AGO2 蛋白:作为肾上腺皮质癌新型生物标志物的 miRNA 通路中的一个关键酶。

IF 4.6
Endocrine-related cancer Pub Date : 2024-11-20 Print Date: 2024-12-01 DOI:10.1530/ERC-24-0061
Anila Hashmi, Alexander Papachristos, Stan Sidhu, Gyorgy Hutvagner
{"title":"AGO2 蛋白:作为肾上腺皮质癌新型生物标志物的 miRNA 通路中的一个关键酶。","authors":"Anila Hashmi, Alexander Papachristos, Stan Sidhu, Gyorgy Hutvagner","doi":"10.1530/ERC-24-0061","DOIUrl":null,"url":null,"abstract":"<p><p>Adrenocortical carcinoma (ACC) is a rare and aggressive malignancy characterized by diagnostic challenges, high recurrence rates, and poor prognosis. This study explored the role of miRNA processing genes in ACC and their potential role as diagnostic and prognostic biomarkers. We analyzed the mRNA expression levels of miRNA machinery components (DROSHA, DGCR8, XPO5, RAN, DICER, TARBP2, and AGO2) utilizing mRNA-Seq data from The Cancer Genome Atlas (TCGA) and The Genotype-Tissue Expression (GTEx) projects. Additionally, protein levels were quantified in tissue samples from the Kolling Institute of Medical Research's tumor bank. Our results demonstrated that among all miRNA processing components, AGO2 exhibited significant overexpression in ACC compared to the normal adrenal cortex and benign adrenal adenoma (P < 0.001). Kaplan-Meier survival analysis indicated that higher AGO2 expression correlated with significantly worse overall survival in ACC patients (HR: 7.07, P < 0.001). Among 32 cancer types in TCGA, the prognostic significance of AGO2 was most prominent in ACC. This study is the first to report AGO2's potential as a diagnostic and prognostic biomarker in ACC, emphasizing its significance in ACC pathogenesis and potential application as a non-invasive liquid biopsy biomarker.</p>","PeriodicalId":93989,"journal":{"name":"Endocrine-related cancer","volume":" ","pages":""},"PeriodicalIF":4.6000,"publicationDate":"2024-11-20","publicationTypes":"Journal Article","fieldsOfStudy":null,"isOpenAccess":false,"openAccessPdf":"https://www.ncbi.nlm.nih.gov/pmc/articles/PMC11623120/pdf/","citationCount":"0","resultStr":"{\"title\":\"AGO2 protein: a key enzyme in the miRNA pathway as a novel biomarker in adrenocortical carcinoma.\",\"authors\":\"Anila Hashmi, Alexander Papachristos, Stan Sidhu, Gyorgy Hutvagner\",\"doi\":\"10.1530/ERC-24-0061\",\"DOIUrl\":null,\"url\":null,\"abstract\":\"<p><p>Adrenocortical carcinoma (ACC) is a rare and aggressive malignancy characterized by diagnostic challenges, high recurrence rates, and poor prognosis. This study explored the role of miRNA processing genes in ACC and their potential role as diagnostic and prognostic biomarkers. We analyzed the mRNA expression levels of miRNA machinery components (DROSHA, DGCR8, XPO5, RAN, DICER, TARBP2, and AGO2) utilizing mRNA-Seq data from The Cancer Genome Atlas (TCGA) and The Genotype-Tissue Expression (GTEx) projects. Additionally, protein levels were quantified in tissue samples from the Kolling Institute of Medical Research's tumor bank. Our results demonstrated that among all miRNA processing components, AGO2 exhibited significant overexpression in ACC compared to the normal adrenal cortex and benign adrenal adenoma (P < 0.001). Kaplan-Meier survival analysis indicated that higher AGO2 expression correlated with significantly worse overall survival in ACC patients (HR: 7.07, P < 0.001). Among 32 cancer types in TCGA, the prognostic significance of AGO2 was most prominent in ACC. This study is the first to report AGO2's potential as a diagnostic and prognostic biomarker in ACC, emphasizing its significance in ACC pathogenesis and potential application as a non-invasive liquid biopsy biomarker.</p>\",\"PeriodicalId\":93989,\"journal\":{\"name\":\"Endocrine-related cancer\",\"volume\":\" \",\"pages\":\"\"},\"PeriodicalIF\":4.6000,\"publicationDate\":\"2024-11-20\",\"publicationTypes\":\"Journal Article\",\"fieldsOfStudy\":null,\"isOpenAccess\":false,\"openAccessPdf\":\"https://www.ncbi.nlm.nih.gov/pmc/articles/PMC11623120/pdf/\",\"citationCount\":\"0\",\"resultStr\":null,\"platform\":\"Semanticscholar\",\"paperid\":null,\"PeriodicalName\":\"Endocrine-related cancer\",\"FirstCategoryId\":\"1085\",\"ListUrlMain\":\"https://doi.org/10.1530/ERC-24-0061\",\"RegionNum\":0,\"RegionCategory\":null,\"ArticlePicture\":[],\"TitleCN\":null,\"AbstractTextCN\":null,\"PMCID\":null,\"EPubDate\":\"2024/12/1 0:00:00\",\"PubModel\":\"Print\",\"JCR\":\"\",\"JCRName\":\"\",\"Score\":null,\"Total\":0}","platform":"Semanticscholar","paperid":null,"PeriodicalName":"Endocrine-related cancer","FirstCategoryId":"1085","ListUrlMain":"https://doi.org/10.1530/ERC-24-0061","RegionNum":0,"RegionCategory":null,"ArticlePicture":[],"TitleCN":null,"AbstractTextCN":null,"PMCID":null,"EPubDate":"2024/12/1 0:00:00","PubModel":"Print","JCR":"","JCRName":"","Score":null,"Total":0}
引用次数: 0

