Led-Fertyl研究中健康男性的精子和白细胞端粒长度与精子质量参数有关。

IF 11.1 Q1 OBSTETRICS & GYNECOLOGY
Human reproduction open Pub Date : 2024-10-14 eCollection Date: 2024-01-01 DOI:10.1093/hropen/hoae062
María Fernández de la Puente, Cristina Valle-Hita, Albert Salas-Huetos, María Ángeles Martínez, Elena Sánchez-Resino, Silvia Canudas, Daniel Torres-Oteros, Joana Relat, Nancy Babio, Jordi Salas-Salvadó
{"title":"Led-Fertyl研究中健康男性的精子和白细胞端粒长度与精子质量参数有关。","authors":"María Fernández de la Puente, Cristina Valle-Hita, Albert Salas-Huetos, María Ángeles Martínez, Elena Sánchez-Resino, Silvia Canudas, Daniel Torres-Oteros, Joana Relat, Nancy Babio, Jordi Salas-Salvadó","doi":"10.1093/hropen/hoae062","DOIUrl":null,"url":null,"abstract":"<p><strong>Study question: </strong>Could sperm and leukocyte telomere length (TL) be associated with sperm quality parameters and reproductive health in men from the general population?</p><p><strong>Summary answer: </strong>A positive association between sperm and leukocyte TL with sperm concentration and total count has been demonstrated.</p><p><strong>What is known already: </strong>Male factors account for almost half of cases of couple infertility, and shorter TLs have been observed in sperm from men with impaired sperm parameters. However, evidence in men from the general population is limited.</p><p><strong>Study design size duration: </strong>A total of 200 volunteers of reproductive age were recruited between February 2021 and April 2023 to participate in the Lifestyle and Environmental Determinants of Seminogram and Other Male Fertility-Related Parameters (Led-Fertyl) cross-sectional study.</p><p><strong>Participants/materials setting methods: </strong>TLs in sperm and leukocytes were measured using quantitative polymerase chain reaction (qPCR) in 168 and 194 participants, respectively. Sperm parameters, including concentration, total count, motility, vitality, and morphology, were analyzed using a computer-assisted sperm analysis (CASA) SCA<sup>®</sup> system according to the World Health Organization (WHO) 2010 guidelines. Multivariable regression models were performed to assess the associations between sperm and leukocyte TL, either in tertiles or as continuous variables, and sperm quality parameters while adjusting for potential confounders.</p><p><strong>Main results and the role of chance: </strong>Participants in tertiles 2 (T2) and 3 (T3) of sperm TL showed a higher sperm concentration (β: 1.09; 95% CI: 0.09-2.09 and β: 2.06; 95% CI: 1.04-3.09 for T2 and T3, respectively; <i>P</i>-trend < 0.001), compared to those in the reference tertile (T1). Participants in the highest tertile of sperm TL showed higher total sperm count (β: 3.83; 95% CI: 2.08-5.58 for T3 vs T1; <i>P</i>-trend < 0.001). Participants in the top tertile of leukocyte TL showed higher sperm concentration (β: 1.49; 95% CI: 0.44-2.54 for T3 vs T1; <i>P</i>-trend = 0.004), and total count (β: 3.49; 95% CI: 1.62-5.35 for T3 vs T1; <i>P</i>-trend < 0.001) compared with participants in T1. These results remained consistent when sperm and leukocyte TL were modelled as continuous variables.</p><p><strong>Limitations reasons for caution: </strong>One limitation is the impossibility of establishing a cause-effect relationship due to the cross-sectional study design. Additionally, the sample size of the study cannot be considered large.</p><p><strong>Wider implications of the findings: </strong>Sperm and leukocyte TLs are associated with sperm quality parameters in the general population. Additional determinations and further studies with larger sample sizes are needed to clarify the mechanisms underlying these associations and to investigate the further implications.