发育协调障碍、痉挛性脑瘫和发育正常儿童的连续平衡表现。

IF 3.4 3区 医学 Q1 REHABILITATION
Charlotte Johnson, Ann Hallemans, Pieter Meyns, Silke Velghe, Nina Jacobs, Evi Verbecque, Katrijn Klingels
{"title":"发育协调障碍、痉挛性脑瘫和发育正常儿童的连续平衡表现。","authors":"Charlotte Johnson, Ann Hallemans, Pieter Meyns, Silke Velghe, Nina Jacobs, Evi Verbecque, Katrijn Klingels","doi":"10.23736/S1973-9087.24.08472-7","DOIUrl":null,"url":null,"abstract":"<p><strong>Background: </strong>Balance deficits are one of the most common impairments in developmental coordination disorder (DCD) and cerebral palsy (CP), with shared characteristics between both groups. However, balance deficits in DCD are very heterogeneous, but unlike in CP, they are poorly understood.</p><p><strong>Aim: </strong>To unravel the heterogeneity of balance performance in children with DCD by comparing them with CP and typical development (TD).</p><p><strong>Design: </strong>Cross-sectional case-control study.</p><p><strong>Setting: </strong>Different outpatient settings and the community.</p><p><strong>Population: </strong>Children aged 5-10.9 years with TD (N.=64, boys: 34, mean [SD] age: 8.1 [1.6]), DCD (N.=39, boys: 32, mean [SD] age: 8.1 [1.5], formal diagnosis [N.=27]), and CP (N.=24, boys: 14, mean [SD] age: 7.5 [1.4], GMFCS level I [N.=14]/II [N.=10], unilateral [N.=13]/bilateral [N.=11]).</p><p><strong>Methods: </strong>We evaluated balance performance with the extended version of the Kids-Balance Evaluation Systems Test (Kids-BESTest). Between-group differences in domain and total scores (%) were assessed via ANCOVA (covariate: age), with Tukey post-hoc analyses (P≤0.01).</p><p><strong>Results: </strong>Children with DCD and CP performed poorer than TD children on total and domain scores with large effects (domains: η<sup>2</sup>=0.25-0.66 [P<0.001], total: η<sup>2</sup>=0.71 [P<0.001]). Still, post hoc comparisons revealed that DCD children scored significantly better than CP on the total score and four domains (P≤0.009), while performing similarly on tasks related to stability limits (P=0.999) and gait stability (P=0.012).</p><p><strong>Conclusions: </strong>There is a continuum of balance performance between children with TD, DCD and CP, but with great inter- and intra-individual heterogeneity in DCD and CP. DCD and CP children have difficulties with tasks requiring anticipatory postural adjustments, fast reactive responses, and with tasks that require complex sensory integration, suggesting an internal modeling deficit in both groups. This implies that these children must rely on slow conscious feedback-based control rather than fast feedforward control and fast automatic feedback. The performance of both DCD and CP children on their stability limits/verticality is similarly poor which further emphasizes a potential deficit in their sensory input and/or integration. Future research must focus on unraveling the control mechanisms, to further understand the heterogeneity of these balance deficits.</p><p><strong>Clinical rehabilitation impact: </strong>The heterogeneous balance performances in both children with DCD and CP underscore the importance of comprehensively evaluating balance deficits in both groups. This comprehensive assessment contributes to a better understanding of individual balance deficits, thereby facilitating more tailored treatment programs.</p>","PeriodicalId":12044,"journal":{"name":"European journal of physical and rehabilitation medicine","volume":" ","pages":"956-969"},"PeriodicalIF":3.4000,"publicationDate":"2024-12-01","publicationTypes":"Journal Article","fieldsOfStudy":null,"isOpenAccess":false,"openAccessPdf":"https://www.ncbi.nlm.nih.gov/pmc/articles/PMC11713626/pdf/","citationCount":"0","resultStr":"{\"title\":\"A continuum of balance performance between children with developmental coordination disorder, spastic cerebral palsy, and typical development.\",\"authors\":\"Charlotte Johnson, Ann Hallemans, Pieter Meyns, Silke Velghe, Nina Jacobs, Evi Verbecque, Katrijn Klingels\",\"doi\":\"10.23736/S1973-9087.24.08472-7\",\"DOIUrl\":null,\"url\":null,\"abstract\":\"<p><strong>Background: </strong>Balance deficits are one of the most common impairments in developmental coordination disorder (DCD) and cerebral palsy (CP), with shared characteristics between both groups. However, balance deficits in DCD are very heterogeneous, but unlike in CP, they are poorly understood.</p><p><strong>Aim: </strong>To unravel the heterogeneity of balance performance in children with DCD by comparing them with CP and typical development (TD).</p><p><strong>Design: </strong>Cross-sectional case-control study.</p><p><strong>Setting: </strong>Different outpatient settings and the community.</p><p><strong>Population: </strong>Children aged 5-10.9 years with TD (N.=64, boys: 34, mean [SD] age: 8.1 [1.6]), DCD (N.=39, boys: 32, mean [SD] age: 8.1 [1.5], formal diagnosis [N.=27]), and CP (N.=24, boys: 14, mean [SD] age: 7.5 [1.4], GMFCS level I [N.=14]/II [N.=10], unilateral [N.=13]/bilateral [N.=11]).</p><p><strong>Methods: </strong>We evaluated balance performance with the extended version of the Kids-Balance Evaluation Systems Test (Kids-BESTest). Between-group differences in domain and total scores (%) were assessed via ANCOVA (covariate: age), with Tukey post-hoc analyses (P≤0.01).</p><p><strong>Results: </strong>Children with DCD and CP performed poorer than TD children on total and domain scores with large effects (domains: η<sup>2</sup>=0.25-0.66 [P<0.001], total: η<sup>2</sup>=0.71 [P<0.001]). Still, post hoc comparisons revealed that DCD children scored significantly better than CP on the total score and four domains (P≤0.009), while performing similarly on tasks related to stability limits (P=0.999) and gait stability (P=0.012).</p><p><strong>Conclusions: </strong>There is a continuum of balance performance between children with TD, DCD and CP, but with great inter- and intra-individual heterogeneity in DCD and CP. DCD and CP children have difficulties with tasks requiring anticipatory postural adjustments, fast reactive responses, and with tasks that require complex sensory integration, suggesting an internal modeling deficit in both groups. This implies that these children must rely on slow conscious feedback-based control rather than fast feedforward control and fast automatic feedback. The performance of both DCD and CP children on their stability limits/verticality is similarly poor which further emphasizes a potential deficit in their sensory input and/or integration. Future research must focus on unraveling the control mechanisms, to further understand the heterogeneity of these balance deficits.</p><p><strong>Clinical rehabilitation impact: </strong>The heterogeneous balance performances in both children with DCD and CP underscore the importance of comprehensively evaluating balance deficits in both groups. This comprehensive assessment contributes to a better understanding of individual balance deficits, thereby facilitating more tailored treatment programs.</p>\",\"PeriodicalId\":12044,\"journal\":{\"name\":\"European journal of physical and rehabilitation medicine\",\"volume\":\" \",\"pages\":\"956-969\"},\"PeriodicalIF\":3.4000,\"publicationDate\":\"2024-12-01\",\"publicationTypes\":\"Journal Article\",\"fieldsOfStudy\":null,\"isOpenAccess\":false,\"openAccessPdf\":\"https://www.ncbi.nlm.nih.gov/pmc/articles/PMC11713626/pdf/\",\"citationCount\":\"0\",\"resultStr\":null,\"platform\":\"Semanticscholar\",\"paperid\":null,\"PeriodicalName\":\"European journal of physical and rehabilitation medicine\",\"FirstCategoryId\":\"3\",\"ListUrlMain\":\"https://doi.org/10.23736/S1973-9087.24.08472-7\",\"RegionNum\":3,\"RegionCategory\":\"医学\",\"ArticlePicture\":[],\"TitleCN\":null,\"AbstractTextCN\":null,\"PMCID\":null,\"EPubDate\":\"2024/10/23 0:00:00\",\"PubModel\":\"Epub\",\"JCR\":\"Q1\",\"JCRName\":\"REHABILITATION\",\"Score\":null,\"Total\":0}","platform":"Semanticscholar","paperid":null,"PeriodicalName":"European journal of physical and rehabilitation medicine","FirstCategoryId":"3","ListUrlMain":"https://doi.org/10.23736/S1973-9087.24.08472-7","RegionNum":3,"RegionCategory":"医学","ArticlePicture":[],"TitleCN":null,"AbstractTextCN":null,"PMCID":null,"EPubDate":"2024/10/23 0:00:00","PubModel":"Epub","JCR":"Q1","JCRName":"REHABILITATION","Score":null,"Total":0}
引用次数: 0

