通过血清蛋白质组学鉴定生物标志物,以确定 COVID19 患者对各种器官疾病的偏好。

IF 3.3 3区 医学 Q2 BIOCHEMICAL RESEARCH METHODS
Madhan Vishal Rajan, Vipra Sharma, Neelam Upadhyay, Ananya Murali, Sabyasachi Bandyopadhyay, Gururao Hariprasad
{"title":"通过血清蛋白质组学鉴定生物标志物,以确定 COVID19 患者对各种器官疾病的偏好。","authors":"Madhan Vishal Rajan, Vipra Sharma, Neelam Upadhyay, Ananya Murali, Sabyasachi Bandyopadhyay, Gururao Hariprasad","doi":"10.1186/s12014-024-09512-6","DOIUrl":null,"url":null,"abstract":"<p><strong>Background: </strong>COVID19 is a pandemic that has affected millions around the world since March 2020. While many patients recovered completely with mild illness, many patients succumbed to various organ morbidities. This heterogeneity in the clinical presentation of COVID19 infection has posed a challenge to clinicians around the world. It is therefore crucial to identify specific organ-related morbidity for effective treatment and better patient outcomes. We have carried out serum-based proteomic experiments to identify protein biomarkers that can flag organ dysfunctions in COVID19 patients.</p><p><strong>Methods: </strong>COVID19 patients were screened and tested at various hospitals across New Delhi, India. 114 serum samples from these patients, with and without organ morbidities were collected and annotated based on clinical presentation and treatment history. Of these, 29 samples comprising of heart, lung, kidney, gastrointestinal, liver, and neurological morbidities were considered for the discovery phase of the experiment. Proteins were isolated, quantified, trypsin digested, and the peptides were subjected to liquid chromatography assisted tandem mass spectrometry analysis. Data analysis was carried out using Proteome Discoverer software. Fold change analysis was carried out on MetaboAnalyst. KEGG, Reactome, and Wiki Pathway analysis of differentially expressed proteins were carried out using the STRING database. Potential biomarker candidates for various organ morbidities were validated using ELISA.</p><p><strong>Results: </strong>254 unique proteins were identified from all the samples with a subset of 12-31 differentially expressed proteins in each of the clinical phenotypes. These proteins establish complement and coagulation cascade pathways in the pathogenesis of the organ morbidities. Validation experiments along with their diagnostic parameters confirm Secreted Protein Acidic and Rich in Cysteine, Cystatin C, and Catalase as potential biomarker candidates that can flag cardiovascular disease, renal disease, and respiratory disease, respectively.</p><p><strong>Conclusions: </strong>Label free serum proteomics shows differential protein expression in COVID19 patients with morbidity as compared to those without morbidity. Identified biomarker candidates hold promise to flag organ morbidities in COVID19 for efficient patient care.</p>","PeriodicalId":10468,"journal":{"name":"Clinical proteomics","volume":"21 1","pages":"61"},"PeriodicalIF":3.3000,"publicationDate":"2024-11-01","publicationTypes":"Journal Article","fieldsOfStudy":null,"isOpenAccess":false,"openAccessPdf":"https://www.ncbi.nlm.nih.gov/pmc/articles/PMC11531188/pdf/","citationCount":"0","resultStr":"{\"title\":\"Serum proteomics for the identification of biomarkers to flag predilection of COVID19 patients to various organ morbidities.\",\"authors\":\"Madhan Vishal Rajan, Vipra Sharma, Neelam Upadhyay, Ananya Murali, Sabyasachi Bandyopadhyay, Gururao Hariprasad\",\"doi\":\"10.1186/s12014-024-09512-6\",\"DOIUrl\":null,\"url\":null,\"abstract\":\"<p><strong>Background: </strong>COVID19 is a pandemic that has affected millions around the world since March 2020. While many patients recovered completely with mild illness, many patients succumbed to various organ morbidities. This heterogeneity in the clinical presentation of COVID19 infection has posed a challenge to clinicians around the world. It is therefore crucial to identify specific organ-related morbidity for effective treatment and better patient outcomes. We have carried out serum-based proteomic experiments to identify protein biomarkers that can flag organ dysfunctions in COVID19 patients.</p><p><strong>Methods: </strong>COVID19 patients were screened and tested at various hospitals across New Delhi, India. 114 serum samples from these patients, with and without organ morbidities were collected and annotated based on clinical presentation and treatment history. Of these, 29 samples comprising of heart, lung, kidney, gastrointestinal, liver, and neurological morbidities were considered for the discovery phase of the experiment. Proteins were isolated, quantified, trypsin digested, and the peptides were subjected to liquid chromatography assisted tandem mass spectrometry analysis. Data analysis was carried out using Proteome Discoverer software. Fold change analysis was carried out on MetaboAnalyst. KEGG, Reactome, and Wiki Pathway analysis of differentially expressed proteins were carried out using the STRING database. Potential biomarker candidates for various organ morbidities were validated using ELISA.</p><p><strong>Results: </strong>254 unique proteins were identified from all the samples with a subset of 12-31 differentially expressed proteins in each of the clinical phenotypes. These proteins establish complement and coagulation cascade pathways in the pathogenesis of the organ morbidities. Validation experiments along with their diagnostic parameters confirm Secreted Protein Acidic and Rich in Cysteine, Cystatin C, and Catalase as potential biomarker candidates that can flag cardiovascular disease, renal disease, and respiratory disease, respectively.</p><p><strong>Conclusions: </strong>Label free serum proteomics shows differential protein expression in COVID19 patients with morbidity as compared to those without morbidity. Identified biomarker candidates hold promise to flag organ morbidities in COVID19 for efficient patient care.</p>\",\"PeriodicalId\":10468,\"journal\":{\"name\":\"Clinical proteomics\",\"volume\":\"21 1\",\"pages\":\"61\"},\"PeriodicalIF\":3.3000,\"publicationDate\":\"2024-11-01\",\"publicationTypes\":\"Journal Article\",\"fieldsOfStudy\":null,\"isOpenAccess\":false,\"openAccessPdf\":\"https://www.ncbi.nlm.nih.gov/pmc/articles/PMC11531188/pdf/\",\"citationCount\":\"0\",\"resultStr\":null,\"platform\":\"Semanticscholar\",\"paperid\":null,\"PeriodicalName\":\"Clinical proteomics\",\"FirstCategoryId\":\"3\",\"ListUrlMain\":\"https://doi.org/10.1186/s12014-024-09512-6\",\"RegionNum\":3,\"RegionCategory\":\"医学\",\"ArticlePicture\":[],\"TitleCN\":null,\"AbstractTextCN\":null,\"PMCID\":null,\"EPubDate\":\"\",\"PubModel\":\"\",\"JCR\":\"Q2\",\"JCRName\":\"BIOCHEMICAL RESEARCH METHODS\",\"Score\":null,\"Total\":0}","platform":"Semanticscholar","paperid":null,"PeriodicalName":"Clinical proteomics","FirstCategoryId":"3","ListUrlMain":"https://doi.org/10.1186/s12014-024-09512-6","RegionNum":3,"RegionCategory":"医学","ArticlePicture":[],"TitleCN":null,"AbstractTextCN":null,"PMCID":null,"EPubDate":"","PubModel":"","JCR":"Q2","JCRName":"BIOCHEMICAL RESEARCH METHODS","Score":null,"Total":0}
引用次数: 0