</p><p><strong>Study funding/competing interests: </strong>The Led-Fertyl study was supported by the Spanish government's official funding agency for biomedical research, Instituto de Salud Carlos III (ISCIII), through the Fondo de Investigación para la Salud (FIS) and co-funded by the European Union ERDF/ESF, 'A way to make Europe'/'Investing in your future' (PI21/01447), and the Diputació de Tarragona (2021/11-No.Exp. 8004330008-2021-0022642). J.S.-S., senior author of the present study, is partially supported by ICREA under the ICREA Academia program. M.F.d.l.P. was supported by a predoctoral grant from the Rovira i Virgili University and Diputació de Tarragona (2020-PMF-PIPF-8). C.V.-H. received a predoctoral grant from the Generalitat de Catalunya (2022 FI_B100108). M.Á.M. was supported by the Sara Borrell postdoctoral fellowship (CD21/00045-Instituto de Salud Carlos III (ISCIII)). All authors declare that they have no conflicts of interest.</p><p><strong>Trial registration number: </strong>N/A.</p>","PeriodicalId":73264,"journal":{"name":"Human reproduction open","volume":"2024 4","pages":"hoae062"},"PeriodicalIF":11.1000,"publicationDate":"2024-10-14","publicationTypes":"Journal Article","fieldsOfStudy":null,"isOpenAccess":false,"openAccessPdf":"https://www.ncbi.nlm.nih.gov/pmc/articles/PMC11520404/pdf/","citationCount":"0","resultStr":"{\"title\":\"Sperm and leukocyte telomere length are related to sperm quality parameters in healthy men from the Led-Fertyl study.\",\"authors\":\"María Fernández de la Puente, Cristina Valle-Hita, Albert Salas-Huetos, María Ángeles Martínez, Elena Sánchez-Resino, Silvia Canudas, Daniel Torres-Oteros, Joana Relat, Nancy Babio, Jordi Salas-Salvadó\",\"doi\":\"10.1093/hropen/hoae062\",\"DOIUrl\":null,\"url\":null,\"abstract\":\"<p><strong>Study question: </strong>Could sperm and leukocyte telomere length (TL) be associated with sperm quality parameters and reproductive health in men from the general population?</p><p><strong>Summary answer: </strong>A positive association between sperm and leukocyte TL with sperm concentration and total count has been demonstrated.</p><p><strong>What is known already: </strong>Male factors account for almost half of cases of couple infertility, and shorter TLs have been observed in sperm from men with impaired sperm parameters. However, evidence in men from the general population is limited.</p><p><strong>Study design size duration: </strong>A total of 200 volunteers of reproductive age were recruited between February 2021 and April 2023 to participate in the Lifestyle and Environmental Determinants of Seminogram and Other Male Fertility-Related Parameters (Led-Fertyl) cross-sectional study.</p><p><strong>Participants/materials setting methods: </strong>TLs in sperm and leukocytes were measured using quantitative polymerase chain reaction (qPCR) in 168 and 194 participants, respectively. Sperm parameters, including concentration, total count, motility, vitality, and morphology, were analyzed using a computer-assisted sperm analysis (CASA) SCA<sup>®</sup> system according to the World Health Organization (WHO) 2010 guidelines. Multivariable regression models were performed to assess the associations between sperm and leukocyte TL, either in tertiles or as continuous variables, and sperm quality parameters while adjusting for potential confounders.