摘要

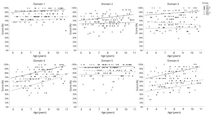
背景:平衡障碍是发育协调障碍(DCD)和脑瘫(CP)中最常见的障碍之一,这两个群体之间具有共同的特征。目的:通过将 DCD 儿童与 CP 和典型发育(TD)儿童进行比较,揭示 DCD 儿童平衡能力的异质性:设计:横断面病例对照研究:环境:不同的门诊环境和社区:研究对象: 年龄在 5-10.9 岁的 TD(N.=64,男孩:34,平均[标码]年龄:8.1 [1.6])、DCD(N.=39,男孩:32,平均[标码]年龄:8.1 [1.5],正式诊断[N.=27])和 CP(N.=24,男孩:14,平均[标码]年龄:7.5 [1.4],GMFCS I 级 [N.=14]/II [N.=10],单侧 [N.=13]/ 双侧 [N.=11]):我们使用儿童平衡评估系统测试(Kids-BESTest)的扩展版对平衡能力进行评估。通过方差分析(协变量:年龄)和Tukey事后分析(P≤0.01)评估组间在领域和总分(%)上的差异:结果:在总分和领域分上,患有 DCD 和 CP 的儿童比患有 TD 的儿童表现更差,且影响较大(领域:η2=0.25-0.66 [P2=0.71 [结论:平衡能力表现存在连续性:TD、DCD和CP儿童的平衡能力存在连续性,但DCD和CP儿童的个体间和个体内异质性很大。DCD 和 CP 儿童在完成需要预测性姿势调整、快速反应的任务以及需要复杂感觉整合的任务时会遇到困难,这表明这两个群体都存在内部建模缺陷。这意味着这些儿童必须依靠缓慢的有意识反馈控制,而不是快速的前馈控制和快速的自动反馈。在稳定性极限/垂直度方面,DCD 和 CP 儿童的表现同样不佳,这进一步强调了他们在感觉输入和/或整合方面的潜在缺陷。未来的研究必须侧重于揭示控制机制,以进一步了解这些平衡缺陷的异质性:临床康复的影响:残疾儿童发展障碍和CP儿童的平衡能力表现各不相同,这凸显了全面评估这两类儿童平衡能力缺陷的重要性。这种综合评估有助于更好地了解个体的平衡缺陷,从而促进更有针对性的治疗方案。
本文章由计算机程序翻译,如有差异,请以英文原文为准。

