评估健康猫咪口服曲唑酮、加巴喷丁或它们的复方制剂的镇静特性。

IF 2.1 2区 农林科学 Q2 VETERINARY SCIENCES
Laura E Tucker, Andrea Sanchez, Alexander Valverde, Shauna Blois, Gabrielle Monteith, Pamela Longworth, Alison Downie, Yu Gu, Ron Johnson
{"title":"评估健康猫咪口服曲唑酮、加巴喷丁或它们的复方制剂的镇静特性。","authors":"Laura E Tucker, Andrea Sanchez, Alexander Valverde, Shauna Blois, Gabrielle Monteith, Pamela Longworth, Alison Downie, Yu Gu, Ron Johnson","doi":"10.1177/1098612X241281481","DOIUrl":null,"url":null,"abstract":"<p><strong>Objectives: </strong>Sedation before veterinary visits is advocated to help reduce fear and anxiety in cats and facilitate safe handling. The aim of this study was to evaluate the effectiveness of trazodone, gabapentin and a trazodone/gabapentin combination for oral sedation in healthy feline patients before blood donation.</p><p><strong>Methods: </strong>A total of 21 cats were included in the study. Baseline sedation scores were obtained, and cats were randomly assigned to receive oral trazodone at 5 mg/kg (T), oral gabapentin at 10 mg/kg (G), their combination (TG) or placebo (control group). A sedation score was obtained 1 h after drug administration. A blood sample was obtained at the time of blood collection for quantification of drug plasma concentrations. Agreement between observers was tested with a Cohen's Kappa test. Sign tests to compare change within treatment and a Skilling-Mack rank ANOVA to test for differences between groups were performed to compare pre- and post-sedation scores as well as a magnitude of differences over time between the groups. A Spearman's rank correlation coefficient test was used to correlate sedation scores with drug plasma concentrations.</p><p><strong>Results: </strong>Post-sedation final scores were significantly higher only in the T (<i>P</i> = 0.022) and TG groups (<i>P</i> <0.001). The magnitude of change between pre- and post-sedation scores was larger in the TG (<i>P</i> <0.0032) and T groups (<i>P</i> <0.038) compared with the control group. There were no other significant differences between the groups. There was no correlation between drug plasma concentrations and sedation scores in any of the groups.</p><p><strong>Conclusions and relevance: </strong>Administration of oral trazodone alone at 5 mg/kg or in combination with gabapentin at 10 mg/kg resulted in significant sedation in healthy cats with no evident side effects. The degree of sedation was more profound when both drugs were combined, but a gabapentin dose of 10 mg/kg alone failed to provide significant sedation in this population.</p>","PeriodicalId":15851,"journal":{"name":"Journal of Feline Medicine and Surgery","volume":"26 10","pages":"1098612X241281481"},"PeriodicalIF":2.1000,"publicationDate":"2024-10-01","publicationTypes":"Journal Article","fieldsOfStudy":null,"isOpenAccess":false,"openAccessPdf":"https://www.ncbi.nlm.nih.gov/pmc/articles/PMC11529088/pdf/","citationCount":"0","resultStr":"{\"title\":\"Evaluation of the sedative properties of oral trazodone, gabapentin or their combination in healthy cats.\",\"authors\":\"Laura E Tucker, Andrea Sanchez, Alexander Valverde, Shauna Blois, Gabrielle Monteith, Pamela Longworth, Alison Downie, Yu Gu, Ron Johnson\",\"doi\":\"10.1177/1098612X241281481\",\"DOIUrl\":null,\"url\":null,\"abstract\":\"<p><strong>Objectives: </strong>Sedation before veterinary visits is advocated to help reduce fear and anxiety in cats and facilitate safe handling. The aim of this study was to evaluate the effectiveness of trazodone, gabapentin and a trazodone/gabapentin combination for oral sedation in healthy feline patients before blood donation.</p><p><strong>Methods: </strong>A total of 21 cats were included in the study. Baseline sedation scores were obtained, and cats were randomly assigned to receive oral trazodone at 5 mg/kg (T), oral gabapentin at 10 mg/kg (G), their combination (TG) or placebo (control group). A sedation score was obtained 1 h after drug administration. A blood sample was obtained at the time of blood collection for quantification of drug plasma concentrations. Agreement between observers was tested with a Cohen's Kappa test. Sign tests to compare change within treatment and a Skilling-Mack rank ANOVA to test for differences between groups were performed to compare pre- and post-sedation scores as well as a magnitude of differences over time between the groups. A Spearman's rank correlation coefficient test was used to correlate sedation scores with drug plasma concentrations.</p><p><strong>Results: </strong>Post-sedation final scores were significantly higher only in the T (<i>P</i> = 0.022) and TG groups (<i>P</i> <0.001). The magnitude of change between pre- and post-sedation scores was larger in the TG (<i>P</i> <0.0032) and T groups (<i>P</i> <0.038) compared with the control group. There were no other significant differences between the groups. There was no correlation between drug plasma concentrations and sedation scores in any of the groups.</p><p><strong>Conclusions and relevance: </strong>Administration of oral trazodone alone at 5 mg/kg or in combination with gabapentin at 10 mg/kg resulted in significant sedation in healthy cats with no evident side effects. The degree of sedation was more profound when both drugs were combined, but a gabapentin dose of 10 mg/kg alone failed to provide significant sedation in this population.</p>\",\"PeriodicalId\":15851,\"journal\":{\"name\":\"Journal of Feline Medicine and Surgery\",\"volume\":\"26 10\",\"pages\":\"1098612X241281481\"},\"PeriodicalIF\":2.1000,\"publicationDate\":\"2024-10-01\",\"publicationTypes\":\"Journal Article\",\"fieldsOfStudy\":null,\"isOpenAccess\":false,\"openAccessPdf\":\"https://www.ncbi.nlm.nih.gov/pmc/articles/PMC11529088/pdf/\",\"citationCount\":\"0\",\"resultStr\":null,\"platform\":\"Semanticscholar\",\"paperid\":null,\"PeriodicalName\":\"Journal of Feline Medicine and Surgery\",\"FirstCategoryId\":\"97\",\"ListUrlMain\":\"https://doi.org/10.1177/1098612X241281481\",\"RegionNum\":2,\"RegionCategory\":\"农林科学\",\"ArticlePicture\":[],\"TitleCN\":null,\"AbstractTextCN\":null,\"PMCID\":null,\"EPubDate\":\"\",\"PubModel\":\"\",\"JCR\":\"Q2\",\"JCRName\":\"VETERINARY SCIENCES\",\"Score\":null,\"Total\":0}","platform":"Semanticscholar","paperid":null,"PeriodicalName":"Journal of Feline Medicine and Surgery","FirstCategoryId":"97","ListUrlMain":"https://doi.org/10.1177/1098612X241281481","RegionNum":2,"RegionCategory":"农林科学","ArticlePicture":[],"TitleCN":null,"AbstractTextCN":null,"PMCID":null,"EPubDate":"","PubModel":"","JCR":"Q2","JCRName":"VETERINARY SCIENCES","Score":null,"Total":0}
引用次数: 0

