将卵圆孔搏动指数作为发育异常胎儿的早期受影响多普勒研究:基于前瞻性研究的最新实践启示。

IF 1.5 Q2 MEDICINE, GENERAL & INTERNAL
Azam Faraji, Fereshteh Gharibpour, Niloofar Namazi, Ali Mohammad Shakiba, Maryam Kasraeian, Nasrin Asadi, Homeira Vafaei, Marjan Zare, Khadijeh Bazrafshan, Zahra Oveisi
{"title":"将卵圆孔搏动指数作为发育异常胎儿的早期受影响多普勒研究:基于前瞻性研究的最新实践启示。","authors":"Azam Faraji, Fereshteh Gharibpour, Niloofar Namazi, Ali Mohammad Shakiba, Maryam Kasraeian, Nasrin Asadi, Homeira Vafaei, Marjan Zare, Khadijeh Bazrafshan, Zahra Oveisi","doi":"10.30476/ijms.2024.100177.3231","DOIUrl":null,"url":null,"abstract":"<p><strong>Background: </strong>Routine Doppler study is a common tool for early diagnosis of Fetal Growth Restriction (FGR) and Small for Gestational Age (SGA) patients. It aimed to determine the role of the Foramen Ovale Pulsatility Index (FOPI) study beside routine Doppler study among patients with FGR and SGA fetuses.</p><p><strong>Methods: </strong>This prospective study was conducted on 35 FGR, 32 SGA, and 33 Appropriate for Gestational Age (AGA) fetuses. Demographic data, amniotic fluid index, neonatal outcome, and Doppler velocimetry, including Umbilical Artery Pulsatility Index (UMAPI), Uterine Artery Pulsatility Index (UTAPI), Middle Cerebral Artery Pulsatility Index (MCAPI), Ductus Venosus Pulsatility Index (DVPI), and FOPI were documented. Kolmogorov-Smirnov normality test, one-way ANOVA, Mann-Whitney U, Kruskal-Wallis, non-parametric pairwise comparisons adjusted for Bonferroni correction, Pearson correlation test, Chi square, Fisher's exact test, and Receiver Operating Characteristic Curve (ROC) analysis with Youden's Index (sensitivity+specificity-1) to estimate cut-off point were used to analyze the data at significance level <0.05 for all tests.</p><p><strong>Results: </strong>FOPI cut-off points were 2.24 (sensitivity=77%, specificity=94%) and 1.15 (sensitivity=90%, specificity=20%) to predict FGR and SGA, respectively. FOPI showed a positive correlation with UMAPI and UTAPI (r=0.52 and r=0.30, P<0.001 and P=0.006, respectively), but not with MCAPI and DVPI (r=0.08 and r=0.12, P=0.50 and P=0.30, respectively). Besides, UMAPI, UTAPI, and FOPI were altered among patients with stages I and II FGR. Umbilical cord potential hydrogen (umbilical cord pH), 1- and 5-min Apgar score significantly increased by Birth weight centile; however, UMAPI, FOPI, and UTAPI significantly decreased.</p><p><strong>Conclusion: </strong>UMAPI is recommended to predict short-term neonatal morbidities and demonstrate the early or late onset FGR. Besides, FOPI is suggested as the first-line Doppler study to detect abnormal growth velocity. More studies are warranted, especially considering long-term neonatal morbidities.</p>","PeriodicalId":14510,"journal":{"name":"Iranian Journal of Medical Sciences","volume":"49 10","pages":"632-642"},"PeriodicalIF":1.5000,"publicationDate":"2024-10-01","publicationTypes":"Journal Article","fieldsOfStudy":null,"isOpenAccess":false,"openAccessPdf":"https://www.ncbi.nlm.nih.gov/pmc/articles/PMC11497320/pdf/","citationCount":"0","resultStr":"{\"title\":\"Foramen Ovale Pulsatility Index as an Early Affected Doppler Study among Abnormal Growth Fetuses: A Recent Insight for Practice Based on a Prospective Study.\",\"authors\":\"Azam Faraji, Fereshteh Gharibpour, Niloofar Namazi, Ali Mohammad Shakiba, Maryam Kasraeian, Nasrin Asadi, Homeira Vafaei, Marjan Zare, Khadijeh Bazrafshan, Zahra Oveisi\",\"doi\":\"10.30476/ijms.2024.100177.3231\",\"DOIUrl\":null,\"url\":null,\"abstract\":\"<p><strong>Background: </strong>Routine Doppler study is a common tool for early diagnosis of Fetal Growth Restriction (FGR) and Small for Gestational Age (SGA) patients. It aimed to determine the role of the Foramen Ovale Pulsatility Index (FOPI) study beside routine Doppler study among patients with FGR and SGA fetuses.</p><p><strong>Methods: </strong>This prospective study was conducted on 35 FGR, 32 SGA, and 33 Appropriate for Gestational Age (AGA) fetuses. Demographic data, amniotic fluid index, neonatal outcome, and Doppler velocimetry, including Umbilical Artery Pulsatility Index (UMAPI), Uterine Artery Pulsatility Index (UTAPI), Middle Cerebral Artery Pulsatility Index (MCAPI), Ductus Venosus Pulsatility Index (DVPI), and FOPI were documented. Kolmogorov-Smirnov normality test, one-way ANOVA, Mann-Whitney U, Kruskal-Wallis, non-parametric pairwise comparisons adjusted for Bonferroni correction, Pearson correlation test, Chi square, Fisher's exact test, and Receiver Operating Characteristic Curve (ROC) analysis with Youden's Index (sensitivity+specificity-1) to estimate cut-off point were used to analyze the data at significance level <0.05 for all tests.</p><p><strong>Results: </strong>FOPI cut-off points were 2.24 (sensitivity=77%, specificity=94%) and 1.15 (sensitivity=90%, specificity=20%) to predict FGR and SGA, respectively. FOPI showed a positive correlation with UMAPI and UTAPI (r=0.52 and r=0.30, P<0.001 and P=0.006, respectively), but not with MCAPI and DVPI (r=0.08 and r=0.12, P=0.50 and P=0.30, respectively). Besides, UMAPI, UTAPI, and FOPI were altered among patients with stages I and II FGR. Umbilical cord potential hydrogen (umbilical cord pH), 1- and 5-min Apgar score significantly increased by Birth weight centile; however, UMAPI, FOPI, and UTAPI significantly decreased.</p><p><strong>Conclusion: </strong>UMAPI is recommended to predict short-term neonatal morbidities and demonstrate the early or late onset FGR. Besides, FOPI is suggested as the first-line Doppler study to detect abnormal growth velocity. More studies are warranted, especially considering long-term neonatal morbidities.</p>\",\"PeriodicalId\":14510,\"journal\":{\"name\":\"Iranian Journal of Medical Sciences\",\"volume\":\"49 10\",\"pages\":\"632-642\"},\"PeriodicalIF\":1.5000,\"publicationDate\":\"2024-10-01\",\"publicationTypes\":\"Journal Article\",\"fieldsOfStudy\":null,\"isOpenAccess\":false,\"openAccessPdf\":\"https://www.ncbi.nlm.nih.gov/pmc/articles/PMC11497320/pdf/\",\"citationCount\":\"0\",\"resultStr\":null,\"platform\":\"Semanticscholar\",\"paperid\":null,\"PeriodicalName\":\"Iranian Journal of Medical Sciences\",\"FirstCategoryId\":\"1085\",\"ListUrlMain\":\"https://doi.org/10.30476/ijms.2024.100177.3231\",\"RegionNum\":0,\"RegionCategory\":null,\"ArticlePicture\":[],\"TitleCN\":null,\"AbstractTextCN\":null,\"PMCID\":null,\"EPubDate\":\"\",\"PubModel\":\"\",\"JCR\":\"Q2\",\"JCRName\":\"MEDICINE, GENERAL & INTERNAL\",\"Score\":null,\"Total\":0}","platform":"Semanticscholar","paperid":null,"PeriodicalName":"Iranian Journal of Medical Sciences","FirstCategoryId":"1085","ListUrlMain":"https://doi.org/10.30476/ijms.2024.100177.3231","RegionNum":0,"RegionCategory":null,"ArticlePicture":[],"TitleCN":null,"AbstractTextCN":null,"PMCID":null,"EPubDate":"","PubModel":"","JCR":"Q2","JCRName":"MEDICINE, GENERAL & INTERNAL","Score":null,"Total":0}
引用次数: 0