A continuum of balance performance between children with developmental coordination disorder, spastic cerebral palsy, and typical development.

A continuum of balance performance between children with developmental coordination disorder, spastic cerebral palsy, and typical development.

A continuum of balance performance between children with developmental coordination disorder, spastic cerebral palsy, and typical development.

A continuum of balance performance between children with developmental coordination disorder, spastic cerebral palsy, and typical development.

Background: Balance deficits are one of the most common impairments in developmental coordination disorder (DCD) and cerebral palsy (CP), with shared characteristics between both groups. However, balance deficits in DCD are very heterogeneous, but unlike in CP, they are poorly understood.

Aim: To unravel the heterogeneity of balance performance in children with DCD by comparing them with CP and typical development (TD).

Design: Cross-sectional case-control study.

Setting: Different outpatient settings and the community.

Population: Children aged 5-10.9 years with TD (N.=64, boys: 34, mean [SD] age: 8.1 [1.6]), DCD (N.=39, boys: 32, mean [SD] age: 8.1 [1.5], formal diagnosis [N.=27]), and CP (N.=24, boys: 14, mean [SD] age: 7.5 [1.4], GMFCS level I [N.=14]/II [N.=10], unilateral [N.=13]/bilateral [N.=11]).

Methods: We evaluated balance performance with the extended version of the Kids-Balance Evaluation Systems Test (Kids-BESTest). Between-group differences in domain and total scores (%) were assessed via ANCOVA (covariate: age), with Tukey post-hoc analyses (P≤0.01).

Results: Children with DCD and CP performed poorer than TD children on total and domain scores with large effects (domains: η2=0.25-0.66 [P<0.001], total: η2=0.71 [P<0.001]). Still, post hoc comparisons revealed that DCD children scored significantly better than CP on the total score and four domains (P≤0.009), while performing similarly on tasks related to stability limits (P=0.999) and gait stability (P=0.012).

Conclusions: There is a continuum of balance performance between children with TD, DCD and CP, but with great inter- and intra-individual heterogeneity in DCD and CP. DCD and CP children have difficulties with tasks requiring anticipatory postural adjustments, fast reactive responses, and with tasks that require complex sensory integration, suggesting an internal modeling deficit in both groups. This implies that these children must rely on slow conscious feedback-based control rather than fast feedforward control and fast automatic feedback. The performance of both DCD and CP children on their stability limits/verticality is similarly poor which further emphasizes a potential deficit in their sensory input and/or integration. Future research must focus on unraveling the control mechanisms, to further understand the heterogeneity of these balance deficits.

Clinical rehabilitation impact: The heterogeneous balance performances in both children with DCD and CP underscore the importance of comprehensively evaluating balance deficits in both groups. This comprehensive assessment contributes to a better understanding of individual balance deficits, thereby facilitating more tailored treatment programs.

求助全文
通过发布文献求助,成功后即可免费获取论文全文。 去求助
来源期刊
CiteScore
8.50
自引率
4.40%
发文量
162
审稿时长
6-12 weeks
期刊介绍: The European Journal of Physical and Rehabilitation Medicine publishes papers of clinical interest in physical and rehabilitation medicine.
×
引用
GB/T 7714-2015
复制
MLA
复制
APA
复制
导出至
BibTeX EndNote RefMan NoteFirst NoteExpress
×
提示
您的信息不完整,为了账户安全,请先补充。
现在去补充
×
提示
您因"违规操作"
具体请查看互助需知
我知道了
×
提示
确定
请完成安全验证×
copy
已复制链接
快去分享给好友吧!
我知道了
右上角分享
点击右上角分享
0
联系我们:info@booksci.cn Book学术提供免费学术资源搜索服务,方便国内外学者检索中英文文献。致力于提供最便捷和优质的服务体验。 Copyright © 2023 布克学术 All rights reserved.
京ICP备2023020795号-1
ghs 京公网安备 11010802042870号
Book学术文献互助
Book学术文献互助群
群 号:604180095
Book学术官方微信