产前在怀孕早期和中期接触空气污染与 1 至 3 岁时的不良神经发育结果有关。

IF 5.3 2区 环境科学与生态学 Q1 ENVIRONMENTAL SCIENCES
Frederica Perera, Yuqi Miao, Zev Ross, Virginia Rauh, Amy Margolis, Lori Hoepner, Kylie W Riley, Julie Herbstman, Shuang Wang
{"title":"产前在怀孕早期和中期接触空气污染与 1 至 3 岁时的不良神经发育结果有关。","authors":"Frederica Perera, Yuqi Miao, Zev Ross, Virginia Rauh, Amy Margolis, Lori Hoepner, Kylie W Riley, Julie Herbstman, Shuang Wang","doi":"10.1186/s12940-024-01132-9","DOIUrl":null,"url":null,"abstract":"<p><strong>Background: </strong>A large body of data shows that fetal brain development is vulnerable to disruption by air pollution experienced by the mother during pregnancy, adversely affecting cognitive and psychomotor capabilities during childhood (De Asis-Cruz et al., Biol Psychiatry 7:480-90, 2022; Morgan ZEM et al., Environ Health 22:11, 2023). This study has sought to identify gestational windows of susceptibility to prenatal exposure to air pollution.</p><p><strong>Methods: </strong>470 African American and Latina mother/child pairs participated in a prospective cohort study based in the low-income communities of Northern Manhattan and the South Bronx, New York City. Gestational exposure to respirable particulate matter (PM<sub>2.5</sub>) and nitrogen dioxide (NO<sub>2</sub>) was assessed through validated models in relation to cognitive and motor development assessed at ages 1, 2, and 3 years using the Bayley-II Scales. Multiple linear regression models and distributed lag models (DLM) were used to identify critical windows of exposure by trimester and week of pregnancy.</p><p><strong>Results: </strong>By linear regression, average exposures to NO<sub>2</sub> during the first and second trimesters and the entire pregnancy were significantly and negatively associated with the mental developmental index (MDI) at age 1. Average exposures to PM<sub>2.5</sub> during the second trimester and the entire pregnancy were also significantly, inversely associated with age 1 MDI. No significant associations were found between these exposures and MDI at age 2. NO<sub>2</sub> exposure during the first trimester was significantly negatively associated with MDI at age 3. Using DLM, exposures to NO<sub>2</sub> at lags 29-30 weeks (within the first trimester) and PM<sub>2.5</sub> at lags 17-18 weeks (second trimester) were significantly and inversely associated with MDI at age 1. Significant, inverse associations were found between exposures to NO<sub>2</sub> at lag 29 weeks and PM<sub>2.5</sub> at lags 27-29 weeks and children's MDI at age 3. No significant associations were found between psychomotor index (PDI) and prenatal exposures to NO<sub>2</sub> or PM<sub>2.5</sub> at ages 1, 2 or 3.</p><p><strong>Conclusions: </strong>Our finding that prenatal exposure to air pollution in the first and second trimesters was associated with lower scores for cognitive development at ages 1 and 3 is of concern because of the potential consequences of these outcomes for long-term functioning. They underscore the need for stronger policies to protect pregnant individuals and offspring, particularly during vulnerable, early life-stage of development.</p>","PeriodicalId":11686,"journal":{"name":"Environmental Health","volume":"23 1","pages":"95"},"PeriodicalIF":5.3000,"publicationDate":"2024-10-30","publicationTypes":"Journal Article","fieldsOfStudy":null,"isOpenAccess":false,"openAccessPdf":"https://www.ncbi.nlm.nih.gov/pmc/articles/PMC11526525/pdf/","citationCount":"0","resultStr":"{\"title\":\"Prenatal exposure to air pollution during the early and middle stages of pregnancy is associated with adverse neurodevelopmental outcomes at ages 1 to 3 years.\",\"authors\":\"Frederica Perera, Yuqi Miao, Zev Ross, Virginia Rauh, Amy Margolis, Lori Hoepner, Kylie W Riley, Julie Herbstman, Shuang Wang\",\"doi\":\"10.1186/s12940-024-01132-9\",\"DOIUrl\":null,\"url\":null,\"abstract\":\"<p><strong>Background: </strong>A large body of data shows that fetal brain development is vulnerable to disruption by air pollution experienced by the mother during pregnancy, adversely affecting cognitive and psychomotor capabilities during childhood (De Asis-Cruz et al., Biol Psychiatry 7:480-90, 2022; Morgan ZEM et al., Environ Health 22:11, 2023). This study has sought to identify gestational windows of susceptibility to prenatal exposure to air pollution.</p><p><strong>Methods: </strong>470 African American and Latina mother/child pairs participated in a prospective cohort study based in the low-income communities of Northern Manhattan and the South Bronx, New York City. Gestational exposure to respirable particulate matter (PM<sub>2.5</sub>) and nitrogen dioxide (NO<sub>2</sub>) was assessed through validated models in relation to cognitive and motor development assessed at ages 1, 2, and 3 years using the Bayley-II Scales. Multiple linear regression models and distributed lag models (DLM) were used to identify critical windows of exposure by trimester and week of pregnancy.</p><p><strong>Results: </strong>By linear regression, average exposures to NO<sub>2</sub> during the first and second trimesters and the entire pregnancy were significantly and negatively associated with the mental developmental index (MDI) at age 1. Average exposures to PM<sub>2.5</sub> during the second trimester and the entire pregnancy were also significantly, inversely associated with age 1 MDI. No significant associations were found between these exposures and MDI at age 2. NO<sub>2</sub> exposure during the first trimester was significantly negatively associated with MDI at age 3. Using DLM, exposures to NO<sub>2</sub> at lags 29-30 weeks (within the first trimester) and PM<sub>2.5</sub> at lags 17-18 weeks (second trimester) were significantly and inversely associated with MDI at age 1. Significant, inverse associations were found between exposures to NO<sub>2</sub> at lag 29 weeks and PM<sub>2.5</sub> at lags 27-29 weeks and children's MDI at age 3. No significant associations were found between psychomotor index (PDI) and prenatal exposures to NO<sub>2</sub> or PM<sub>2.5</sub> at ages 1, 2 or 3.</p><p><strong>Conclusions: </strong>Our finding that prenatal exposure to air pollution in the first and second trimesters was associated with lower scores for cognitive development at ages 1 and 3 is of concern because of the potential consequences of these outcomes for long-term functioning. They underscore the need for stronger policies to protect pregnant individuals and offspring, particularly during vulnerable, early life-stage of development.</p>\",\"PeriodicalId\":11686,\"journal\":{\"name\":\"Environmental Health\",\"volume\":\"23 1\",\"pages\":\"95\"},\"PeriodicalIF\":5.3000,\"publicationDate\":\"2024-10-30\",\"publicationTypes\":\"Journal Article\",\"fieldsOfStudy\":null,\"isOpenAccess\":false,\"openAccessPdf\":\"https://www.ncbi.nlm.nih.gov/pmc/articles/PMC11526525/pdf/\",\"citationCount\":\"0\",\"resultStr\":null,\"platform\":\"Semanticscholar\",\"paperid\":null,\"PeriodicalName\":\"Environmental Health\",\"FirstCategoryId\":\"93\",\"ListUrlMain\":\"https://doi.org/10.1186/s12940-024-01132-9\",\"RegionNum\":2,\"RegionCategory\":\"环境科学与生态学\",\"ArticlePicture\":[],\"TitleCN\":null,\"AbstractTextCN\":null,\"PMCID\":null,\"EPubDate\":\"\",\"PubModel\":\"\",\"JCR\":\"Q1\",\"JCRName\":\"ENVIRONMENTAL SCIENCES\",\"Score\":null,\"Total\":0}","platform":"Semanticscholar","paperid":null,"PeriodicalName":"Environmental Health","FirstCategoryId":"93","ListUrlMain":"https://doi.org/10.1186/s12940-024-01132-9","RegionNum":2,"RegionCategory":"环境科学与生态学","ArticlePicture":[],"TitleCN":null,"AbstractTextCN":null,"PMCID":null,"EPubDate":"","PubModel":"","JCR":"Q1","JCRName":"ENVIRONMENTAL SCIENCES","Score":null,"Total":0}
引用次数: 0