摘要

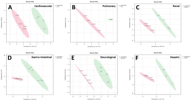
背景:COVID19 是一种大流行病,自 2020 年 3 月以来已影响到全球数百万人。虽然许多患者病情轻微,完全康复,但也有许多患者因各种器官病变而死亡。COVID19 感染临床表现的异质性给世界各地的临床医生带来了挑战。因此,识别特定器官相关的发病率对于有效治疗和改善患者预后至关重要。我们开展了基于血清的蛋白质组学实验,以确定可标记 COVID19 患者器官功能障碍的蛋白质生物标志物:方法:我们在印度新德里的多家医院对 COVID19 患者进行了筛查和检测。收集了这些患者的 114 份血清样本,包括有器官病变和无器官病变的样本,并根据临床表现和治疗史进行了标注。其中,29 份样本(包括心脏、肺部、肾脏、胃肠道、肝脏和神经系统疾病)被考虑用于实验的发现阶段。对蛋白质进行分离、定量、胰蛋白酶消化,并对肽进行液相色谱辅助串联质谱分析。使用 Proteome Discoverer 软件进行数据分析。折叠变化分析在 MetaboAnalyst 上进行。使用 STRING 数据库对差异表达的蛋白质进行 KEGG、Reactome 和 Wiki Pathway 分析。结果:从所有样本中鉴定出了 254 种独特的蛋白质,每种临床表型中都有 12-31 种差异表达蛋白质。这些蛋白质确定了器官疾病发病机制中的补体和凝血级联途径。验证实验及其诊断参数证实,酸性富半胱氨酸分泌蛋白、胱抑素 C 和过氧化氢酶是潜在的候选生物标记物,可分别标记心血管疾病、肾脏疾病和呼吸系统疾病:无标记血清蛋白质组学显示,COVID19发病患者与非发病患者的蛋白质表达存在差异。已确定的候选生物标记物有望标记出 COVID19 患者的发病器官,从而为患者提供有效的治疗。
本文章由计算机程序翻译,如有差异,请以英文原文为准。

