改变体位对 COVID-19 诊断患者心功能模式的影响:临床试验研究。

Current health sciences journal Pub Date : 2024-04-01 Epub Date: 2024-06-30 DOI:10.12865/CHSJ.50.02.07
Mehran Akbari, Hadi Jafarimanesh, Azadeh Nasiri, Hadiseh Rostami, Zahra Mahdavi, Neda Fayazi
{"title":"改变体位对 COVID-19 诊断患者心功能模式的影响:临床试验研究。","authors":"Mehran Akbari, Hadi Jafarimanesh, Azadeh Nasiri, Hadiseh Rostami, Zahra Mahdavi, Neda Fayazi","doi":"10.12865/CHSJ.50.02.07","DOIUrl":null,"url":null,"abstract":"<p><strong>Background: </strong>Various methods are used to treat patients with coronavirus, including drug therapy and alternative and non-invasive therapies Research has been done on the effects of body position on cardiac function in patients with COVID-19 diagnosis.</p><p><strong>Methods: </strong>This study was performed on patients admitted with COVID-19 diagnosis. Patients with inclusion criteria were selected based on purpose and entered into the study. They were divided into three groups: Group A patients were placed in a semi-sitting position, group B patients were placed in a tripod position, and group C patients were placed in a prone position. After being placed in the relevant positions at 15 and 60 minutes were measured in terms of heart rate and blood pressure at the mentioned times in the relevant checklist.</p><p><strong>Results: </strong>The results showed that there was no statistically significant difference in heart rate between the three groups before the intervention (P>0.05). In other words, changes in heart rate over time between the three groups (in several measurements) were statistically significant (P<0.05). Regarding Systolic Blood Pressure (SBP) and Diastolic Blood pressure patterns, the results showed that the three position groups was not statistically different before and 15 and 60 minutes after the intervention (P>0.05).</p><p><strong>Conclusion: </strong>According to the results, it can be concluded that placing the patient in all three positions of the tripod, prone and semi-sitting can be effective in improving the patient's heart rate pattern and lead to improving the patient's clinical condition.</p>","PeriodicalId":93963,"journal":{"name":"Current health sciences journal","volume":"50 2","pages":"223-231"},"PeriodicalIF":0.0000,"publicationDate":"2024-04-01","publicationTypes":"Journal Article","fieldsOfStudy":null,"isOpenAccess":false,"openAccessPdf":"https://www.ncbi.nlm.nih.gov/pmc/articles/PMC11447492/pdf/","citationCount":"0","resultStr":"{\"title\":\"The Effect of Change Position on Cardiac Function Patterns on Patients with COVID-19 Diagnosis: A Clinical Trial Study.\",\"authors\":\"Mehran Akbari, Hadi Jafarimanesh, Azadeh Nasiri, Hadiseh Rostami, Zahra Mahdavi, Neda Fayazi\",\"doi\":\"10.12865/CHSJ.50.02.07\",\"DOIUrl\":null,\"url\":null,\"abstract\":\"<p><strong>Background: </strong>Various methods are used to treat patients with coronavirus, including drug therapy and alternative and non-invasive therapies Research has been done on the effects of body position on cardiac function in patients with COVID-19 diagnosis.</p><p><strong>Methods: </strong>This study was performed on patients admitted with COVID-19 diagnosis. Patients with inclusion criteria were selected based on purpose and entered into the study. They were divided into three groups: Group A patients were placed in a semi-sitting position, group B patients were placed in a tripod position, and group C patients were placed in a prone position. After being placed in the relevant positions at 15 and 60 minutes were measured in terms of heart rate and blood pressure at the mentioned times in the relevant checklist.</p><p><strong>Results: </strong>The results showed that there was no statistically significant difference in heart rate between the three groups before the intervention (P>0.05). In other words, changes in heart rate over time between the three groups (in several measurements) were statistically significant (P<0.05). Regarding Systolic Blood Pressure (SBP) and Diastolic Blood pressure patterns, the results showed that the three position groups was not statistically different before and 15 and 60 minutes after the intervention (P>0.05).</p><p><strong>Conclusion: </strong>According to the results, it can be concluded that placing the patient in all three positions of the tripod, prone and semi-sitting can be effective in improving the patient's heart rate pattern and lead to improving the patient's clinical condition.</p>\",\"PeriodicalId\":93963,\"journal\":{\"name\":\"Current health sciences journal\",\"volume\":\"50 2\",\"pages\":\"223-231\"},\"PeriodicalIF\":0.0000,\"publicationDate\":\"2024-04-01\",\"publicationTypes\":\"Journal Article\",\"fieldsOfStudy\":null,\"isOpenAccess\":false,\"openAccessPdf\":\"https://www.ncbi.nlm.nih.gov/pmc/articles/PMC11447492/pdf/\",\"citationCount\":\"0\",\"resultStr\":null,\"platform\":\"Semanticscholar\",\"paperid\":null,\"PeriodicalName\":\"Current health sciences journal\",\"FirstCategoryId\":\"1085\",\"ListUrlMain\":\"https://doi.org/10.12865/CHSJ.50.02.07\",\"RegionNum\":0,\"RegionCategory\":null,\"ArticlePicture\":[],\"TitleCN\":null,\"AbstractTextCN\":null,\"PMCID\":null,\"EPubDate\":\"2024/6/30 0:00:00\",\"PubModel\":\"Epub\",\"JCR\":\"\",\"JCRName\":\"\",\"Score\":null,\"Total\":0}","platform":"Semanticscholar","paperid":null,"PeriodicalName":"Current health sciences journal","FirstCategoryId":"1085","ListUrlMain":"https://doi.org/10.12865/CHSJ.50.02.07","RegionNum":0,"RegionCategory":null,"ArticlePicture":[],"TitleCN":null,"AbstractTextCN":null,"PMCID":null,"EPubDate":"2024/6/30 0:00:00","PubModel":"Epub","JCR":"","JCRName":"","Score":null,"Total":0}
引用次数: 0