摘要

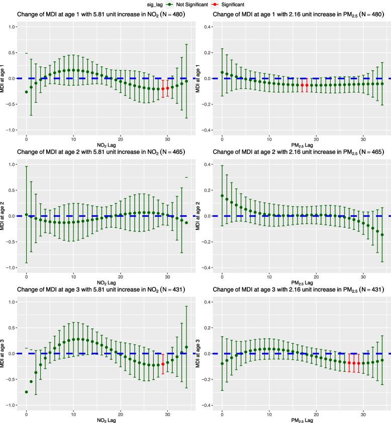
背景:大量数据表明,胎儿的大脑发育很容易受到母亲在怀孕期间所经历的空气污染的干扰,从而对儿童时期的认知能力和精神运动能力产生不利影响(De Asis-Cruz 等人,《生物精神病学》7:480-90,2022 年;Morgan ZEM 等人,《环境健康》22:11,2023 年)。方法:470 对非洲裔美国人和拉丁裔母婴参加了一项前瞻性队列研究,研究地点位于纽约市曼哈顿北部和布朗克斯南部的低收入社区。妊娠期暴露于可吸入颗粒物(PM2.5)和二氧化氮(NO2)与1、2、3岁时使用贝利II量表评估的认知和运动发育的关系通过验证模型进行了评估。采用多元线性回归模型和分布式滞后模型(DLM)来确定按孕期和孕周划分的关键暴露窗口:通过线性回归,孕期前三个月和后三个月以及整个孕期的二氧化氮平均暴露量与 1 岁时的智力发育指数(MDI)呈显著负相关。怀孕后三个月和整个孕期的 PM2.5 平均暴露量也与 1 岁时的智力发育指数呈显著的负相关。在这些暴露与 2 岁时的智力发育指数之间没有发现明显的关联。孕期前三个月的二氧化氮暴露与 3 岁时的计量吸入器呈显著负相关。利用 DLM,滞后 29-30 周(妊娠头三个月内)的 NO2 暴露和滞后 17-18 周(妊娠后三个月)的 PM2.5 暴露与 1 岁时的计量吸入器呈显著的反相关。滞后 29 周的 NO2 暴露和滞后 27-29 周的 PM2.5 暴露与儿童 3 岁时的 MDI 之间存在显著的反向关系。在1、2或3岁时,精神运动指数(PDI)与产前暴露于二氧化氮或PM2.5之间没有发现明显的关联:我们发现,产前第一和第二个三个月暴露于空气污染与 1 岁和 3 岁时较低的认知发展得分有关,这一结果令人担忧,因为这些结果可能会对长期功能产生影响。这突出表明有必要制定更强有力的政策来保护孕妇和后代,尤其是在脆弱的生命早期发育阶段。
本文章由计算机程序翻译,如有差异,请以英文原文为准。

