在热应激条件下,保护性脂肪、豆粕和热处理豆粕对早期育肥汉和公牛的性能、生理参数和行为测量的影响。

IF 2.5 2区 农林科学 Q1 AGRICULTURE, DAIRY & ANIMAL SCIENCE
Animal Bioscience Pub Date : 2025-02-01 Epub Date: 2024-10-24 DOI:10.5713/ab.24.0236
Jun Sik Woo, Sun Sik Jang, Jeong Hoon Kim, Hong Gu Lee, Keun Kyu Park
{"title":"在热应激条件下,保护性脂肪、豆粕和热处理豆粕对早期育肥汉和公牛的性能、生理参数和行为测量的影响。","authors":"Jun Sik Woo, Sun Sik Jang, Jeong Hoon Kim, Hong Gu Lee, Keun Kyu Park","doi":"10.5713/ab.24.0236","DOIUrl":null,"url":null,"abstract":"<p><strong>Objective: </strong>This study evaluated the effects of increased levels of dietary total digestible nutrient (TDN) and crude protein (CP) using protected fat (PF), soybean meal (SB), and heat-treated soybean meal (HSB) on performance, physiological parameters, and behavioral measurements of early-fattening Hanwoo steers under heat stress conditions.</p><p><strong>Methods: </strong>Thirty-six steers (480.9±58.6 kg, 15.9±1.4 months) were assigned to 4 treatments: control (TDN 75%, CP 15%, rumen degradable protein [RDP]:rumen undegradable protein [RUP] = 62:48); PF (TDN 82.5%, CP 15%, RDP:RUP = 62:48); PF+SB (TDN 82.5%, CP 16.5%, RDP:RUP = 62:48); and PF+SB+HSB (TDN 82.5%, CP 16.5%, RDP:RUP = 48:52) for a total of 16 weeks with division of 4 weeks. The average temperature-humidity index (THI) was 82.9 (1st; moderate), 76.9 (2nd; mild), 70.9 (3rd; comfort), and 65.8 (4th period; comfort).</p><p><strong>Results: </strong>Dry matter intake during whole period did not differ among treatments but decreased by 34% and 19%, respectively during 1st and 2nd compared to 4th. Average daily gain (ADG) of PF+SB+HSB was higher (p<0.05) than that of control during the 1st period, and those of both PF+SB and PF+SB+HSB were higher (p<0.05) than Control during the 2nd. The ADG during whole period was in the order of PF+SB+HSB (1.23), PF+SB (1.18), PF (1.11), control (0.98 kg/d) (p<0.05). As THI increased, rectal temperature and all blood parameters increased, while blood glucose levels decreased (p<0.05). Behavioral changes during 1st period compared to 3rd included decreases in lying (24%), walking (48%), and eating (40%), and increases in total standing (50%) and drinking (43%) (p<0.05). Rumination during standing was 38% higher, and rumination during lying was 32% lower (p<0.05).</p><p><strong>Conclusion: </strong>This study demonstrates 10% of increased levels of dietary TDN using PF and CP considering RUP can prevent performance reduction in early-fattening of heatstressed Hanwoo steers and have positive effects on performance recovery from post-heat stress.</p>","PeriodicalId":7825,"journal":{"name":"Animal Bioscience","volume":" ","pages":"278-292"},"PeriodicalIF":2.5000,"publicationDate":"2025-02-01","publicationTypes":"Journal Article","fieldsOfStudy":null,"isOpenAccess":false,"openAccessPdf":"https://www.ncbi.nlm.nih.gov/pmc/articles/PMC11725743/pdf/","citationCount":"0","resultStr":"{\"title\":\"Dietary effects of protected fat, soybean meal, and heat-treated soybean meal on performance, physiological parameters, and behavioral measurements of early-fattening Hanwoo steers under heat stress conditions.\",\"authors\":\"Jun Sik Woo, Sun Sik Jang, Jeong Hoon Kim, Hong Gu Lee, Keun Kyu Park\",\"doi\":\"10.5713/ab.24.0236\",\"DOIUrl\":null,\"url\":null,\"abstract\":\"<p><strong>Objective: </strong>This study evaluated the effects of increased levels of dietary total digestible nutrient (TDN) and crude protein (CP) using protected fat (PF), soybean meal (SB), and heat-treated soybean meal (HSB) on performance, physiological parameters, and behavioral measurements of early-fattening Hanwoo steers under heat stress conditions.</p><p><strong>Methods: </strong>Thirty-six steers (480.9±58.6 kg, 15.9±1.4 months) were assigned to 4 treatments: control (TDN 75%, CP 15%, rumen degradable protein [RDP]:rumen undegradable protein [RUP] = 62:48); PF (TDN 82.5%, CP 15%, RDP:RUP = 62:48); PF+SB (TDN 82.5%, CP 16.5%, RDP:RUP = 62:48); and PF+SB+HSB (TDN 82.5%, CP 16.5%, RDP:RUP = 48:52) for a total of 16 weeks with division of 4 weeks. The average temperature-humidity index (THI) was 82.9 (1st; moderate), 76.9 (2nd; mild), 70.9 (3rd; comfort), and 65.8 (4th period; comfort).</p><p><strong>Results: </strong>Dry matter intake during whole period did not differ among treatments but decreased by 34% and 19%, respectively during 1st and 2nd compared to 4th. Average daily gain (ADG) of PF+SB+HSB was higher (p<0.05) than that of control during the 1st period, and those of both PF+SB and PF+SB+HSB were higher (p<0.05) than Control during the 2nd. The ADG during whole period was in the order of PF+SB+HSB (1.23), PF+SB (1.18), PF (1.11), control (0.98 kg/d) (p<0.05). As THI increased, rectal temperature and all blood parameters increased, while blood glucose levels decreased (p<0.05). Behavioral changes during 1st period compared to 3rd included decreases in lying (24%), walking (48%), and eating (40%), and increases in total standing (50%) and drinking (43%) (p<0.05). Rumination during standing was 38% higher, and rumination during lying was 32% lower (p<0.05).</p><p><strong>Conclusion: </strong>This study demonstrates 10% of increased levels of dietary TDN using PF and CP considering RUP can prevent performance reduction in early-fattening of heatstressed Hanwoo steers and have positive effects on performance recovery from post-heat stress.</p>\",\"PeriodicalId\":7825,\"journal\":{\"name\":\"Animal Bioscience\",\"volume\":\" \",\"pages\":\"278-292\"},\"PeriodicalIF\":2.5000,\"publicationDate\":\"2025-02-01\",\"publicationTypes\":\"Journal Article\",\"fieldsOfStudy\":null,\"isOpenAccess\":false,\"openAccessPdf\":\"https://www.ncbi.nlm.nih.gov/pmc/articles/PMC11725743/pdf/\",\"citationCount\":\"0\",\"resultStr\":null,\"platform\":\"Semanticscholar\",\"paperid\":null,\"PeriodicalName\":\"Animal Bioscience\",\"FirstCategoryId\":\"97\",\"ListUrlMain\":\"https://doi.org/10.5713/ab.24.0236\",\"RegionNum\":2,\"RegionCategory\":\"农林科学\",\"ArticlePicture\":[],\"TitleCN\":null,\"AbstractTextCN\":null,\"PMCID\":null,\"EPubDate\":\"2024/10/24 0:00:00\",\"PubModel\":\"Epub\",\"JCR\":\"Q1\",\"JCRName\":\"AGRICULTURE, DAIRY & ANIMAL SCIENCE\",\"Score\":null,\"Total\":0}","platform":"Semanticscholar","paperid":null,"PeriodicalName":"Animal Bioscience","FirstCategoryId":"97","ListUrlMain":"https://doi.org/10.5713/ab.24.0236","RegionNum":2,"RegionCategory":"农林科学","ArticlePicture":[],"TitleCN":null,"AbstractTextCN":null,"PMCID":null,"EPubDate":"2024/10/24 0:00:00","PubModel":"Epub","JCR":"Q1","JCRName":"AGRICULTURE, DAIRY & ANIMAL SCIENCE","Score":null,"Total":0}
引用次数: 0