摘要

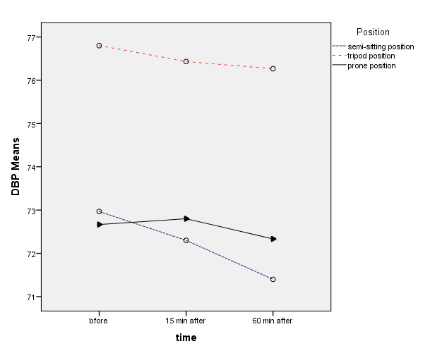
背景:治疗冠状病毒患者的方法多种多样,包括药物治疗以及替代性和非侵入性疗法:本研究针对确诊为 COVID-19 的住院患者。根据目的选择符合纳入标准的患者并将其纳入研究。他们被分为三组:A 组患者取半坐位,B 组患者取三脚架位,C 组患者取俯卧位。在摆放相关体位 15 分钟和 60 分钟后,在相关检查表中测量上述时间的心率和血压:结果显示,干预前三组之间的心率差异无统计学意义(P>0.05)。换句话说,三组之间心率随时间的变化(在多项测量中)具有统计学意义(P0.05):根据研究结果,可以得出结论:将患者置于三脚架、俯卧位和半坐位这三种体位可以有效改善患者的心率模式,从而改善患者的临床状况。
本文章由计算机程序翻译,如有差异,请以英文原文为准。

The Effect of Change Position on Cardiac Function Patterns on Patients with COVID-19 Diagnosis: A Clinical Trial Study.

The Effect of Change Position on Cardiac Function Patterns on Patients with COVID-19 Diagnosis: A Clinical Trial Study.

The Effect of Change Position on Cardiac Function Patterns on Patients with COVID-19 Diagnosis: A Clinical Trial Study.

The Effect of Change Position on Cardiac Function Patterns on Patients with COVID-19 Diagnosis: A Clinical Trial Study.

Background: Various methods are used to treat patients with coronavirus, including drug therapy and alternative and non-invasive therapies Research has been done on the effects of body position on cardiac function in patients with COVID-19 diagnosis.

Methods: This study was performed on patients admitted with COVID-19 diagnosis. Patients with inclusion criteria were selected based on purpose and entered into the study. They were divided into three groups: Group A patients were placed in a semi-sitting position, group B patients were placed in a tripod position, and group C patients were placed in a prone position. After being placed in the relevant positions at 15 and 60 minutes were measured in terms of heart rate and blood pressure at the mentioned times in the relevant checklist.

Results: The results showed that there was no statistically significant difference in heart rate between the three groups before the intervention (P>0.05). In other words, changes in heart rate over time between the three groups (in several measurements) were statistically significant (P<0.05). Regarding Systolic Blood Pressure (SBP) and Diastolic Blood pressure patterns, the results showed that the three position groups was not statistically different before and 15 and 60 minutes after the intervention (P>0.05).

Conclusion: According to the results, it can be concluded that placing the patient in all three positions of the tripod, prone and semi-sitting can be effective in improving the patient's heart rate pattern and lead to improving the patient's clinical condition.

求助全文
通过发布文献求助,成功后即可免费获取论文全文。 去求助
来源期刊
自引率
0.00%
发文量
0
×
引用
GB/T 7714-2015
复制
MLA
复制
APA
复制
导出至
BibTeX EndNote RefMan NoteFirst NoteExpress
×
提示
您的信息不完整,为了账户安全,请先补充。
现在去补充
×
提示
您因"违规操作"
具体请查看互助需知
我知道了
×
提示
确定
请完成安全验证×
copy
已复制链接
快去分享给好友吧!
我知道了
右上角分享
点击右上角分享
0
联系我们:info@booksci.cn Book学术提供免费学术资源搜索服务,方便国内外学者检索中英文文献。致力于提供最便捷和优质的服务体验。 Copyright © 2023 布克学术 All rights reserved.
京ICP备2023020795号-1
ghs 京公网安备 11010802042870号
Book学术文献互助
Book学术文献互助群
群 号:604180095
Book学术官方微信