摘要

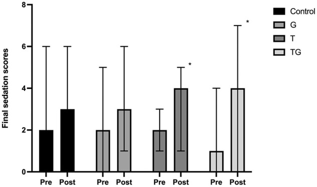
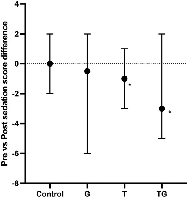
目的:提倡在兽医诊疗前使用镇静剂,以帮助减少猫的恐惧和焦虑,促进安全操作。本研究的目的是评估曲唑酮、加巴喷丁和曲唑酮/加巴喷丁组合用于健康猫科动物献血前口服镇静剂的效果:研究共纳入 21 只猫。获得基线镇静评分后,随机分配猫咪接受 5 毫克/千克的曲唑酮口服液(T)、10 毫克/千克的加巴喷丁口服液(G)、这两种药物的复方制剂(TG)或安慰剂(对照组)。用药 1 小时后进行镇静评分。在采血时采集血液样本,以量化药物血浆浓度。观察者之间的一致性采用科恩卡帕检验(Cohen's Kappa test)。为了比较镇静前后的评分以及组间随时间变化的差异幅度,还进行了符号检验以比较治疗内的变化,以及 Skilling-Mack 秩方差分析以检验组间差异。使用斯皮尔曼秩相关系数检验将镇静评分与药物血浆浓度相关联:结果:只有 T 组(P = 0.022)和 TG 组(P = 0.022)镇静后的最终评分明显较高:单独口服 5 毫克/千克的曲唑酮或与 10 毫克/千克的加巴喷丁联合口服,可使健康猫咪明显镇静,且无明显副作用。两种药物联合使用时,镇静程度更深,但单独使用 10 毫克/千克剂量的加巴喷丁无法为这一人群提供明显的镇静效果。
本文章由计算机程序翻译,如有差异,请以英文原文为准。

