内皮角膜移植术中使用的含氟气体的碳足迹。

IF 2.1 3区 医学 Q2 OPHTHALMOLOGY
Cornea Pub Date : 2025-11-01 Epub Date: 2024-10-02 DOI:10.1097/ICO.0000000000003707
Alfredo Borgia, Matteo Airaldi, Stephen Kaye, Vito Romano, Roberto Dell'Omo, Kunal Gadhvi, George Moussa, Raffaele Raimondi
{"title":"内皮角膜移植术中使用的含氟气体的碳足迹。","authors":"Alfredo Borgia, Matteo Airaldi, Stephen Kaye, Vito Romano, Roberto Dell'Omo, Kunal Gadhvi, George Moussa, Raffaele Raimondi","doi":"10.1097/ICO.0000000000003707","DOIUrl":null,"url":null,"abstract":"<p><strong>Purpose: </strong>The purpose of this study was to examine the direct impact on carbon emissions attributed to the use of fluorinated gases in endothelial keratoplasty (EK) procedures using gas tamponade and to evaluate the respective carbon footprint of different gas delivery systems used in EK procedures.</p><p><strong>Methods: </strong>In this retrospective, single-center environmental impact study, all corneal procedures using fluorinated gases between January 2021 and January 2024 at the Royal Liverpool University Hospital were reviewed and included. The CO 2 equivalent emissions were calculated based on the mass of each fluorinated gas used, following the guidelines of the Intergovernmental Panel on Climate Change.</p><p><strong>Results: </strong>Of 357 total procedures (160 Descemet membrane endothelial keratoplasty [44.8%], 118 Descemet stripping automated endothelial keratoplasty [33.1%], and 79 rebubbling [22.1%]), single-use sulfur hexafluoride (SF6) canisters were used in 278 (77.9%) procedures. SF6 canisters used in corneal transplantation emitted nearly 1.5 tons of CO 2 over 3 years. The 30-mL canisters emitted twice the CO 2 per GBP compared to SF6 15-mL canisters and 4 times that of C2F6 or C3F8 15-mL canisters.</p><p><strong>Conclusions: </strong>Fluorinated gas use in corneal transplantation has a significant environmental impact, which can be reduced by the use of smaller single-use canisters with lower carbon footprint, although manufacturing and disposal concerns remain. Our findings advocate for a more environmentally conscious approach to EK, favoring the use of smaller, more cost-efficient canisters and considering air as an alternative tamponade where possible.</p>","PeriodicalId":10710,"journal":{"name":"Cornea","volume":" ","pages":"1395-1399"},"PeriodicalIF":2.1000,"publicationDate":"2025-11-01","publicationTypes":"Journal Article","fieldsOfStudy":null,"isOpenAccess":false,"openAccessPdf":"https://www.ncbi.nlm.nih.gov/pmc/articles/PMC12479060/pdf/","citationCount":"0","resultStr":"{\"title\":\"Carbon Footprint of Fluorinated Gases Used in Endothelial Keratoplasty.\",\"authors\":\"Alfredo Borgia, Matteo Airaldi, Stephen Kaye, Vito Romano, Roberto Dell'Omo, Kunal Gadhvi, George Moussa, Raffaele Raimondi\",\"doi\":\"10.1097/ICO.0000000000003707\",\"DOIUrl\":null,\"url\":null,\"abstract\":\"<p><strong>Purpose: </strong>The purpose of this study was to examine the direct impact on carbon emissions attributed to the use of fluorinated gases in endothelial keratoplasty (EK) procedures using gas tamponade and to evaluate the respective carbon footprint of different gas delivery systems used in EK procedures.</p><p><strong>Methods: </strong>In this retrospective, single-center environmental impact study, all corneal procedures using fluorinated gases between January 2021 and January 2024 at the Royal Liverpool University Hospital were reviewed and included. The CO 2 equivalent emissions were calculated based on the mass of each fluorinated gas used, following the guidelines of the Intergovernmental Panel on Climate Change.</p><p><strong>Results: </strong>Of 357 total procedures (160 Descemet membrane endothelial keratoplasty [44.8%], 118 Descemet stripping automated endothelial keratoplasty [33.1%], and 79 rebubbling [22.1%]), single-use sulfur hexafluoride (SF6) canisters were used in 278 (77.9%) procedures. SF6 canisters used in corneal transplantation emitted nearly 1.5 tons of CO 2 over 3 years. The 30-mL canisters emitted twice the CO 2 per GBP compared to SF6 15-mL canisters and 4 times that of C2F6 or C3F8 15-mL canisters.</p><p><strong>Conclusions: </strong>Fluorinated gas use in corneal transplantation has a significant environmental impact, which can be reduced by the use of smaller single-use canisters with lower carbon footprint, although manufacturing and disposal concerns remain. Our findings advocate for a more environmentally conscious approach to EK, favoring the use of smaller, more cost-efficient canisters and considering air as an alternative tamponade where possible.</p>\",\"PeriodicalId\":10710,\"journal\":{\"name\":\"Cornea\",\"volume\":\" \",\"pages\":\"1395-1399\"},\"PeriodicalIF\":2.1000,\"publicationDate\":\"2025-11-01\",\"publicationTypes\":\"Journal Article\",\"fieldsOfStudy\":null,\"isOpenAccess\":false,\"openAccessPdf\":\"https://www.ncbi.nlm.nih.gov/pmc/articles/PMC12479060/pdf/\",\"citationCount\":\"0\",\"resultStr\":null,\"platform\":\"Semanticscholar\",\"paperid\":null,\"PeriodicalName\":\"Cornea\",\"FirstCategoryId\":\"3\",\"ListUrlMain\":\"https://doi.org/10.1097/ICO.0000000000003707\",\"RegionNum\":3,\"RegionCategory\":\"医学\",\"ArticlePicture\":[],\"TitleCN\":null,\"AbstractTextCN\":null,\"PMCID\":null,\"EPubDate\":\"2024/10/2 0:00:00\",\"PubModel\":\"Epub\",\"JCR\":\"Q2\",\"JCRName\":\"OPHTHALMOLOGY\",\"Score\":null,\"Total\":0}","platform":"Semanticscholar","paperid":null,"PeriodicalName":"Cornea","FirstCategoryId":"3","ListUrlMain":"https://doi.org/10.1097/ICO.0000000000003707","RegionNum":3,"RegionCategory":"医学","ArticlePicture":[],"TitleCN":null,"AbstractTextCN":null,"PMCID":null,"EPubDate":"2024/10/2 0:00:00","PubModel":"Epub","JCR":"Q2","JCRName":"OPHTHALMOLOGY","Score":null,"Total":0}
引用次数: 0