摘要

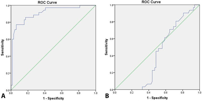
背景:常规多普勒检查是早期诊断胎儿生长受限(FGR)和小于胎龄(SGA)患者的常用工具。该研究旨在确定卵圆孔脉动指数(FOPI)研究在 FGR 和 SGA 胎儿患者常规多普勒检查中的作用:这项前瞻性研究针对 35 名 FGR 胎儿、32 名 SGA 胎儿和 33 名适合妊娠年龄(AGA)胎儿。研究记录了人口统计学数据、羊水指数、新生儿结局以及多普勒速度测量,包括脐动脉脉动指数(UMAPI)、子宫动脉脉动指数(UTAPI)、大脑中动脉脉动指数(MCAPI)、静脉导管脉动指数(DVPI)和FOPI。采用 Kolmogorov-Smirnov 正态性检验、单因素方差分析、Mann-Whitney U、Kruskal-Wallis、经 Bonferroni 校正的非参数配对比较、Pearson 相关性检验、Chi 平方、费雪精确检验和用 Youden 指数(敏感性+特异性-1)估计临界点的接收者工作特征曲线(ROC)分析对数据进行显著性水平分析 结果:预测 FGR 和 SGA 的 FOPI 临界点分别为 2.24(灵敏度=77%,特异度=94%)和 1.15(灵敏度=90%,特异度=20%)。FOPI 与 UMAPI 和 UTAPI 呈正相关(r=0.52 和 r=0.30):建议使用 UMAPI 预测新生儿短期内的发病情况,并显示 FGR 发病的早晚。此外,建议将 FOPI 作为检测生长速度异常的一线多普勒检查。还需要进行更多的研究,尤其是考虑到新生儿的长期发病率。
本文章由计算机程序翻译,如有差异,请以英文原文为准。

