人类肠道微生物群与不同抑郁症状严重程度评分的差异。

IF 2.9 Q3 MICROBIOLOGY
Bioscience of microbiota, food and health Pub Date : 2024-01-01 Epub Date: 2024-06-12 DOI:10.12938/bmfh.2023-049
Yuka Masamura, Ryuichi Kubo, Yuki Midorikawa, Natsuko O Shinozaki, Satoshi Watanabe, Sayumi Maekawa, Aya K Takeda, Tazro Ohta
{"title":"人类肠道微生物群与不同抑郁症状严重程度评分的差异。","authors":"Yuka Masamura, Ryuichi Kubo, Yuki Midorikawa, Natsuko O Shinozaki, Satoshi Watanabe, Sayumi Maekawa, Aya K Takeda, Tazro Ohta","doi":"10.12938/bmfh.2023-049","DOIUrl":null,"url":null,"abstract":"<p><p>Depression is a prevalent mental health disorder, and its incidence has increased further because of the coronavirus disease 2019 (COVID-19) pandemic. The gut microbiome has been suggested as a potential target for mental health treatment because of the bidirectional communication system between the brain and gastrointestinal tract, known as the gut-brain axis. We aimed to investigate the relationship between the human gut microbiome and depression screening by analyzing the abundance and types of microbiomes among individuals living in Japan, where mental health awareness and support may differ from those in other countries owing to cultural factors. We used a data-driven approach to evaluate the gut microbiome of participants who underwent commercial gut microbiota testing services and completed a questionnaire survey that included a test for scoring depressive tendencies. Our data analysis results indicated that no significant differences in gut microbiome composition were found among the groups based on their depression screening scores. However, the results also indicated the potential existence of a few differentially abundant bacterial taxa. Specifically, the detected bacterial changes in abundance suggest that the Bifidobacteriaceae, Streptococcaceae, and Veillonellaceae families are candidates for differentially abundant bacteria. Our findings should contribute to the growing body of research on the relationship between gut microbiome and mental health, highlighting the potential of microbiome-based interventions for depression treatment. The limitations of this study include the lack of clear medical information on the participants' diagnoses. Future research could benefit from a larger sample size and more detailed clinical information.</p>","PeriodicalId":93908,"journal":{"name":"Bioscience of microbiota, food and health","volume":"43 4","pages":"336-341"},"PeriodicalIF":2.9000,"publicationDate":"2024-01-01","publicationTypes":"Journal Article","fieldsOfStudy":null,"isOpenAccess":false,"openAccessPdf":"https://www.ncbi.nlm.nih.gov/pmc/articles/PMC11444865/pdf/","citationCount":"0","resultStr":"{\"title\":\"Differences in the human gut microbiota with varying depressive symptom severity scores.\",\"authors\":\"Yuka Masamura, Ryuichi Kubo, Yuki Midorikawa, Natsuko O Shinozaki, Satoshi Watanabe, Sayumi Maekawa, Aya K Takeda, Tazro Ohta\",\"doi\":\"10.12938/bmfh.2023-049\",\"DOIUrl\":null,\"url\":null,\"abstract\":\"<p><p>Depression is a prevalent mental health disorder, and its incidence has increased further because of the coronavirus disease 2019 (COVID-19) pandemic. The gut microbiome has been suggested as a potential target for mental health treatment because of the bidirectional communication system between the brain and gastrointestinal tract, known as the gut-brain axis. We aimed to investigate the relationship between the human gut microbiome and depression screening by analyzing the abundance and types of microbiomes among individuals living in Japan, where mental health awareness and support may differ from those in other countries owing to cultural factors. We used a data-driven approach to evaluate the gut microbiome of participants who underwent commercial gut microbiota testing services and completed a questionnaire survey that included a test for scoring depressive tendencies. Our data analysis results indicated that no significant differences in gut microbiome composition were found among the groups based on their depression screening scores. However, the results also indicated the potential existence of a few differentially abundant bacterial taxa. Specifically, the detected bacterial changes in abundance suggest that the Bifidobacteriaceae, Streptococcaceae, and Veillonellaceae families are candidates for differentially abundant bacteria. Our findings should contribute to the growing body of research on the relationship between gut microbiome and mental health, highlighting the potential of microbiome-based interventions for depression treatment. The limitations of this study include the lack of clear medical information on the participants' diagnoses. Future research could benefit from a larger sample size and more detailed clinical information.</p>\",\"PeriodicalId\":93908,\"journal\":{\"name\":\"Bioscience of microbiota, food and health\",\"volume\":\"43 4\",\"pages\":\"336-341\"},\"PeriodicalIF\":2.9000,\"publicationDate\":\"2024-01-01\",\"publicationTypes\":\"Journal Article\",\"fieldsOfStudy\":null,\"isOpenAccess\":false,\"openAccessPdf\":\"https://www.ncbi.nlm.nih.gov/pmc/articles/PMC11444865/pdf/\",\"citationCount\":\"0\",\"resultStr\":null,\"platform\":\"Semanticscholar\",\"paperid\":null,\"PeriodicalName\":\"Bioscience of microbiota, food and health\",\"FirstCategoryId\":\"1085\",\"ListUrlMain\":\"https://doi.org/10.12938/bmfh.2023-049\",\"RegionNum\":0,\"RegionCategory\":null,\"ArticlePicture\":[],\"TitleCN\":null,\"AbstractTextCN\":null,\"PMCID\":null,\"EPubDate\":\"2024/6/12 0:00:00\",\"PubModel\":\"Epub\",\"JCR\":\"Q3\",\"JCRName\":\"MICROBIOLOGY\",\"Score\":null,\"Total\":0}","platform":"Semanticscholar","paperid":null,"PeriodicalName":"Bioscience of microbiota, food and health","FirstCategoryId":"1085","ListUrlMain":"https://doi.org/10.12938/bmfh.2023-049","RegionNum":0,"RegionCategory":null,"ArticlePicture":[],"TitleCN":null,"AbstractTextCN":null,"PMCID":null,"EPubDate":"2024/6/12 0:00:00","PubModel":"Epub","JCR":"Q3","JCRName":"MICROBIOLOGY","Score":null,"Total":0}
引用次数: 0