</p><p><strong>Main results and the role of chance: </strong>Participants in tertiles 2 (T2) and 3 (T3) of sperm TL showed a higher sperm concentration (β: 1.09; 95% CI: 0.09-2.09 and β: 2.06; 95% CI: 1.04-3.09 for T2 and T3, respectively; <i>P</i>-trend < 0.001), compared to those in the reference tertile (T1). Participants in the highest tertile of sperm TL showed higher total sperm count (β: 3.83; 95% CI: 2.08-5.58 for T3 vs T1; <i>P</i>-trend < 0.001). Participants in the top tertile of leukocyte TL showed higher sperm concentration (β: 1.49; 95% CI: 0.44-2.54 for T3 vs T1; <i>P</i>-trend = 0.004), and total count (β: 3.49; 95% CI: 1.62-5.35 for T3 vs T1; <i>P</i>-trend < 0.001) compared with participants in T1. These results remained consistent when sperm and leukocyte TL were modelled as continuous variables.</p><p><strong>Limitations reasons for caution: </strong>One limitation is the impossibility of establishing a cause-effect relationship due to the cross-sectional study design. Additionally, the sample size of the study cannot be considered large.</p><p><strong>Wider implications of the findings: </strong>Sperm and leukocyte TLs are associated with sperm quality parameters in the general population. Additional determinations and further studies with larger sample sizes are needed to clarify the mechanisms underlying these associations and to investigate the further implications.</p><p><strong>Study funding/competing interests: </strong>The Led-Fertyl study was supported by the Spanish government's official funding agency for biomedical research, Instituto de Salud Carlos III (ISCIII), through the Fondo de Investigación para la Salud (FIS) and co-funded by the European Union ERDF/ESF, 'A way to make Europe'/'Investing in your future' (PI21/01447), and the Diputació de Tarragona (2021/11-No.Exp. 8004330008-2021-0022642). J.S.-S., senior author of the present study, is partially supported by ICREA under the ICREA Academia program. M.F.d.l.P. was supported by a predoctoral grant from the Rovira i Virgili University and Diputació de Tarragona (2020-PMF-PIPF-8). C.V.-H. received a predoctoral grant from the Generalitat de Catalunya (2022 FI_B100108). M.Á.M. was supported by the Sara Borrell postdoctoral fellowship (CD21/00045-Instituto de Salud Carlos III (ISCIII)). All authors declare that they have no conflicts of interest.</p><p><strong>Trial registration number: </strong>N/A.</p>\",\"PeriodicalId\":73264,\"journal\":{\"name\":\"Human reproduction open\",\"volume\":\"2024 4\",\"pages\":\"hoae062\"},\"PeriodicalIF\":11.1000,\"publicationDate\":\"2024-10-14\",\"publicationTypes\":\"Journal Article\",\"fieldsOfStudy\":null,\"isOpenAccess\":false,\"openAccessPdf\":\"https://www.ncbi.nlm.nih.gov/pmc/articles/PMC11520404/pdf/\",\"citationCount\":\"0\",\"resultStr\":null,\"platform\":\"Semanticscholar\",\"paperid\":null,\"PeriodicalName\":\"Human reproduction open\",\"FirstCategoryId\":\"1085\",\"ListUrlMain\":\"https://doi.org/10.1093/hropen/hoae062\",\"RegionNum\":0,\"RegionCategory\":null,\"ArticlePicture\":[],\"TitleCN\":null,\"AbstractTextCN\":null,\"PMCID\":null,\"EPubDate\":\"2024/1/1 0:00:00\",\"PubModel\":\"eCollection\",\"JCR\":\"Q1\",\"JCRName\":\"OBSTETRICS & GYNECOLOGY\",\"Score\":null,\"Total\":0}","platform":"Semanticscholar","paperid":null,"PeriodicalName":"Human reproduction open","FirstCategoryId":"1085","ListUrlMain":"https://doi.org/10.1093/hropen/hoae062","RegionNum":0,"RegionCategory":null,"ArticlePicture":[],"TitleCN":null,"AbstractTextCN":null,"PMCID":null,"EPubDate":"2024/1/1 0:00:00","PubModel":"eCollection","JCR":"Q1","JCRName":"OBSTETRICS & GYNECOLOGY","Score":null,"Total":0}
引用次数: 0

