFD in alleviating lung function changes. Differences in response to PFD were analyzed based on CTD subtype, imaging classification, and pattern of pulmonary function at baseline.</p><p><strong>Results: </strong>A total of 289 patients with CTD-ILD were included, with 155 (53.6%) receiving PFD treatment and the remaining constituting the control group. Patients with the usual interstitial pneumonia (UIP) pattern were more likely to receive PFD treatment, and a relatively lower proportion of cases in the PFD group received immunosuppressive therapies compared to the control group (<i>p</i> < 0.05). At the 6-month follow-up, patients in the PFD group demonstrated a more significant improvement in forced vital capacity (FVC) and diffusion capacity for carbon monoxide (DLCO) (ΔFVC%: 2.9% vs 0.45%, <i>p</i> = 0.009; ΔDLCO%: 1.9% vs -1.1%, <i>p</i> = 0.004). In the linear mixed model analysis, there was a statistically significant group-time interaction between FVC% and DLCO% changes over time (FVC%: β = 4.52, <i>p</i> < 0.001; DLCO%: β = 4.13, <i>p</i> = 0.003). Furthermore, subgroup analysis indicated that pirfenidone may have superior therapeutic effects in patients with systemic sclerosis (SSc)-associated ILD, non-UIP pattern, and restrictive pattern of lung function at baseline.</p><p><strong>Conclusion: </strong>This study provided real-world data demonstrating the effectiveness of PFD in terms of lung function improvement in patients with CTD-ILD.</p>","PeriodicalId":22884,"journal":{"name":"Therapeutic Advances in Respiratory Disease","volume":"18 ","pages":"17534666241292507"},"PeriodicalIF":3.0000,"publicationDate":"2024-01-01","publicationTypes":"Journal Article","fieldsOfStudy":null,"isOpenAccess":false,"openAccessPdf":"https://www.ncbi.nlm.nih.gov/pmc/articles/PMC11544659/pdf/","citationCount":"0","resultStr":"{\"title\":\"Real-world therapeutic performance of pirfenidone for connective tissue disease-associated interstitial lung diseases.\",\"authors\":\"Xueting Yuan, Chen Yu, Shengyun Liu, Qiang Shu, Xinwang Duan, Lin Tang, Liying Peng, Shuang Zhou, Chanyuan Wu, Jiuliang Zhao, Dong Xu, Lan Song, Hui Huang, Mengtao Li, Yanhong Wang, Qian Wang, Xiaofeng Zeng\",\"doi\":\"10.1177/17534666241292507\",\"DOIUrl\":null,\"url\":null,\"abstract\":\"<p><strong>Background: </strong>Pirfenidone (PFD) is commonly applied for antifibrotic treatment in patients with idiopathic pulmonary fibrosis but has rarely been studied in cases with connective tissue disease-associated interstitial lung diseases (CTD-ILDs).</p><p><strong>Objectives: </strong>We aimed to examine the efficacy of PFD in patients with CTD-ILD based on real-world data.</p><p><strong>Design: </strong>A retrospective cohort study.</p><p><strong>Methods: </strong>This study assessed the clinical features of CTD-ILD patients with or without a 6-month PFD treatment. A linear mixed effects model was employed to evaluate the effectiveness of PFD in alleviating lung function changes. Differences in response to PFD were analyzed based on CTD subtype, imaging classification, and pattern of pulmonary function at baseline.</p><p><strong>Results: </strong>A total of 289 patients with CTD-ILD were included, with 155 (53.6%) receiving PFD treatment and the remaining constituting the control group. Patients with the usual interstitial pneumonia (UIP) pattern were more likely to receive PFD treatment, and a relatively lower proportion of cases in the PFD group received immunosuppressive therapies compared to the control group (<i>p</i> < 0.05). At the 6-month follow-up, patients in the PFD group demonstrated a more significant improvement in forced vital capacity (FVC) and diffusion capacity for carbon monoxide (DLCO) (ΔFVC%: 2.9% vs 0.45%, <i>p</i> = 0.009; ΔDLCO%: 1.9% vs -1.1%, <i>p</i> = 0.004). In the linear mixed model analysis, there was a statistically significant group-time interaction between FVC% and DLCO% changes over time (FVC%: β = 4.52, <i>p</i> < 0.001; DLCO%: β = 4.13, <i>p</i> = 0.003). Furthermore, subgroup analysis indicated that pirfenidone may have superior therapeutic effects in patients with systemic sclerosis (SSc)-associated ILD, non-UIP pattern, and restrictive pattern of lung function at baseline.</p><p><strong>Conclusion: </strong>This study provided real-world data demonstrating the effectiveness of PFD in terms of lung function improvement in patients with CTD-ILD.</p>\",\"PeriodicalId\":22884,\"journal\":{\"name\":\"Therapeutic Advances in Respiratory Disease\",\"volume\":\"18 \",\"pages\":\"17534666241292507\"},\"PeriodicalIF\":3.0000,\"publicationDate\":\"2024-01-01\",\"publicationTypes\":\"Journal Article\",\"fieldsOfStudy\":null,\"isOpenAccess\":false,\"openAccessPdf\":\"https://www.ncbi.nlm.nih.gov/pmc/articles/PMC11544659/pdf/\",\"citationCount\":\"0\",\"resultStr\":null,\"platform\":\"Semanticscholar\",\"paperid\":null,\"PeriodicalName\":\"Therapeutic Advances in Respiratory Disease\",\"FirstCategoryId\":\"88\",\"ListUrlMain\":\"https://doi.org/10.1177/17534666241292507\",\"RegionNum\":3,\"RegionCategory\":\"医学\",\"ArticlePicture\":[],\"TitleCN\":null,\"AbstractTextCN\":null,\"PMCID\":null,\"EPubDate\":\"\",\"PubModel\":\"\",\"JCR\":\"Q2\",\"JCRName\":\"RESPIRATORY SYSTEM\",\"Score\":null,\"Total\":0}","platform":"Semanticscholar","paperid":null,"PeriodicalName":"Therapeutic Advances in Respiratory Disease","FirstCategoryId":"88","ListUrlMain":"https://doi.org/10.1177/17534666241292507","RegionNum":3,"RegionCategory":"医学","ArticlePicture":[],"TitleCN":null,"AbstractTextCN":null,"PMCID":null,"EPubDate":"","PubModel":"","JCR":"Q2","JCRName":"RESPIRATORY SYSTEM","Score":null,"Total":0}
引用次数: 0

