在二甲双胍或阿卡波糖治疗下,膳食纤维及其来源与 48 周减肥效果维持、心脏代谢风险因素和血糖状况的纵向关系:3 月随机试验的二次分析。

IF 5.2 2区 医学 Q1 ENDOCRINOLOGY & METABOLISM
Jia Liu, Yu An, Ning Yang, Yuan Xu, Guang Wang
{"title":"在二甲双胍或阿卡波糖治疗下,膳食纤维及其来源与 48 周减肥效果维持、心脏代谢风险因素和血糖状况的纵向关系:3 月随机试验的二次分析。","authors":"Jia Liu, Yu An, Ning Yang, Yuan Xu, Guang Wang","doi":"10.1038/s41387-024-00340-z","DOIUrl":null,"url":null,"abstract":"<p><strong>Aims: </strong>To examine longitudinal and dose-d ependent associations between dietary fiber intake and various clinical outcomes over 48 weeks of pharmacological treatment in T2DM patients.</p><p><strong>Methods: </strong>In this secondary analysis, we used data from the MARCH trial, which was designed to compare the efficacy of acarbose or metformin monotherapy as the initial therapy in Chinese patients newly diagnosed with T2DM. Dietary data were obtained using a 24-h dietary recall method to evaluate the intakes of dietary fiber from different sources as well as the carbohydrate-to-fiber ratio.</p><p><strong>Results: </strong>A total of 551 newly-diagnosed patients with T2DM complete dietary records (286 in the acarbose group and 265 in the metformin group) were included. Higher intake of total fiber and whole grain fiber was positively associated with better β-cell function, insulin sensitivity and postprandial glycemic control under acarbose treatment. Higher intake of legume fiber was associated with better glycemic control under both acarbose and metformin treatment but with better weight loss only under metformin treatment. A high-carbohydrate-low-fiber diet was associated with worse glycemic control and lower HDL-C under acarbose treatment but with higher insulin sensitivity and better weight loss under metformin treatment.</p><p><strong>Conclusions: </strong>The notable effects of various dietary fibers when combined with different oral glucose-lowering medications should be considered to maximize therapeutic benefit.</p>","PeriodicalId":19339,"journal":{"name":"Nutrition & Diabetes","volume":"14 1","pages":"81"},"PeriodicalIF":5.2000,"publicationDate":"2024-10-02","publicationTypes":"Journal Article","fieldsOfStudy":null,"isOpenAccess":false,"openAccessPdf":"https://www.ncbi.nlm.nih.gov/pmc/articles/PMC11447090/pdf/","citationCount":"0","resultStr":"{\"title\":\"Longitudinal associations of dietary fiber and its source with 48-week weight loss maintenance, cardiometabolic risk factors and glycemic status under metformin or acarbose treatment: a secondary analysis of the March randomized trial.\",\"authors\":\"Jia Liu, Yu An, Ning Yang, Yuan Xu, Guang Wang\",\"doi\":\"10.1038/s41387-024-00340-z\",\"DOIUrl\":null,\"url\":null,\"abstract\":\"<p><strong>Aims: </strong>To examine longitudinal and dose-d ependent associations between dietary fiber intake and various clinical outcomes over 48 weeks of pharmacological treatment in T2DM patients.</p><p><strong>Methods: </strong>In this secondary analysis, we used data from the MARCH trial, which was designed to compare the efficacy of acarbose or metformin monotherapy as the initial therapy in Chinese patients newly diagnosed with T2DM. Dietary data were obtained using a 24-h dietary recall method to evaluate the intakes of dietary fiber from different sources as well as the carbohydrate-to-fiber ratio.</p><p><strong>Results: </strong>A total of 551 newly-diagnosed patients with T2DM complete dietary records (286 in the acarbose group and 265 in the metformin group) were included. Higher intake of total fiber and whole grain fiber was positively associated with better β-cell function, insulin sensitivity and postprandial glycemic control under acarbose treatment. Higher intake of legume fiber was associated with better glycemic control under both acarbose and metformin treatment but with better weight loss only under metformin treatment. A high-carbohydrate-low-fiber diet was associated with worse glycemic control and lower HDL-C under acarbose treatment but with higher insulin sensitivity and better weight loss under metformin treatment.</p><p><strong>Conclusions: </strong>The notable effects of various dietary fibers when combined with different oral glucose-lowering medications should be considered to maximize therapeutic benefit.</p>\",\"PeriodicalId\":19339,\"journal\":{\"name\":\"Nutrition & Diabetes\",\"volume\":\"14 1\",\"pages\":\"81\"},\"PeriodicalIF\":5.2000,\"publicationDate\":\"2024-10-02\",\"publicationTypes\":\"Journal Article\",\"fieldsOfStudy\":null,\"isOpenAccess\":false,\"openAccessPdf\":\"https://www.ncbi.nlm.nih.gov/pmc/articles/PMC11447090/pdf/\",\"citationCount\":\"0\",\"resultStr\":null,\"platform\":\"Semanticscholar\",\"paperid\":null,\"PeriodicalName\":\"Nutrition & Diabetes\",\"FirstCategoryId\":\"3\",\"ListUrlMain\":\"https://doi.org/10.1038/s41387-024-00340-z\",\"RegionNum\":2,\"RegionCategory\":\"医学\",\"ArticlePicture\":[],\"TitleCN\":null,\"AbstractTextCN\":null,\"PMCID\":null,\"EPubDate\":\"\",\"PubModel\":\"\",\"JCR\":\"Q1\",\"JCRName\":\"ENDOCRINOLOGY & METABOLISM\",\"Score\":null,\"Total\":0}","platform":"Semanticscholar","paperid":null,"PeriodicalName":"Nutrition & Diabetes","FirstCategoryId":"3","ListUrlMain":"https://doi.org/10.1038/s41387-024-00340-z","RegionNum":2,"RegionCategory":"医学","ArticlePicture":[],"TitleCN":null,"AbstractTextCN":null,"PMCID":null,"EPubDate":"","PubModel":"","JCR":"Q1","JCRName":"ENDOCRINOLOGY & METABOLISM","Score":null,"Total":0}
引用次数: 0