摘要

研究问题精子和白细胞端粒长度(TL)与普通人群中男性的精子质量参数和生殖健康是否相关?已证实精子和白细胞端粒长度与精子浓度和总计数呈正相关:男性因素几乎占夫妇不育症病例的一半,在精子参数受损的男性精子中观察到较短的TL。然而,来自普通人群的男性的证据却很有限:在 2021 年 2 月至 2023 年 4 月期间,共招募了 200 名育龄志愿者参与精液图和其他男性生育能力相关参数的生活方式和环境决定因素(Led-Fertyl)横断面研究:使用定量聚合酶链反应(qPCR)分别测量了 168 名和 194 名参与者精子和白细胞中的 TLs。根据世界卫生组织(WHO)2010 年指南,使用计算机辅助精子分析(CASA)SCA® 系统分析精子参数,包括浓度、总计数、活力、生命力和形态。在对潜在混杂因素进行调整后,采用多变量回归模型评估精子和白细胞TL(以三等分或连续变量表示)与精子质量参数之间的关系:主要结果和偶然性的作用:精子TL为2分层(T2)和3分层(T3)的参与者精子浓度较高(β:1.09; 95% CI: 0.09-2.09 和 β: 2.06; 95% CI: 1.04-3.09; P-trend P-trend P-trend = 0.004)和总计数(β:3.49; 95% CI: 1.62-5.35 for T3 vs T1; P-trend 局限性 需谨慎的原因:局限性之一是横断面研究设计无法确定因果关系。此外,该研究的样本量也不能算大:研究结果的广泛意义:在普通人群中,精子和白细胞TL与精子质量参数有关。需要进行更多的测定和样本量更大的进一步研究,以明确这些关联的机制,并探讨进一步的影响:Led-Fertyl研究得到了西班牙政府生物医学研究官方资助机构卡洛斯三世健康研究所(ISCIII)通过健康研究基金(FIS)提供的支持,并由欧盟ERDF/ESF "创造欧洲的方式"/"投资你的未来"(PI21/01447)和塔拉戈纳省议会(2021/11-No.Exp. 8004330008-2021-0022642)共同资助。J.S.-S.是本研究的第一作者,他的部分研究经费由 ICREA 学术项目提供。M.F.d.l.P. 获得了 Rovira i Virgili 大学和塔拉戈纳省议会的博士前期资助(2020-PMF-PIPF-8)。C.V.-H.获得了加泰罗尼亚自治区政府(2022 FI_B100108)的博士前期资助。M.Á.M. 获得了 Sara Borrell 博士后奖学金(CD21/00045-Instituto de Salud Carlos III (ISCIII))。所有作者声明不存在利益冲突:不适用。
本文章由计算机程序翻译,如有差异,请以英文原文为准。

Sperm and leukocyte telomere length are related to sperm quality parameters in healthy men from the Led-Fertyl study.

Sperm and leukocyte telomere length are related to sperm quality parameters in healthy men from the Led-Fertyl study.

Sperm and leukocyte telomere length are related to sperm quality parameters in healthy men from the Led-Fertyl study.

Sperm and leukocyte telomere length are related to sperm quality parameters in healthy men from the Led-Fertyl study.

Study question: Could sperm and leukocyte telomere length (TL) be associated with sperm quality parameters and reproductive health in men from the general population?

Summary answer: A positive association between sperm and leukocyte TL with sperm concentration and total count has been demonstrated.

What is known already: Male factors account for almost half of cases of couple infertility, and shorter TLs have been observed in sperm from men with impaired sperm parameters. However, evidence in men from the general population is limited.

Study design size duration: A total of 200 volunteers of reproductive age were recruited between February 2021 and April 2023 to participate in the Lifestyle and Environmental Determinants of Seminogram and Other Male Fertility-Related Parameters (Led-Fertyl) cross-sectional study.

