影响妊娠头三个月胎儿心脏超声筛查准确性的因素。

IF 2.1 4区 医学 Q3 RADIOLOGY, NUCLEAR MEDICINE & MEDICAL IMAGING
Journal of Medical Ultrasonics Pub Date : 2025-01-01 Epub Date: 2024-11-01 DOI:10.1007/s10396-024-01505-0
Shin Hashiramoto, Mayumi Kaneko, Hiroko Takita, Yuka Yamashita, Ryu Matsuoka, Akihiko Sekizawa
{"title":"影响妊娠头三个月胎儿心脏超声筛查准确性的因素。","authors":"Shin Hashiramoto, Mayumi Kaneko, Hiroko Takita, Yuka Yamashita, Ryu Matsuoka, Akihiko Sekizawa","doi":"10.1007/s10396-024-01505-0","DOIUrl":null,"url":null,"abstract":"<p><strong>Purpose: </strong>Most studies on the performance of first-trimester cardiac screening have concentrated on comparing the detection rate between different protocols and not on the actual reason for false-negative results. Herein, we report the performance of first-trimester congenital heart disease (CHD) screening and factors that may affect the detection rate of CHDs.</p><p><strong>Methods: </strong>This retrospective observational study included patients who underwent first-trimester screening and subsequently gave birth at our facility. We analyzed the performance of first-trimester screening for CHD and major CHD (CHD requiring cardiac surgery or interventional catheterization within 12 months of birth).</p><p><strong>Results: </strong>Of the 6614 fetuses included, 53 had CHD and 35 had major CHD. For the prenatal diagnosis of CHD, the detection rate, specificity, positive predictive value, negative predictive value, and first-trimester detection rate for CHD were 64.1%, 99.9%, 94.4%, 99.7%, and 82.9%, respectively; the respective values for major CHD were 85.7%, 99.96%, 93.75%, 99.92%, and 85.7%. The detection rate was not significantly different when classified by crown-rump length or number of fetuses. A weak correlation was observed between low detection rate of major CHD and lower maternal body mass index (BMI) (correlation ratio: 0.17). The detection rate was significantly higher when the fetus was scanned with its spine at the 5-7 o'clock position (posterior spine) than at other positions (odds ratio: 3.82, 95% confidence interval: 1.16-12.5, p = 0.02).</p><p><strong>Conclusion: </strong>Posterior spine contributes to an improved diagnostic rate in first-trimester CHD screening. In addition, sonographers must recognize that low maternal BMI is a risk factor of false-negative results.</p>","PeriodicalId":50130,"journal":{"name":"Journal of Medical Ultrasonics","volume":" ","pages":"131-138"},"PeriodicalIF":2.1000,"publicationDate":"2025-01-01","publicationTypes":"Journal Article","fieldsOfStudy":null,"isOpenAccess":false,"openAccessPdf":"https://www.ncbi.nlm.nih.gov/pmc/articles/PMC12000114/pdf/","citationCount":"0","resultStr":"{\"title\":\"Factors affecting the accuracy of fetal cardiac ultrasound screening in the first trimester of pregnancy.\",\"authors\":\"Shin Hashiramoto, Mayumi Kaneko, Hiroko Takita, Yuka Yamashita, Ryu Matsuoka, Akihiko Sekizawa\",\"doi\":\"10.1007/s10396-024-01505-0\",\"DOIUrl\":null,\"url\":null,\"abstract\":\"<p><strong>Purpose: </strong>Most studies on the performance of first-trimester cardiac screening have concentrated on comparing the detection rate between different protocols and not on the actual reason for false-negative results. Herein, we report the performance of first-trimester congenital heart disease (CHD) screening and factors that may affect the detection rate of CHDs.</p><p><strong>Methods: </strong>This retrospective observational study included patients who underwent first-trimester screening and subsequently gave birth at our facility. We analyzed the performance of first-trimester screening for CHD and major CHD (CHD requiring cardiac surgery or interventional catheterization within 12 months of birth).</p><p><strong>Results: </strong>Of the 6614 fetuses included, 53 had CHD and 35 had major CHD. For the prenatal diagnosis of CHD, the detection rate, specificity, positive predictive value, negative predictive value, and first-trimester detection rate for CHD were 64.1%, 99.9%, 94.4%, 99.7%, and 82.9%, respectively; the respective values for major CHD were 85.7%, 99.96%, 93.75%, 99.92%, and 85.7%. The detection rate was not significantly different when classified by crown-rump length or number of fetuses. A weak correlation was observed between low detection rate of major CHD and lower maternal body mass index (BMI) (correlation ratio: 0.17). The detection rate was significantly higher when the fetus was scanned with its spine at the 5-7 o'clock position (posterior spine) than at other positions (odds ratio: 3.82, 95% confidence interval: 1.16-12.5, p = 0.02).</p><p><strong>Conclusion: </strong>Posterior spine contributes to an improved diagnostic rate in first-trimester CHD screening. In addition, sonographers must recognize that low maternal BMI is a risk factor of false-negative results.</p>\",\"PeriodicalId\":50130,\"journal\":{\"name\":\"Journal of Medical Ultrasonics\",\"volume\":\" \",\"pages\":\"131-138\"},\"PeriodicalIF\":2.1000,\"publicationDate\":\"2025-01-01\",\"publicationTypes\":\"Journal Article\",\"fieldsOfStudy\":null,\"isOpenAccess\":false,\"openAccessPdf\":\"https://www.ncbi.nlm.nih.gov/pmc/articles/PMC12000114/pdf/\",\"citationCount\":\"0\",\"resultStr\":null,\"platform\":\"Semanticscholar\",\"paperid\":null,\"PeriodicalName\":\"Journal of Medical Ultrasonics\",\"FirstCategoryId\":\"3\",\"ListUrlMain\":\"https://doi.org/10.1007/s10396-024-01505-0\",\"RegionNum\":4,\"RegionCategory\":\"医学\",\"ArticlePicture\":[],\"TitleCN\":null,\"AbstractTextCN\":null,\"PMCID\":null,\"EPubDate\":\"2024/11/1 0:00:00\",\"PubModel\":\"Epub\",\"JCR\":\"Q3\",\"JCRName\":\"RADIOLOGY, NUCLEAR MEDICINE & MEDICAL IMAGING\",\"Score\":null,\"Total\":0}","platform":"Semanticscholar","paperid":null,"PeriodicalName":"Journal of Medical Ultrasonics","FirstCategoryId":"3","ListUrlMain":"https://doi.org/10.1007/s10396-024-01505-0","RegionNum":4,"RegionCategory":"医学","ArticlePicture":[],"TitleCN":null,"AbstractTextCN":null,"PMCID":null,"EPubDate":"2024/11/1 0:00:00","PubModel":"Epub","JCR":"Q3","JCRName":"RADIOLOGY, NUCLEAR MEDICINE & MEDICAL IMAGING","Score":null,"Total":0}
引用次数: 0