摘要

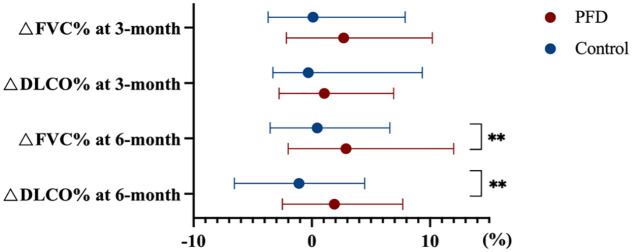
背景:吡非尼酮(PFD)通常用于特发性肺纤维化患者的抗纤维化治疗,但在结缔组织病相关性间质性肺疾病(CTD-ILDs)病例中却鲜有研究:我们旨在根据实际数据研究PFD对CTD-ILD患者的疗效:设计:一项回顾性队列研究:本研究评估了接受或未接受 6 个月 PFD 治疗的 CTD-ILD 患者的临床特征。采用线性混合效应模型评估 PFD 在缓解肺功能变化方面的效果。根据 CTD 亚型、影像学分类和基线肺功能模式分析了对 PFD 反应的差异:共纳入 289 名 CTD-ILD 患者,其中 155 人(53.6%)接受了 PFD 治疗,其余为对照组。与对照组相比,PFD组中接受免疫抑制疗法的病例比例相对较低(P = 0.009;ΔDLCO%:1.9% vs -1.1%, P = 0.004)。在线性混合模型分析中,FVC% 和 DLCO% 随时间的变化存在显著的组间交互作用(FVC%:β = 4.52,P = 0.003)。此外,亚组分析表明,对于基线肺功能为系统性硬化症(SSc)相关性 ILD、非 UIP 模式和限制性模式的患者,吡非尼酮可能具有更好的治疗效果:这项研究提供了真实世界的数据,证明了 PFD 在改善 CTD-ILD 患者肺功能方面的有效性。
本文章由计算机程序翻译,如有差异,请以英文原文为准。

Real-world therapeutic performance of pirfenidone for connective tissue disease-associated interstitial lung diseases.

