老年人身体功能与认知的时间关系以及大脑健康的影响。

IF 3 3区 医学 Q3 GERIATRICS & GERONTOLOGY
Gerontology Pub Date : 2025-01-01 Epub Date: 2024-11-06 DOI:10.1159/000542395
Nienke Legdeur, Maryam Badissi, Vikram Venkatraghavan, Davis C Woodworth, Fanny Orlhac, Jean-Sébastien Vidal, Frederik Barkhof, Claudia H Kawas, Pieter Jelle Visser, María M Corrada, Majon Muller, Hanneke F M Rhodius-Meester
{"title":"老年人身体功能与认知的时间关系以及大脑健康的影响。","authors":"Nienke Legdeur, Maryam Badissi, Vikram Venkatraghavan, Davis C Woodworth, Fanny Orlhac, Jean-Sébastien Vidal, Frederik Barkhof, Claudia H Kawas, Pieter Jelle Visser, María M Corrada, Majon Muller, Hanneke F M Rhodius-Meester","doi":"10.1159/000542395","DOIUrl":null,"url":null,"abstract":"<p><strong>Introduction: </strong>Physical function and cognition seem to be interrelated, especially in the oldest-old. However, the temporal order in which they are related and the role of brain health remain uncertain.</p><p><strong>Methods: </strong>We included 338 participants (mean age 93.1 years) from two longitudinal cohorts: the UCI 90+ Study and EMIF-AD 90+ Study. We tested the association between physical function (Short Physical Performance Battery, gait speed, and handgrip strength) at baseline with cognitive decline (MMSE, memory tests, animal fluency, Trail Making Test (TMT-) A, and digit span backward) and the association between cognition at baseline with physical decline (mean follow-up 3.3 years). We also tested whether measures for brain health (hippocampal, white matter lesion, and gray matter volume) were related to physical function and cognition and whether brain health was a common driver of the association between physical function and cognition by adding it as confounder (if applicable).</p><p><strong>Results: </strong>Better performance on all physical tests at baseline was associated with less decline on MMSE, memory, and TMT-A. Conversely, fewer associations were significant, but better scores on memory, TMT-A, and digit span backward were associated with less physical decline. When adding measures for brain health as confounder, all associations stayed significant except for memory with gait speed decline.</p><p><strong>Conclusion: </strong>In the oldest-old, physical function and cognition are strongly related, independently of brain health. Also, the association between physical function and cognitive decline is more pronounced than the other way around, suggesting a potential for slowing cognitive decline by optimizing physical function.</p><p><strong>Introduction: </strong>Physical function and cognition seem to be interrelated, especially in the oldest-old. However, the temporal order in which they are related and the role of brain health remain uncertain.</p><p><strong>Methods: </strong>We included 338 participants (mean age 93.1 years) from two longitudinal cohorts: the UCI 90+ Study and EMIF-AD 90+ Study. We tested the association between physical function (Short Physical Performance Battery, gait speed, and handgrip strength) at baseline with cognitive decline (MMSE, memory tests, animal fluency, Trail Making Test (TMT-) A, and digit span backward) and the association between cognition at baseline with physical decline (mean follow-up 3.3 years). We also tested whether measures for brain health (hippocampal, white matter lesion, and gray matter volume) were related to physical function and cognition and whether brain health was a common driver of the association between physical function and cognition by adding it as confounder (if applicable).</p><p><strong>Results: </strong>Better performance on all physical tests at baseline was associated with less decline on MMSE, memory, and TMT-A. Conversely, fewer associations were significant, but better scores on memory, TMT-A, and digit span backward were associated with less physical decline. When adding measures for brain health as confounder, all associations stayed significant except for memory with gait speed decline.</p><p><strong>Conclusion: </strong>In the oldest-old, physical function and cognition are strongly related, independently of brain health. Also, the association between physical function and cognitive decline is more pronounced than the other way around, suggesting a potential for slowing cognitive decline by optimizing physical function.</p>","PeriodicalId":12662,"journal":{"name":"Gerontology","volume":" ","pages":"13-27"},"PeriodicalIF":3.0000,"publicationDate":"2025-01-01","publicationTypes":"Journal Article","fieldsOfStudy":null,"isOpenAccess":false,"openAccessPdf":"https://www.ncbi.nlm.nih.gov/pmc/articles/PMC11772116/pdf/","citationCount":"0","resultStr":"{\"title\":\"The Temporal Relation of Physical Function with Cognition and the Influence of Brain Health in the Oldest-Old.