摘要

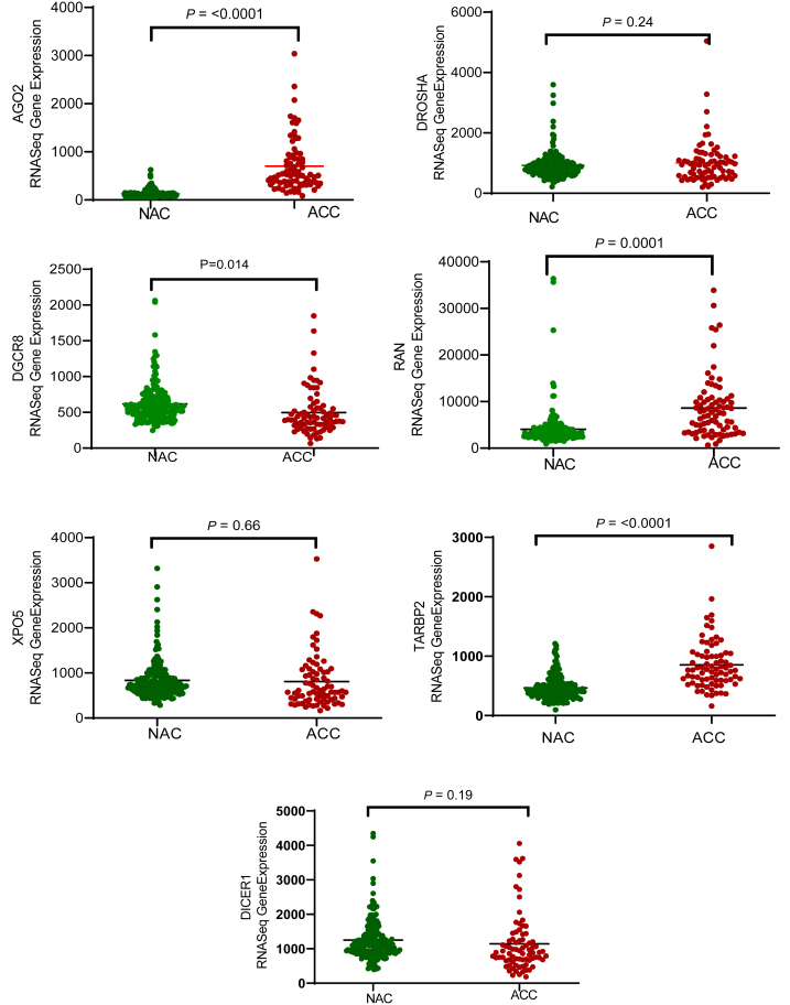
肾上腺皮质癌(ACC)是一种罕见的侵袭性恶性肿瘤,其特点是诊断困难、复发率高、预后差。本研究探讨了微RNA(miRNA)加工基因在ACC中的作用及其作为诊断和预后生物标志物的潜在作用。我们利用癌症基因组图谱(TCGA)和基因型-组织表达(GTEx)项目的mRNA-Seq数据,分析了miRNA机制成分(DROSHA、DGCR8、XPO5、RAN、DICER、TARBP2和AGO2)的mRNA表达水平。此外,我们还对来自科林医学研究所肿瘤库的组织样本中的蛋白质水平进行了量化。我们的研究结果表明,在所有miRNA处理成分中,与正常肾上腺皮质(NAC)和良性肾上腺腺瘤(AA)相比,AGO2在ACC中表现出明显的过表达(p < 0.001)。Kaplan-Meier生存分析表明,AGO2表达越高,ACC患者的总生存率越低(HR 7.07,p < 0.001)。在TCGA的32种癌症类型中,AGO2在ACC中的预后意义最为突出。这项研究首次报道了AGO2作为ACC诊断和预后生物标志物的潜力,强调了它在ACC发病机制中的重要性以及作为非侵入性液体活检生物标志物的潜在应用。
本文章由计算机程序翻译,如有差异,请以英文原文为准。