Evaluation of the sedative properties of oral trazodone, gabapentin or their combination in healthy cats.

Evaluation of the sedative properties of oral trazodone, gabapentin or their combination in healthy cats.

Evaluation of the sedative properties of oral trazodone, gabapentin or their combination in healthy cats.

Evaluation of the sedative properties of oral trazodone, gabapentin or their combination in healthy cats.

Objectives: Sedation before veterinary visits is advocated to help reduce fear and anxiety in cats and facilitate safe handling. The aim of this study was to evaluate the effectiveness of trazodone, gabapentin and a trazodone/gabapentin combination for oral sedation in healthy feline patients before blood donation.

Methods: A total of 21 cats were included in the study. Baseline sedation scores were obtained, and cats were randomly assigned to receive oral trazodone at 5 mg/kg (T), oral gabapentin at 10 mg/kg (G), their combination (TG) or placebo (control group). A sedation score was obtained 1 h after drug administration. A blood sample was obtained at the time of blood collection for quantification of drug plasma concentrations. Agreement between observers was tested with a Cohen's Kappa test. Sign tests to compare change within treatment and a Skilling-Mack rank ANOVA to test for differences between groups were performed to compare pre- and post-sedation scores as well as a magnitude of differences over time between the groups. A Spearman's rank correlation coefficient test was used to correlate sedation scores with drug plasma concentrations.

Results: Post-sedation final scores were significantly higher only in the T (P = 0.022) and TG groups (P <0.001). The magnitude of change between pre- and post-sedation scores was larger in the TG (P <0.0032) and T groups (P <0.038) compared with the control group. There were no other significant differences between the groups. There was no correlation between drug plasma concentrations and sedation scores in any of the groups.

Conclusions and relevance: Administration of oral trazodone alone at 5 mg/kg or in combination with gabapentin at 10 mg/kg resulted in significant sedation in healthy cats with no evident side effects. The degree of sedation was more profound when both drugs were combined, but a gabapentin dose of 10 mg/kg alone failed to provide significant sedation in this population.

求助全文
通过发布文献求助,成功后即可免费获取论文全文。 去求助
来源期刊
CiteScore
3.90
自引率
17.60%
发文量
254
审稿时长
8-16 weeks
期刊介绍: JFMS is an international, peer-reviewed journal aimed at both practitioners and researchers with an interest in the clinical veterinary healthcare of domestic cats. The journal is published monthly in two formats: ‘Classic’ editions containing high-quality original papers on all aspects of feline medicine and surgery, including basic research relevant to clinical practice; and dedicated ‘Clinical Practice’ editions primarily containing opinionated review articles providing state-of-the-art information for feline clinicians, along with other relevant articles such as consensus guidelines.
×
引用
GB/T 7714-2015
复制
MLA
复制
APA
复制
导出至
BibTeX EndNote RefMan NoteFirst NoteExpress
×
提示
您的信息不完整,为了账户安全,请先补充。
现在去补充
×
提示
您因"违规操作"
具体请查看互助需知
我知道了
×
提示
确定
请完成安全验证×
copy
已复制链接
快去分享给好友吧!
我知道了
右上角分享
点击右上角分享
0
联系我们:info@booksci.cn Book学术提供免费学术资源搜索服务,方便国内外学者检索中英文文献。致力于提供最便捷和优质的服务体验。 Copyright © 2023 布克学术 All rights reserved.
京ICP备2023020795号-1
ghs 京公网安备 11010802042870号
Book学术文献互助
Book学术文献互助群
群 号:604180095
Book学术官方微信