\",\"authors\":\"Nienke Legdeur, Maryam Badissi, Vikram Venkatraghavan, Davis C Woodworth, Fanny Orlhac, Jean-Sébastien Vidal, Frederik Barkhof, Claudia H Kawas, Pieter Jelle Visser, María M Corrada, Majon Muller, Hanneke F M Rhodius-Meester\",\"doi\":\"10.1159/000542395\",\"DOIUrl\":null,\"url\":null,\"abstract\":\"<p><strong>Introduction: </strong>Physical function and cognition seem to be interrelated, especially in the oldest-old. However, the temporal order in which they are related and the role of brain health remain uncertain.</p><p><strong>Methods: </strong>We included 338 participants (mean age 93.1 years) from two longitudinal cohorts: the UCI 90+ Study and EMIF-AD 90+ Study. We tested the association between physical function (Short Physical Performance Battery, gait speed, and handgrip strength) at baseline with cognitive decline (MMSE, memory tests, animal fluency, Trail Making Test (TMT-) A, and digit span backward) and the association between cognition at baseline with physical decline (mean follow-up 3.3 years). We also tested whether measures for brain health (hippocampal, white matter lesion, and gray matter volume) were related to physical function and cognition and whether brain health was a common driver of the association between physical function and cognition by adding it as confounder (if applicable).</p><p><strong>Results: </strong>Better performance on all physical tests at baseline was associated with less decline on MMSE, memory, and TMT-A. Conversely, fewer associations were significant, but better scores on memory, TMT-A, and digit span backward were associated with less physical decline. When adding measures for brain health as confounder, all associations stayed significant except for memory with gait speed decline.</p><p><strong>Conclusion: </strong>In the oldest-old, physical function and cognition are strongly related, independently of brain health. Also, the association between physical function and cognitive decline is more pronounced than the other way around, suggesting a potential for slowing cognitive decline by optimizing physical function.</p><p><strong>Introduction: </strong>Physical function and cognition seem to be interrelated, especially in the oldest-old. However, the temporal order in which they are related and the role of brain health remain uncertain.</p><p><strong>Methods: </strong>We included 338 participants (mean age 93.1 years) from two longitudinal cohorts: the UCI 90+ Study and EMIF-AD 90+ Study. We tested the association between physical function (Short Physical Performance Battery, gait speed, and handgrip strength) at baseline with cognitive decline (MMSE, memory tests, animal fluency, Trail Making Test (TMT-) A, and digit span backward) and the association between cognition at baseline with physical decline (mean follow-up 3.3 years). We also tested whether measures for brain health (hippocampal, white matter lesion, and gray matter volume) were related to physical function and cognition and whether brain health was a common driver of the association between physical function and cognition by adding it as confounder (if applicable).</p><p><strong>Results: </strong>Better performance on all physical tests at baseline was associated with less decline on MMSE, memory, and TMT-A. Conversely, fewer associations were significant, but better scores on memory, TMT-A, and digit span backward were associated with less physical decline. When adding measures for brain health as confounder, all associations stayed significant except for memory with gait speed decline.</p><p><strong>Conclusion: </strong>In the oldest-old, physical function and cognition are strongly related, independently of brain health. Also, the association between physical function and cognitive decline is more pronounced than the other way around, suggesting a potential for slowing cognitive decline by optimizing physical function.</p>\",\"PeriodicalId\":12662,\"journal\":{\"name\":\"Gerontology\",\"volume\":\" \",\"pages\":\"13-27\"},\"PeriodicalIF\":3.0000,\"publicationDate\":\"2025-01-01\",\"publicationTypes\":\"Journal Article\",\"fieldsOfStudy\":null,\"isOpenAccess\":false,\"openAccessPdf\":\"https://www.ncbi.nlm.nih.gov/pmc/articles/PMC11772116/pdf/\",\"citationCount\":\"0\",\"resultStr\":null,\"platform\":\"Semanticscholar\",\"paperid\":null,\"PeriodicalName\":\"Gerontology\",\"FirstCategoryId\":\"3\",\"ListUrlMain\":\"https://doi.org/10.1159/000542395\",\"RegionNum\":3,\"RegionCategory\":\"医学\",\"ArticlePicture\":[],\"TitleCN\":null,\"AbstractTextCN\":null,\"PMCID\":null,\"EPubDate\":\"2024/11/6 0:00:00\",\"PubModel\":\"Epub\",\"JCR\":\"Q3\",\"JCRName\":\"GERIATRICS & GERONTOLOGY\",\"Score\":null,\"Total\":0}","platform":"Semanticscholar","paperid":null,"PeriodicalName":"Gerontology","FirstCategoryId":"3","ListUrlMain":"https://doi.org/10.1159/000542395","RegionNum":3,"RegionCategory":"医学","ArticlePicture":[],"TitleCN":null,"AbstractTextCN":null,"PMCID":null,"EPubDate":"2024/11/6 0:00:00","PubModel":"Epub","JCR":"Q3","JCRName":"GERIATRICS & GERONTOLOGY","Score":null,"Total":0}
引用次数: 0