摘要

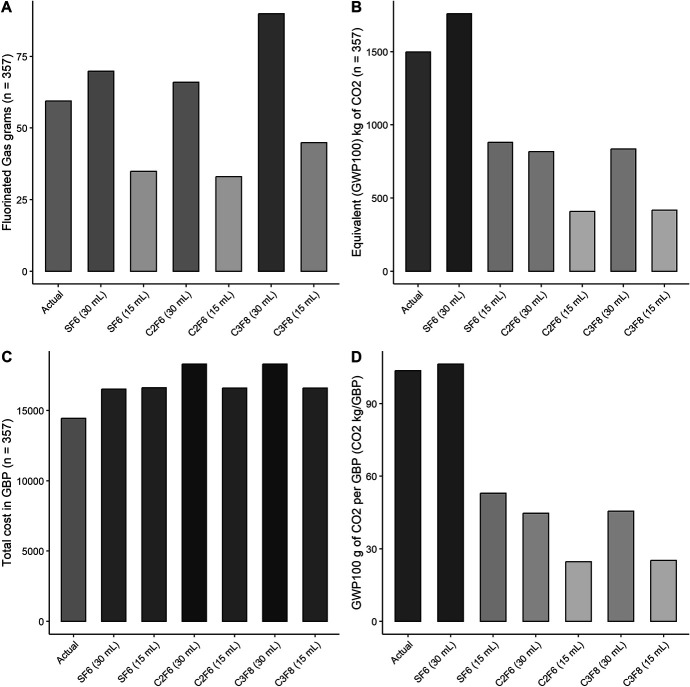
目的:本研究旨在探讨在使用气体填塞的内皮角膜移植术(EK)中使用含氟气体对碳排放的直接影响,并评估 EK 手术中使用的不同气体输送系统各自的碳足迹:在这项回顾性、单中心环境影响研究中,我们回顾并纳入了 2021 年 1 月至 2024 年 1 月期间皇家利物浦大学医院使用含氟气体的所有角膜手术。根据政府间气候变化专门委员会(Intergovernmental Panel on Climate Change)的指导方针,按照使用的每种含氟气体的质量计算二氧化碳当量排放量:在总共 357 例手术中(160 例 Descemet 膜内皮角膜移植术 [44.8%]、118 例 Descemet 剥脱自动内皮角膜移植术 [33.1%] 和 79 例再发泡术 [22.1%]),278 例(77.9%)手术使用了一次性六氟化硫(SF6)罐。角膜移植手术中使用的六氟化硫罐在 3 年内排放了近 1.5 吨二氧化碳。与 SF6 15 毫升罐相比,30 毫升罐每 GBP 的二氧化碳排放量是后者的两倍,是 C2F6 或 C3F8 15 毫升罐的四倍:在角膜移植中使用含氟气体会对环境造成重大影响,尽管在生产和处理方面仍存在问题,但使用碳足迹较小的一次性使用罐可以减少这种影响。我们的研究结果提倡在 EK 中采用更具环保意识的方法,倾向于使用更小、更具成本效益的滤毒罐,并在可能的情况下考虑用空气替代填塞物。
本文章由计算机程序翻译,如有差异,请以英文原文为准。