摘要

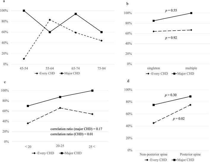
目的:有关初产妇心脏筛查效果的大多数研究都集中于比较不同方案的检出率,而不是假阴性结果的实际原因。在此,我们报告了首胎先天性心脏病(CHD)筛查的效果以及可能影响CHD检出率的因素:这项回顾性观察研究纳入了在我院接受首胎筛查并随后分娩的患者。我们分析了首次妊娠筛查发现的先天性心脏病和重大先天性心脏病(出生后 12 个月内需要进行心脏手术或介入导管治疗的先天性心脏病)的情况:结果:在纳入的 6614 个胎儿中,53 个患有先天性心脏病,35 个患有严重先天性心脏病。产前诊断CHD的检出率、特异性、阳性预测值、阴性预测值和首胎检出率分别为64.1%、99.9%、94.4%、99.7%和82.9%;重度CHD的检出率、特异性、阳性预测值、阴性预测值和首胎检出率分别为85.7%、99.96%、93.75%、99.92%和85.7%。按胎儿头臀长或胎儿数量分类,检出率无明显差异。主要先天性心脏病检出率低与孕产妇体重指数(BMI)较低之间存在微弱的相关性(相关比:0.17)。胎儿脊柱位于 5-7 点钟位置(后脊柱)时的检出率明显高于其他位置(几率比:3.82,95% 置信区间:1.16-12.5,P = 0.02):结论:脊柱后位有助于提高初产妇先天性心脏病筛查的诊断率。此外,超声技师必须认识到产妇体重指数低是导致假阴性结果的一个风险因素。
本文章由计算机程序翻译,如有差异,请以英文原文为准。