摘要

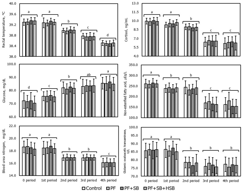
研究目的本研究评估了在热应激条件下,使用保护性脂肪(PF)、豆粕(SB)和热处理豆粕(HSB)增加日粮可消化总营养素(TDN)和粗蛋白(CP)水平对早期育肥汉和阉牛的性能、生理参数和行为测量的影响:将 36 头阉牛(480.9 ± 58.6 千克,15.9 ± 1.4 月龄)分配到 4 个处理中:对照组(TDN 75%,CP 15%,瘤胃可降解蛋白质[RDP]:瘤胃不可降解蛋白质[RUP]=62:48)、PF(TDN 82.5%,CP 15%,RDP:RUP=62:48)、PF+SB(TDN 82.5%,CP 16.5%,RDP:RUP=62:48)和 PF+SB+HSB (TDN 82.5%,CP 16.5%,RDP:RUP=48:52),共 16 周,每 4 周为一个阶段。平均温湿度指数(THI)为 82.9(第 1 期;温和)、76.9(第 2 期;温和)、70.9(第 3 期;舒适)和 65.8(第 4 期;舒适):各处理在整个期间的干物质摄入量没有差异,但第 1 期和第 2 期的干物质摄入量比第 4 期分别减少了 34% 和 19%。PF+SB+HSB的平均日增重(ADG)较高(p结论:该研究表明,PF+SB+HSB增加了10%的干物质摄入量:本研究表明,使用 PF 和 CP(考虑 RUP)提高日粮 TDN 水平 10%,可防止热应激汉和阉牛早期育肥性能下降,并对热应激后的性能恢复有积极影响。
本文章由计算机程序翻译,如有差异,请以英文原文为准。