Serum proteomics for the identification of biomarkers to flag predilection of COVID19 patients to various organ morbidities.

Serum proteomics for the identification of biomarkers to flag predilection of COVID19 patients to various organ morbidities.

Serum proteomics for the identification of biomarkers to flag predilection of COVID19 patients to various organ morbidities.

Serum proteomics for the identification of biomarkers to flag predilection of COVID19 patients to various organ morbidities.

Background: COVID19 is a pandemic that has affected millions around the world since March 2020. While many patients recovered completely with mild illness, many patients succumbed to various organ morbidities. This heterogeneity in the clinical presentation of COVID19 infection has posed a challenge to clinicians around the world. It is therefore crucial to identify specific organ-related morbidity for effective treatment and better patient outcomes. We have carried out serum-based proteomic experiments to identify protein biomarkers that can flag organ dysfunctions in COVID19 patients.

Methods: COVID19 patients were screened and tested at various hospitals across New Delhi, India. 114 serum samples from these patients, with and without organ morbidities were collected and annotated based on clinical presentation and treatment history. Of these, 29 samples comprising of heart, lung, kidney, gastrointestinal, liver, and neurological morbidities were considered for the discovery phase of the experiment. Proteins were isolated, quantified, trypsin digested, and the peptides were subjected to liquid chromatography assisted tandem mass spectrometry analysis. Data analysis was carried out using Proteome Discoverer software. Fold change analysis was carried out on MetaboAnalyst. KEGG, Reactome, and Wiki Pathway analysis of differentially expressed proteins were carried out using the STRING database. Potential biomarker candidates for various organ morbidities were validated using ELISA.

Results: 254 unique proteins were identified from all the samples with a subset of 12-31 differentially expressed proteins in each of the clinical phenotypes. These proteins establish complement and coagulation cascade pathways in the pathogenesis of the organ morbidities. Validation experiments along with their diagnostic parameters confirm Secreted Protein Acidic and Rich in Cysteine, Cystatin C, and Catalase as potential biomarker candidates that can flag cardiovascular disease, renal disease, and respiratory disease, respectively.

Conclusions: Label free serum proteomics shows differential protein expression in COVID19 patients with morbidity as compared to those without morbidity. Identified biomarker candidates hold promise to flag organ morbidities in COVID19 for efficient patient care.

求助全文
通过发布文献求助,成功后即可免费获取论文全文。 去求助
来源期刊
Clinical proteomics
Clinical proteomics BIOCHEMICAL RESEARCH METHODS-
CiteScore
5.80
自引率
2.60%
发文量
37
审稿时长
17 weeks
期刊介绍: Clinical Proteomics encompasses all aspects of translational proteomics. Special emphasis will be placed on the application of proteomic technology to all aspects of clinical research and molecular medicine. The journal is committed to rapid scientific review and timely publication of submitted manuscripts.
×
引用
GB/T 7714-2015
复制
MLA
复制
APA
复制
导出至
BibTeX EndNote RefMan NoteFirst NoteExpress
×
提示
您的信息不完整,为了账户安全,请先补充。
现在去补充
×
提示
您因"违规操作"
具体请查看互助需知
我知道了
×
提示
确定
请完成安全验证×
copy
已复制链接
快去分享给好友吧!
我知道了
右上角分享
点击右上角分享
0
联系我们:info@booksci.cn Book学术提供免费学术资源搜索服务,方便国内外学者检索中英文文献。致力于提供最便捷和优质的服务体验。 Copyright © 2023 布克学术 All rights reserved.
京ICP备2023020795号-1
ghs 京公网安备 11010802042870号
Book学术文献互助
Book学术文献互助群
群 号:604180095
Book学术官方微信