Real-world therapeutic performance of pirfenidone for connective tissue disease-associated interstitial lung diseases.

Real-world therapeutic performance of pirfenidone for connective tissue disease-associated interstitial lung diseases.

Real-world therapeutic performance of pirfenidone for connective tissue disease-associated interstitial lung diseases.

Background: Pirfenidone (PFD) is commonly applied for antifibrotic treatment in patients with idiopathic pulmonary fibrosis but has rarely been studied in cases with connective tissue disease-associated interstitial lung diseases (CTD-ILDs).

Objectives: We aimed to examine the efficacy of PFD in patients with CTD-ILD based on real-world data.

Design: A retrospective cohort study.

Methods: This study assessed the clinical features of CTD-ILD patients with or without a 6-month PFD treatment. A linear mixed effects model was employed to evaluate the effectiveness of PFD in alleviating lung function changes. Differences in response to PFD were analyzed based on CTD subtype, imaging classification, and pattern of pulmonary function at baseline.

Results: A total of 289 patients with CTD-ILD were included, with 155 (53.6%) receiving PFD treatment and the remaining constituting the control group. Patients with the usual interstitial pneumonia (UIP) pattern were more likely to receive PFD treatment, and a relatively lower proportion of cases in the PFD group received immunosuppressive therapies compared to the control group (p < 0.05). At the 6-month follow-up, patients in the PFD group demonstrated a more significant improvement in forced vital capacity (FVC) and diffusion capacity for carbon monoxide (DLCO) (ΔFVC%: 2.9% vs 0.45%, p = 0.009; ΔDLCO%: 1.9% vs -1.1%, p = 0.004). In the linear mixed model analysis, there was a statistically significant group-time interaction between FVC% and DLCO% changes over time (FVC%: β = 4.52, p < 0.001; DLCO%: β = 4.13, p = 0.003). Furthermore, subgroup analysis indicated that pirfenidone may have superior therapeutic effects in patients with systemic sclerosis (SSc)-associated ILD, non-UIP pattern, and restrictive pattern of lung function at baseline.

Conclusion: This study provided real-world data demonstrating the effectiveness of PFD in terms of lung function improvement in patients with CTD-ILD.

求助全文
通过发布文献求助,成功后即可免费获取论文全文。 去求助
来源期刊
CiteScore
6.90
自引率
0.00%
发文量
57
审稿时长
15 weeks
期刊介绍: Therapeutic Advances in Respiratory Disease delivers the highest quality peer-reviewed articles, reviews, and scholarly comment on pioneering efforts and innovative studies across all areas of respiratory disease.
×
引用
GB/T 7714-2015
复制
MLA
复制
APA
复制
导出至
BibTeX EndNote RefMan NoteFirst NoteExpress
×
提示
您的信息不完整,为了账户安全,请先补充。
现在去补充
×
提示
您因"违规操作"
具体请查看互助需知
我知道了
×
提示
确定
请完成安全验证×
copy
已复制链接
快去分享给好友吧!
我知道了
右上角分享
点击右上角分享
0
联系我们:info@booksci.cn Book学术提供免费学术资源搜索服务,方便国内外学者检索中英文文献。致力于提供最便捷和优质的服务体验。 Copyright © 2023 布克学术 All rights reserved.
京ICP备2023020795号-1
ghs 京公网安备 11010802042870号
Book学术文献互助
Book学术文献互助群
群 号:604180095
Book学术官方微信