摘要

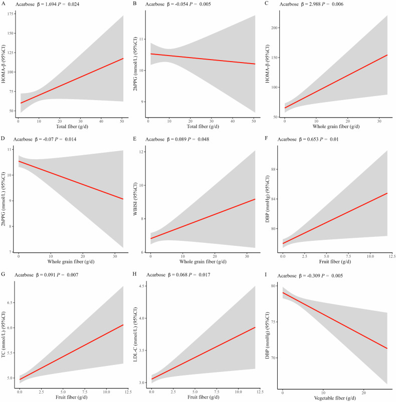
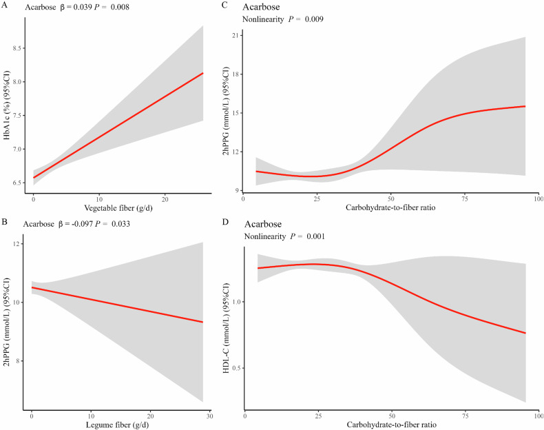
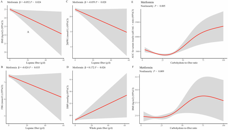
目的:研究T2DM患者药物治疗48周期间膳食纤维摄入量与各种临床结果之间的纵向和剂量相关性:在这项二次分析中,我们使用了 MARCH 试验的数据,该试验旨在比较阿卡波糖或二甲双胍单药作为新诊断为 T2DM 的中国患者初始治疗的疗效。膳食数据采用 24 小时膳食回忆法获得,以评估不同来源膳食纤维的摄入量以及碳水化合物与纤维的比例:共纳入551名有完整饮食记录的新诊断T2DM患者(阿卡波糖组286人,二甲双胍组265人)。在阿卡波糖治疗中,总纤维和全谷物纤维摄入量越高,β细胞功能、胰岛素敏感性和餐后血糖控制就越好,两者呈正相关。在阿卡波糖和二甲双胍治疗中,摄入更多的豆类纤维与更好的血糖控制有关,但只有在二甲双胍治疗中才能更好地减轻体重。高碳水化合物低纤维饮食与阿卡波糖治疗下更差的血糖控制和更低的高密度脂蛋白胆固醇有关,但与二甲双胍治疗下更高的胰岛素敏感性和更好的体重减轻有关:结论:应考虑各种膳食纤维与不同口服降糖药物联合使用时的显著效果,以最大限度地提高治疗效果。
本文章由计算机程序翻译,如有差异,请以英文原文为准。