Factors affecting the accuracy of fetal cardiac ultrasound screening in the first trimester of pregnancy.

Factors affecting the accuracy of fetal cardiac ultrasound screening in the first trimester of pregnancy.

Factors affecting the accuracy of fetal cardiac ultrasound screening in the first trimester of pregnancy.

Factors affecting the accuracy of fetal cardiac ultrasound screening in the first trimester of pregnancy.

Purpose: Most studies on the performance of first-trimester cardiac screening have concentrated on comparing the detection rate between different protocols and not on the actual reason for false-negative results. Herein, we report the performance of first-trimester congenital heart disease (CHD) screening and factors that may affect the detection rate of CHDs.

Methods: This retrospective observational study included patients who underwent first-trimester screening and subsequently gave birth at our facility. We analyzed the performance of first-trimester screening for CHD and major CHD (CHD requiring cardiac surgery or interventional catheterization within 12 months of birth).

Results: Of the 6614 fetuses included, 53 had CHD and 35 had major CHD. For the prenatal diagnosis of CHD, the detection rate, specificity, positive predictive value, negative predictive value, and first-trimester detection rate for CHD were 64.1%, 99.9%, 94.4%, 99.7%, and 82.9%, respectively; the respective values for major CHD were 85.7%, 99.96%, 93.75%, 99.92%, and 85.7%. The detection rate was not significantly different when classified by crown-rump length or number of fetuses. A weak correlation was observed between low detection rate of major CHD and lower maternal body mass index (BMI) (correlation ratio: 0.17). The detection rate was significantly higher when the fetus was scanned with its spine at the 5-7 o'clock position (posterior spine) than at other positions (odds ratio: 3.82, 95% confidence interval: 1.16-12.5, p = 0.02).

Conclusion: Posterior spine contributes to an improved diagnostic rate in first-trimester CHD screening. In addition, sonographers must recognize that low maternal BMI is a risk factor of false-negative results.

求助全文
通过发布文献求助,成功后即可免费获取论文全文。 去求助
来源期刊
CiteScore
3.30
自引率
11.10%
发文量
102
审稿时长
>12 weeks
期刊介绍: The Journal of Medical Ultrasonics is the official journal of the Japan Society of Ultrasonics in Medicine. The main purpose of the journal is to provide forum for the publication of papers documenting recent advances and new developments in the entire field of ultrasound in medicine and biology, encompassing both the medical and the engineering aspects of the science.The journal welcomes original articles, review articles, images, and letters to the editor.The journal also provides state-of-the-art information such as announcements from the boards and the committees of the society.
×
引用
GB/T 7714-2015
复制
MLA
复制
APA
复制
导出至
BibTeX EndNote RefMan NoteFirst NoteExpress
×
提示
您的信息不完整,为了账户安全,请先补充。
现在去补充
×
提示
您因"违规操作"
具体请查看互助需知
我知道了
×
提示
确定
请完成安全验证×
copy
已复制链接
快去分享给好友吧!
我知道了
右上角分享
点击右上角分享
0
联系我们:info@booksci.cn Book学术提供免费学术资源搜索服务,方便国内外学者检索中英文文献。致力于提供最便捷和优质的服务体验。 Copyright © 2023 布克学术 All rights reserved.
京ICP备2023020795号-1
ghs 京公网安备 11010802042870号
Book学术文献互助
Book学术文献互助群
群 号:604180095
Book学术官方微信