摘要

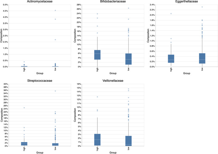
抑郁症是一种普遍存在的精神疾病,由于2019年冠状病毒病(COVID-19)的流行,抑郁症的发病率进一步上升。肠道微生物组被认为是精神健康治疗的潜在靶点,因为大脑和胃肠道之间存在双向交流系统,即肠道-大脑轴。在日本,由于文化因素,人们的心理健康意识和支持可能与其他国家不同,我们旨在通过分析生活在日本的人的微生物组的丰度和类型,研究人类肠道微生物组与抑郁症筛查之间的关系。我们采用了一种数据驱动的方法来评估参与者的肠道微生物组,这些参与者接受了商业性的肠道微生物组检测服务,并完成了包括抑郁倾向评分测试在内的问卷调查。我们的数据分析结果表明,根据抑郁筛查得分,各组之间的肠道微生物组组成没有发现明显差异。不过,分析结果也表明,可能存在一些数量不同的细菌类群。具体来说,检测到的细菌丰度变化表明,双歧杆菌科、链球菌科和Veillonellaceae科是丰度不同的候选细菌。关于肠道微生物组与心理健康之间关系的研究日益增多,我们的研究结果将对这方面的研究有所贡献,同时也凸显了基于微生物组的抑郁症治疗干预措施的潜力。这项研究的局限性包括缺乏关于参与者诊断的明确医疗信息。未来的研究可能会受益于更大的样本量和更详细的临床信息。
本文章由计算机程序翻译,如有差异,请以英文原文为准。

Differences in the human gut microbiota with varying depressive symptom severity scores.

Differences in the human gut microbiota with varying depressive symptom severity scores.

Differences in the human gut microbiota with varying depressive symptom severity scores.

Differences in the human gut microbiota with varying depressive symptom severity scores.

Depression is a prevalent mental health disorder, and its incidence has increased further because of the coronavirus disease 2019 (COVID-19) pandemic. The gut microbiome has been suggested as a potential target for mental health treatment because of the bidirectional communication system between the brain and gastrointestinal tract, known as the gut-brain axis. We aimed to investigate the relationship between the human gut microbiome and depression screening by analyzing the abundance and types of microbiomes among individuals living in Japan, where mental health awareness and support may differ from those in other countries owing to cultural factors. We used a data-driven approach to evaluate the gut microbiome of participants who underwent commercial gut microbiota testing services and completed a questionnaire survey that included a test for scoring depressive tendencies. Our data analysis results indicated that no significant differences in gut microbiome composition were found among the groups based on their depression screening scores. However, the results also indicated the potential existence of a few differentially abundant bacterial taxa. Specifically, the detected bacterial changes in abundance suggest that the Bifidobacteriaceae, Streptococcaceae, and Veillonellaceae families are candidates for differentially abundant bacteria. Our findings should contribute to the growing body of research on the relationship between gut microbiome and mental health, highlighting the potential of microbiome-based interventions for depression treatment. The limitations of this study include the lack of clear medical information on the participants' diagnoses. Future research could benefit from a larger sample size and more detailed clinical information.

求助全文
通过发布文献求助,成功后即可免费获取论文全文。 去求助
来源期刊
CiteScore
6.20
自引率
0.00%
发文量
0
×
引用
GB/T 7714-2015
复制
MLA
复制
APA
复制
导出至
BibTeX EndNote RefMan NoteFirst NoteExpress
×
提示
您的信息不完整,为了账户安全,请先补充。
现在去补充
×
提示
您因"违规操作"
具体请查看互助需知
我知道了
×
提示
确定
请完成安全验证×
copy
已复制链接
快去分享给好友吧!
我知道了
右上角分享
点击右上角分享
0
联系我们:info@booksci.cn Book学术提供免费学术资源搜索服务,方便国内外学者检索中英文文献。致力于提供最便捷和优质的服务体验。 Copyright © 2023 布克学术 All rights reserved.
京ICP备2023020795号-1
ghs 京公网安备 11010802042870号
Book学术文献互助
Book学术文献互助群
群 号:604180095
Book学术官方微信