Longitudinal associations of dietary fiber and its source with 48-week weight loss maintenance, cardiometabolic risk factors and glycemic status under metformin or acarbose treatment: a secondary analysis of the March randomized trial.

Longitudinal associations of dietary fiber and its source with 48-week weight loss maintenance, cardiometabolic risk factors and glycemic status under metformin or acarbose treatment: a secondary analysis of the March randomized trial.

Longitudinal associations of dietary fiber and its source with 48-week weight loss maintenance, cardiometabolic risk factors and glycemic status under metformin or acarbose treatment: a secondary analysis of the March randomized trial.

Longitudinal associations of dietary fiber and its source with 48-week weight loss maintenance, cardiometabolic risk factors and glycemic status under metformin or acarbose treatment: a secondary analysis of the March randomized trial.

Aims: To examine longitudinal and dose-d ependent associations between dietary fiber intake and various clinical outcomes over 48 weeks of pharmacological treatment in T2DM patients.

Methods: In this secondary analysis, we used data from the MARCH trial, which was designed to compare the efficacy of acarbose or metformin monotherapy as the initial therapy in Chinese patients newly diagnosed with T2DM. Dietary data were obtained using a 24-h dietary recall method to evaluate the intakes of dietary fiber from different sources as well as the carbohydrate-to-fiber ratio.

Results: A total of 551 newly-diagnosed patients with T2DM complete dietary records (286 in the acarbose group and 265 in the metformin group) were included. Higher intake of total fiber and whole grain fiber was positively associated with better β-cell function, insulin sensitivity and postprandial glycemic control under acarbose treatment. Higher intake of legume fiber was associated with better glycemic control under both acarbose and metformin treatment but with better weight loss only under metformin treatment. A high-carbohydrate-low-fiber diet was associated with worse glycemic control and lower HDL-C under acarbose treatment but with higher insulin sensitivity and better weight loss under metformin treatment.

Conclusions: The notable effects of various dietary fibers when combined with different oral glucose-lowering medications should be considered to maximize therapeutic benefit.

求助全文
通过发布文献求助,成功后即可免费获取论文全文。 去求助
来源期刊
Nutrition & Diabetes
Nutrition & Diabetes ENDOCRINOLOGY & METABOLISM-NUTRITION & DIETETICS
CiteScore
9.20
自引率
0.00%
发文量
50
审稿时长
>12 weeks
期刊介绍: Nutrition & Diabetes is a peer-reviewed, online, open access journal bringing to the fore outstanding research in the areas of nutrition and chronic disease, including diabetes, from the molecular to the population level.
×
引用
GB/T 7714-2015
复制
MLA
复制
APA
复制
导出至
BibTeX EndNote RefMan NoteFirst NoteExpress
×
提示
您的信息不完整,为了账户安全,请先补充。
现在去补充
×
提示
您因"违规操作"
具体请查看互助需知
我知道了
×
提示
确定
请完成安全验证×
copy
已复制链接
快去分享给好友吧!
我知道了
右上角分享
点击右上角分享
0
联系我们:info@booksci.cn Book学术提供免费学术资源搜索服务,方便国内外学者检索中英文文献。致力于提供最便捷和优质的服务体验。 Copyright © 2023 布克学术 All rights reserved.
京ICP备2023020795号-1
ghs 京公网安备 11010802042870号
Book学术文献互助
Book学术文献互助群
群 号:604180095
Book学术官方微信