Foramen Ovale Pulsatility Index as an Early Affected Doppler Study among Abnormal Growth Fetuses: A Recent Insight for Practice Based on a Prospective Study.

Foramen Ovale Pulsatility Index as an Early Affected Doppler Study among Abnormal Growth Fetuses: A Recent Insight for Practice Based on a Prospective Study.

Foramen Ovale Pulsatility Index as an Early Affected Doppler Study among Abnormal Growth Fetuses: A Recent Insight for Practice Based on a Prospective Study.

Background: Routine Doppler study is a common tool for early diagnosis of Fetal Growth Restriction (FGR) and Small for Gestational Age (SGA) patients. It aimed to determine the role of the Foramen Ovale Pulsatility Index (FOPI) study beside routine Doppler study among patients with FGR and SGA fetuses.

Methods: This prospective study was conducted on 35 FGR, 32 SGA, and 33 Appropriate for Gestational Age (AGA) fetuses. Demographic data, amniotic fluid index, neonatal outcome, and Doppler velocimetry, including Umbilical Artery Pulsatility Index (UMAPI), Uterine Artery Pulsatility Index (UTAPI), Middle Cerebral Artery Pulsatility Index (MCAPI), Ductus Venosus Pulsatility Index (DVPI), and FOPI were documented. Kolmogorov-Smirnov normality test, one-way ANOVA, Mann-Whitney U, Kruskal-Wallis, non-parametric pairwise comparisons adjusted for Bonferroni correction, Pearson correlation test, Chi square, Fisher's exact test, and Receiver Operating Characteristic Curve (ROC) analysis with Youden's Index (sensitivity+specificity-1) to estimate cut-off point were used to analyze the data at significance level <0.05 for all tests.

Results: FOPI cut-off points were 2.24 (sensitivity=77%, specificity=94%) and 1.15 (sensitivity=90%, specificity=20%) to predict FGR and SGA, respectively. FOPI showed a positive correlation with UMAPI and UTAPI (r=0.52 and r=0.30, P<0.001 and P=0.006, respectively), but not with MCAPI and DVPI (r=0.08 and r=0.12, P=0.50 and P=0.30, respectively). Besides, UMAPI, UTAPI, and FOPI were altered among patients with stages I and II FGR. Umbilical cord potential hydrogen (umbilical cord pH), 1- and 5-min Apgar score significantly increased by Birth weight centile; however, UMAPI, FOPI, and UTAPI significantly decreased.

Conclusion: UMAPI is recommended to predict short-term neonatal morbidities and demonstrate the early or late onset FGR. Besides, FOPI is suggested as the first-line Doppler study to detect abnormal growth velocity. More studies are warranted, especially considering long-term neonatal morbidities.

求助全文
通过发布文献求助,成功后即可免费获取论文全文。 去求助
来源期刊
Iranian Journal of Medical Sciences
Iranian Journal of Medical Sciences MEDICINE, GENERAL & INTERNAL-
CiteScore
3.20
自引率
0.00%
发文量
84
审稿时长
12 weeks
期刊介绍: The Iranian Journal of Medical Sciences (IJMS) is an international quarterly biomedical publication, which is sponsored by Shiraz University of Medical Sciences. The IJMS intends to provide a scientific medium of com­muni­cation for researchers throughout the globe. The journal welcomes original clinical articles as well as clinically oriented basic science re­search experiences on prevalent diseases in the region and analysis of various regional problems.
×
引用
GB/T 7714-2015
复制
MLA
复制
APA
复制
导出至
BibTeX EndNote RefMan NoteFirst NoteExpress
×
提示
您的信息不完整,为了账户安全,请先补充。
现在去补充
×
提示
您因"违规操作"
具体请查看互助需知
我知道了
×
提示
确定
请完成安全验证×
copy
已复制链接
快去分享给好友吧!
我知道了
右上角分享
点击右上角分享
0
联系我们:info@booksci.cn Book学术提供免费学术资源搜索服务,方便国内外学者检索中英文文献。致力于提供最便捷和优质的服务体验。 Copyright © 2023 布克学术 All rights reserved.
京ICP备2023020795号-1
ghs 京公网安备 11010802042870号
Book学术文献互助
Book学术文献互助群
群 号:604180095
Book学术官方微信