Dietary effects of protected fat, soybean meal, and heat-treated soybean meal on performance, physiological parameters, and behavioral measurements of early-fattening Hanwoo steers under heat stress conditions.

Dietary effects of protected fat, soybean meal, and heat-treated soybean meal on performance, physiological parameters, and behavioral measurements of early-fattening Hanwoo steers under heat stress conditions.

Dietary effects of protected fat, soybean meal, and heat-treated soybean meal on performance, physiological parameters, and behavioral measurements of early-fattening Hanwoo steers under heat stress conditions.

Dietary effects of protected fat, soybean meal, and heat-treated soybean meal on performance, physiological parameters, and behavioral measurements of early-fattening Hanwoo steers under heat stress conditions.

Objective: This study evaluated the effects of increased levels of dietary total digestible nutrient (TDN) and crude protein (CP) using protected fat (PF), soybean meal (SB), and heat-treated soybean meal (HSB) on performance, physiological parameters, and behavioral measurements of early-fattening Hanwoo steers under heat stress conditions.

Methods: Thirty-six steers (480.9±58.6 kg, 15.9±1.4 months) were assigned to 4 treatments: control (TDN 75%, CP 15%, rumen degradable protein [RDP]:rumen undegradable protein [RUP] = 62:48); PF (TDN 82.5%, CP 15%, RDP:RUP = 62:48); PF+SB (TDN 82.5%, CP 16.5%, RDP:RUP = 62:48); and PF+SB+HSB (TDN 82.5%, CP 16.5%, RDP:RUP = 48:52) for a total of 16 weeks with division of 4 weeks. The average temperature-humidity index (THI) was 82.9 (1st; moderate), 76.9 (2nd; mild), 70.9 (3rd; comfort), and 65.8 (4th period; comfort).

Results: Dry matter intake during whole period did not differ among treatments but decreased by 34% and 19%, respectively during 1st and 2nd compared to 4th. Average daily gain (ADG) of PF+SB+HSB was higher (p<0.05) than that of control during the 1st period, and those of both PF+SB and PF+SB+HSB were higher (p<0.05) than Control during the 2nd. The ADG during whole period was in the order of PF+SB+HSB (1.23), PF+SB (1.18), PF (1.11), control (0.98 kg/d) (p<0.05). As THI increased, rectal temperature and all blood parameters increased, while blood glucose levels decreased (p<0.05). Behavioral changes during 1st period compared to 3rd included decreases in lying (24%), walking (48%), and eating (40%), and increases in total standing (50%) and drinking (43%) (p<0.05). Rumination during standing was 38% higher, and rumination during lying was 32% lower (p<0.05).

Conclusion: This study demonstrates 10% of increased levels of dietary TDN using PF and CP considering RUP can prevent performance reduction in early-fattening of heatstressed Hanwoo steers and have positive effects on performance recovery from post-heat stress.

求助全文
通过发布文献求助,成功后即可免费获取论文全文。 去求助
来源期刊
Animal Bioscience
Animal Bioscience AGRICULTURE, DAIRY & ANIMAL SCIENCE-
CiteScore
5.00
自引率
0.00%
发文量
223
审稿时长
3 months
×
引用
GB/T 7714-2015
复制
MLA
复制
APA
复制
导出至
BibTeX EndNote RefMan NoteFirst NoteExpress
×
提示
您的信息不完整,为了账户安全,请先补充。
现在去补充
×
提示
您因"违规操作"
具体请查看互助需知
我知道了
×
提示
确定
请完成安全验证×
copy
已复制链接
快去分享给好友吧!
我知道了
右上角分享
点击右上角分享
0
联系我们:info@booksci.cn Book学术提供免费学术资源搜索服务,方便国内外学者检索中英文文献。致力于提供最便捷和优质的服务体验。 Copyright © 2023 布克学术 All rights reserved.
京ICP备2023020795号-1
ghs 京公网安备 11010802042870号
Book学术文献互助
Book学术文献互助群
群 号:604180095
Book学术官方微信