Prenatal exposure to air pollution during the early and middle stages of pregnancy is associated with adverse neurodevelopmental outcomes at ages 1 to 3 years.

Prenatal exposure to air pollution during the early and middle stages of pregnancy is associated with adverse neurodevelopmental outcomes at ages 1 to 3 years.

Prenatal exposure to air pollution during the early and middle stages of pregnancy is associated with adverse neurodevelopmental outcomes at ages 1 to 3 years.

Prenatal exposure to air pollution during the early and middle stages of pregnancy is associated with adverse neurodevelopmental outcomes at ages 1 to 3 years.

Background: A large body of data shows that fetal brain development is vulnerable to disruption by air pollution experienced by the mother during pregnancy, adversely affecting cognitive and psychomotor capabilities during childhood (De Asis-Cruz et al., Biol Psychiatry 7:480-90, 2022; Morgan ZEM et al., Environ Health 22:11, 2023). This study has sought to identify gestational windows of susceptibility to prenatal exposure to air pollution.

Methods: 470 African American and Latina mother/child pairs participated in a prospective cohort study based in the low-income communities of Northern Manhattan and the South Bronx, New York City. Gestational exposure to respirable particulate matter (PM2.5) and nitrogen dioxide (NO2) was assessed through validated models in relation to cognitive and motor development assessed at ages 1, 2, and 3 years using the Bayley-II Scales. Multiple linear regression models and distributed lag models (DLM) were used to identify critical windows of exposure by trimester and week of pregnancy.

Results: By linear regression, average exposures to NO2 during the first and second trimesters and the entire pregnancy were significantly and negatively associated with the mental developmental index (MDI) at age 1. Average exposures to PM2.5 during the second trimester and the entire pregnancy were also significantly, inversely associated with age 1 MDI. No significant associations were found between these exposures and MDI at age 2. NO2 exposure during the first trimester was significantly negatively associated with MDI at age 3. Using DLM, exposures to NO2 at lags 29-30 weeks (within the first trimester) and PM2.5 at lags 17-18 weeks (second trimester) were significantly and inversely associated with MDI at age 1. Significant, inverse associations were found between exposures to NO2 at lag 29 weeks and PM2.5 at lags 27-29 weeks and children's MDI at age 3. No significant associations were found between psychomotor index (PDI) and prenatal exposures to NO2 or PM2.5 at ages 1, 2 or 3.

Conclusions: Our finding that prenatal exposure to air pollution in the first and second trimesters was associated with lower scores for cognitive development at ages 1 and 3 is of concern because of the potential consequences of these outcomes for long-term functioning. They underscore the need for stronger policies to protect pregnant individuals and offspring, particularly during vulnerable, early life-stage of development.

求助全文
通过发布文献求助,成功后即可免费获取论文全文。 去求助
来源期刊
Environmental Health
Environmental Health 环境科学-公共卫生、环境卫生与职业卫生
CiteScore
10.10
自引率
1.70%
发文量
115
审稿时长
3.0 months
期刊介绍: Environmental Health publishes manuscripts on all aspects of environmental and occupational medicine and related studies in toxicology and epidemiology. Environmental Health is aimed at scientists and practitioners in all areas of environmental science where human health and well-being are involved, either directly or indirectly. Environmental Health is a public health journal serving the public health community and scientists working on matters of public health interest and importance pertaining to the environment.
×
引用
GB/T 7714-2015
复制
MLA
复制
APA
复制
导出至
BibTeX EndNote RefMan NoteFirst NoteExpress
×
提示
您的信息不完整,为了账户安全,请先补充。
现在去补充
×
提示
您因"违规操作"
具体请查看互助需知
我知道了
×
提示
确定
请完成安全验证×
copy
已复制链接
快去分享给好友吧!
我知道了
右上角分享
点击右上角分享
0
联系我们:info@booksci.cn Book学术提供免费学术资源搜索服务,方便国内外学者检索中英文文献。致力于提供最便捷和优质的服务体验。 Copyright © 2023 布克学术 All rights reserved.
京ICP备2023020795号-1
ghs 京公网安备 11010802042870号
Book学术文献互助
Book学术文献互助群
群 号:604180095
Book学术官方微信