Participants/materials setting methods: TLs in sperm and leukocytes were measured using quantitative polymerase chain reaction (qPCR) in 168 and 194 participants, respectively. Sperm parameters, including concentration, total count, motility, vitality, and morphology, were analyzed using a computer-assisted sperm analysis (CASA) SCA® system according to the World Health Organization (WHO) 2010 guidelines. Multivariable regression models were performed to assess the associations between sperm and leukocyte TL, either in tertiles or as continuous variables, and sperm quality parameters while adjusting for potential confounders.

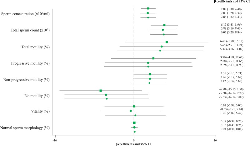
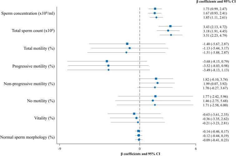
Main results and the role of chance: Participants in tertiles 2 (T2) and 3 (T3) of sperm TL showed a higher sperm concentration (β: 1.09; 95% CI: 0.09-2.09 and β: 2.06; 95% CI: 1.04-3.09 for T2 and T3, respectively; P-trend < 0.001), compared to those in the reference tertile (T1). Participants in the highest tertile of sperm TL showed higher total sperm count (β: 3.83; 95% CI: 2.08-5.58 for T3 vs T1; P-trend < 0.001). Participants in the top tertile of leukocyte TL showed higher sperm concentration (β: 1.49; 95% CI: 0.44-2.54 for T3 vs T1; P-trend = 0.004), and total count (β: 3.49; 95% CI: 1.62-5.35 for T3 vs T1; P-trend < 0.001) compared with participants in T1. These results remained consistent when sperm and leukocyte TL were modelled as continuous variables.

Limitations reasons for caution: One limitation is the impossibility of establishing a cause-effect relationship due to the cross-sectional study design. Additionally, the sample size of the study cannot be considered large.

Wider implications of the findings: Sperm and leukocyte TLs are associated with sperm quality parameters in the general population. Additional determinations and further studies with larger sample sizes are needed to clarify the mechanisms underlying these associations and to investigate the further implications.

Study funding/competing interests: The Led-Fertyl study was supported by the Spanish government's official funding agency for biomedical research, Instituto de Salud Carlos III (ISCIII), through the Fondo de Investigación para la Salud (FIS) and co-funded by the European Union ERDF/ESF, 'A way to make Europe'/'Investing in your future' (PI21/01447), and the Diputació de Tarragona (2021/11-No.Exp. 8004330008-2021-0022642). J.S.-S., senior author of the present study, is partially supported by ICREA under the ICREA Academia program. M.F.d.l.P. was supported by a predoctoral grant from the Rovira i Virgili University and Diputació de Tarragona (2020-PMF-PIPF-8). C.V.-H. received a predoctoral grant from the Generalitat de Catalunya (2022 FI_B100108). M.Á.M. was supported by the Sara Borrell postdoctoral fellowship (CD21/00045-Instituto de Salud Carlos III (ISCIII)). All authors declare that they have no conflicts of interest.

Trial registration number: N/A.

求助全文
通过发布文献求助,成功后即可免费获取论文全文。 去求助
来源期刊
CiteScore
15.50
自引率
0.00%
发文量
0
审稿时长
12 weeks
×
引用
GB/T 7714-2015
复制
MLA
复制
APA
复制
导出至
BibTeX EndNote RefMan NoteFirst NoteExpress
×
提示
您的信息不完整,为了账户安全,请先补充。
现在去补充
×
提示
您因"违规操作"
具体请查看互助需知
我知道了
×
提示
确定
请完成安全验证×
copy
已复制链接
快去分享给好友吧!
我知道了
右上角分享
点击右上角分享
0
联系我们:info@booksci.cn Book学术提供免费学术资源搜索服务,方便国内外学者检索中英文文献。致力于提供最便捷和优质的服务体验。 Copyright © 2023 布克学术 All rights reserved.
京ICP备2023020795号-1
ghs 京公网安备 11010802042870号
Book学术文献互助
Book学术文献互助群
群 号:604180095
Book学术官方微信