Carbon Footprint of Fluorinated Gases Used in Endothelial Keratoplasty.

Carbon Footprint of Fluorinated Gases Used in Endothelial Keratoplasty.

Purpose: The purpose of this study was to examine the direct impact on carbon emissions attributed to the use of fluorinated gases in endothelial keratoplasty (EK) procedures using gas tamponade and to evaluate the respective carbon footprint of different gas delivery systems used in EK procedures.

Methods: In this retrospective, single-center environmental impact study, all corneal procedures using fluorinated gases between January 2021 and January 2024 at the Royal Liverpool University Hospital were reviewed and included. The CO 2 equivalent emissions were calculated based on the mass of each fluorinated gas used, following the guidelines of the Intergovernmental Panel on Climate Change.

Results: Of 357 total procedures (160 Descemet membrane endothelial keratoplasty [44.8%], 118 Descemet stripping automated endothelial keratoplasty [33.1%], and 79 rebubbling [22.1%]), single-use sulfur hexafluoride (SF6) canisters were used in 278 (77.9%) procedures. SF6 canisters used in corneal transplantation emitted nearly 1.5 tons of CO 2 over 3 years. The 30-mL canisters emitted twice the CO 2 per GBP compared to SF6 15-mL canisters and 4 times that of C2F6 or C3F8 15-mL canisters.

Conclusions: Fluorinated gas use in corneal transplantation has a significant environmental impact, which can be reduced by the use of smaller single-use canisters with lower carbon footprint, although manufacturing and disposal concerns remain. Our findings advocate for a more environmentally conscious approach to EK, favoring the use of smaller, more cost-efficient canisters and considering air as an alternative tamponade where possible.

求助全文
通过发布文献求助,成功后即可免费获取论文全文。 去求助
来源期刊
Cornea
Cornea 医学-眼科学
CiteScore
5.20
自引率
10.70%
发文量
354
审稿时长
3-6 weeks
期刊介绍: For corneal specialists and for all general ophthalmologists with an interest in this exciting subspecialty, Cornea brings together the latest clinical and basic research on the cornea and the anterior segment of the eye. Each volume is peer-reviewed by Cornea''s board of world-renowned experts and fully indexed in archival format. Your subscription brings you the latest developments in your field and a growing library of valuable professional references. Sponsored by The Cornea Society which was founded as the Castroviejo Cornea Society in 1975.
×
引用
GB/T 7714-2015
复制
MLA
复制
APA
复制
导出至
BibTeX EndNote RefMan NoteFirst NoteExpress
×
提示
您的信息不完整,为了账户安全,请先补充。
现在去补充
×
提示
您因"违规操作"
具体请查看互助需知
我知道了
×
提示
确定
请完成安全验证×
copy
已复制链接
快去分享给好友吧!
我知道了
右上角分享
点击右上角分享
0
联系我们:info@booksci.cn Book学术提供免费学术资源搜索服务,方便国内外学者检索中英文文献。致力于提供最便捷和优质的服务体验。 Copyright © 2023 布克学术 All rights reserved.
京ICP备2023020795号-1
ghs 京公网安备 11010802042870号
Book学术文献互助
Book学术文献互助群
群 号:604180095
Book学术官方微信