摘要

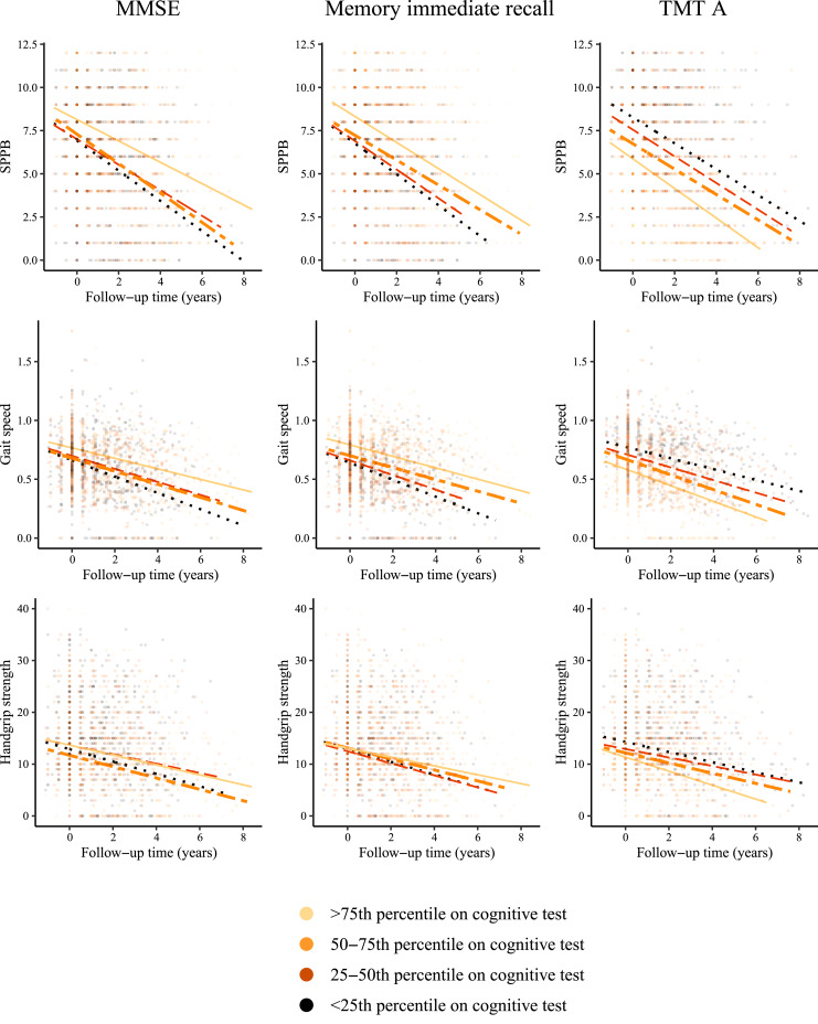
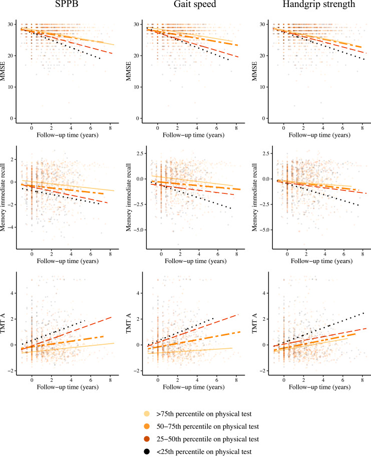
导言 身体机能和认知能力似乎是相互关联的,尤其是对老年人而言。然而,它们之间的时间顺序和大脑健康的作用仍不确定。方法 我们纳入了来自两个纵向队列的 338 名参与者(平均年龄 93.1 岁):UCI 90+ 研究和 EMIF-AD 90+ 研究。我们测试了基线时的身体功能(短期体能测试、步速和握力)与认知能力下降(MMSE、记忆测试、动物语言流利度、寻迹测试(TMT)A 和数字跨度后向)之间的关联,以及基线时的认知能力与身体下降(平均随访 3.3 年)之间的关联。我们还测试了大脑健康状况(海马体、白质病变和灰质体积)是否与身体机能和认知能力相关,以及大脑健康状况是否是身体机能和认知能力之间关系的共同驱动因素,并将其作为混杂因素加入(如适用)。结果 在所有体能测试中,基线成绩越好,则MMSE、记忆力和TMT A的下降幅度越小;相反,关联显著的情况较少,但记忆力、TMT A和Digit Span Backward的成绩越好,则体能下降幅度越小。在加入脑健康指标作为混淆因素后,除了记忆力与步速下降的关系外,其他所有关系都保持显著。讨论 在高龄老人中,身体功能和认知能力密切相关,与大脑健康无关。此外,身体机能与认知能力下降之间的关系比反向关系更为明显,这表明通过优化身体机能有可能减缓认知能力的下降。
本文章由计算机程序翻译,如有差异,请以英文原文为准。

The Temporal Relation of Physical Function with Cognition and the Influence of Brain Health in the Oldest-Old.

The Temporal Relation of Physical Function with Cognition and the Influence of Brain Health in the Oldest-Old.

The Temporal Relation of Physical Function with Cognition and the Influence of Brain Health in the Oldest-Old.

The Temporal Relation of Physical Function with Cognition and the Influence of Brain Health in the Oldest-Old.

Introduction: Physical function and cognition seem to be interrelated, especially in the oldest-old. However, the temporal order in which they are related and the role of brain health remain uncertain.

Methods: We included 338 participants (mean age 93.1 years) from two longitudinal cohorts: the UCI 90+ Study and EMIF-AD 90+ Study. We tested the association between physical function (Short Physical Performance Battery, gait speed, and handgrip strength) at baseline with cognitive decline (MMSE, memory tests, animal fluency, Trail Making Test (TMT-) A, and digit span backward) and the association between cognition at baseline with physical decline (mean follow-up 3.3 years). We also tested whether measures for brain health (hippocampal, white matter lesion, and gray matter volume) were related to physical function and cognition and whether brain health was a common driver of the association between physical function and cognition by adding it as confounder (if applicable).