AGO2 protein: a key enzyme in the miRNA pathway as a novel biomarker in adrenocortical carcinoma.

AGO2 protein: a key enzyme in the miRNA pathway as a novel biomarker in adrenocortical carcinoma.

AGO2 protein: a key enzyme in the miRNA pathway as a novel biomarker in adrenocortical carcinoma.

AGO2 protein: a key enzyme in the miRNA pathway as a novel biomarker in adrenocortical carcinoma.

Adrenocortical carcinoma (ACC) is a rare and aggressive malignancy characterized by diagnostic challenges, high recurrence rates, and poor prognosis. This study explored the role of miRNA processing genes in ACC and their potential role as diagnostic and prognostic biomarkers. We analyzed the mRNA expression levels of miRNA machinery components (DROSHA, DGCR8, XPO5, RAN, DICER, TARBP2, and AGO2) utilizing mRNA-Seq data from The Cancer Genome Atlas (TCGA) and The Genotype-Tissue Expression (GTEx) projects. Additionally, protein levels were quantified in tissue samples from the Kolling Institute of Medical Research's tumor bank. Our results demonstrated that among all miRNA processing components, AGO2 exhibited significant overexpression in ACC compared to the normal adrenal cortex and benign adrenal adenoma (P < 0.001). Kaplan-Meier survival analysis indicated that higher AGO2 expression correlated with significantly worse overall survival in ACC patients (HR: 7.07, P < 0.001). Among 32 cancer types in TCGA, the prognostic significance of AGO2 was most prominent in ACC. This study is the first to report AGO2's potential as a diagnostic and prognostic biomarker in ACC, emphasizing its significance in ACC pathogenesis and potential application as a non-invasive liquid biopsy biomarker.

求助全文
通过发布文献求助,成功后即可免费获取论文全文。 去求助
来源期刊
自引率
0.00%
发文量
0
×
引用
GB/T 7714-2015
复制
MLA
复制
APA
复制
导出至
BibTeX EndNote RefMan NoteFirst NoteExpress
×
提示
您的信息不完整,为了账户安全,请先补充。
现在去补充
×
提示
您因"违规操作"
具体请查看互助需知
我知道了
×
提示
确定
请完成安全验证×
copy
已复制链接
快去分享给好友吧!
我知道了
右上角分享
点击右上角分享
0
联系我们:info@booksci.cn Book学术提供免费学术资源搜索服务,方便国内外学者检索中英文文献。致力于提供最便捷和优质的服务体验。 Copyright © 2023 布克学术 All rights reserved.
京ICP备2023020795号-1
ghs 京公网安备 11010802042870号
Book学术文献互助
Book学术文献互助群
群 号:604180095
Book学术官方微信