Results: Better performance on all physical tests at baseline was associated with less decline on MMSE, memory, and TMT-A. Conversely, fewer associations were significant, but better scores on memory, TMT-A, and digit span backward were associated with less physical decline. When adding measures for brain health as confounder, all associations stayed significant except for memory with gait speed decline.

Conclusion: In the oldest-old, physical function and cognition are strongly related, independently of brain health. Also, the association between physical function and cognitive decline is more pronounced than the other way around, suggesting a potential for slowing cognitive decline by optimizing physical function.

Introduction: Physical function and cognition seem to be interrelated, especially in the oldest-old. However, the temporal order in which they are related and the role of brain health remain uncertain.

Methods: We included 338 participants (mean age 93.1 years) from two longitudinal cohorts: the UCI 90+ Study and EMIF-AD 90+ Study. We tested the association between physical function (Short Physical Performance Battery, gait speed, and handgrip strength) at baseline with cognitive decline (MMSE, memory tests, animal fluency, Trail Making Test (TMT-) A, and digit span backward) and the association between cognition at baseline with physical decline (mean follow-up 3.3 years). We also tested whether measures for brain health (hippocampal, white matter lesion, and gray matter volume) were related to physical function and cognition and whether brain health was a common driver of the association between physical function and cognition by adding it as confounder (if applicable).

Results: Better performance on all physical tests at baseline was associated with less decline on MMSE, memory, and TMT-A. Conversely, fewer associations were significant, but better scores on memory, TMT-A, and digit span backward were associated with less physical decline. When adding measures for brain health as confounder, all associations stayed significant except for memory with gait speed decline.

Conclusion: In the oldest-old, physical function and cognition are strongly related, independently of brain health. Also, the association between physical function and cognitive decline is more pronounced than the other way around, suggesting a potential for slowing cognitive decline by optimizing physical function.

求助全文
通过发布文献求助,成功后即可免费获取论文全文。 去求助
来源期刊
Gerontology
Gerontology 医学-老年医学
CiteScore
6.00
自引率
0.00%
发文量
94
审稿时长
6-12 weeks
期刊介绍: In view of the ever-increasing fraction of elderly people, understanding the mechanisms of aging and age-related diseases has become a matter of urgent necessity. ''Gerontology'', the oldest journal in the field, responds to this need by drawing topical contributions from multiple disciplines to support the fundamental goals of extending active life and enhancing its quality. The range of papers is classified into four sections. In the Clinical Section, the aetiology, pathogenesis, prevention and treatment of agerelated diseases are discussed from a gerontological rather than a geriatric viewpoint. The Experimental Section contains up-to-date contributions from basic gerontological research. Papers dealing with behavioural development and related topics are placed in the Behavioural Science Section. Basic aspects of regeneration in different experimental biological systems as well as in the context of medical applications are dealt with in a special section that also contains information on technological advances for the elderly. Providing a primary source of high-quality papers covering all aspects of aging in humans and animals, ''Gerontology'' serves as an ideal information tool for all readers interested in the topic of aging from a broad perspective.
×
引用
GB/T 7714-2015
复制
MLA
复制
APA
复制
导出至
BibTeX EndNote RefMan NoteFirst NoteExpress
×
提示
您的信息不完整,为了账户安全,请先补充。
现在去补充
×
提示
您因"违规操作"
具体请查看互助需知
我知道了
×
提示
确定
请完成安全验证×
copy
已复制链接
快去分享给好友吧!
我知道了
右上角分享
点击右上角分享
0
联系我们:info@booksci.cn Book学术提供免费学术资源搜索服务,方便国内外学者检索中英文文献。致力于提供最便捷和优质的服务体验。 Copyright © 2023 布克学术 All rights reserved.
京ICP备2023020795号-1
ghs 京公网安备 11010802042870号
Book学术文献互助
Book学术文献互助群
群 号:604180095
Book学术官方微信