中性粒细胞-淋巴细胞比率作为血管内动脉瘤修补术后持续存在的 2 型内膜渗漏的预测因子

IF 0.6 Q4 PERIPHERAL VASCULAR DISEASE
Annals of vascular diseases Pub Date : 2024-09-25 Epub Date: 2024-06-29 DOI:10.3400/avd.oa.24-00016
Toru Kikuchi, Toshifumi Kudo, Yohei Yamamoto
{"title":"中性粒细胞-淋巴细胞比率作为血管内动脉瘤修补术后持续存在的 2 型内膜渗漏的预测因子","authors":"Toru Kikuchi, Toshifumi Kudo, Yohei Yamamoto","doi":"10.3400/avd.oa.24-00016","DOIUrl":null,"url":null,"abstract":"<p><p><b>Objectives</b>: One of the important postoperative complications of endovascular aneurysm repair (EVAR) for abdominal aortic aneurysm (AAA) is type 2 endoleak (T2EL). However, there is no well-established biomarker. We aimed to evaluate the validity of the neutrophil-lymphocyte ratio (NLR) as a predictor of T2EL. <b>Methods</b>: Data were retrospectively collected from 146 patients who underwent EVAR for AAA at our institution between April 1, 2008 and March 31, 2021. Within 90 days before surgery, preoperative NLR was calculated from the same blood sample. The receiver operating characteristic curve (ROC) was used to determine the cutoff NLR values for persistent T2EL. Univariate and multivariate analyses were performed. <b>Results</b>: Compared with patients without persistent T2EL, those who had persistent T2EL had lower preoperative NLR (P = 0.041), based on a cutoff value of 1.918, and the entire group was then divided into two groups based on these values for comparison. Univariate analysis showed significant differences in NLR, the white blood cell (WBC) count, the percentage of mural thrombus of aneurysm, history of the hypertension, follow-up term, and aneurysm diameter at final follow-up. Multivariate analysis showed that NLR and AAA diameter on the last follow-up were significantly associated with T2EL persistence. <b>Conclusions</b>: Preoperative low NLR can be a useful predictor of postoperative persistent T2EL.</p>","PeriodicalId":7995,"journal":{"name":"Annals of vascular diseases","volume":"17 3","pages":"255-263"},"PeriodicalIF":0.6000,"publicationDate":"2024-09-25","publicationTypes":"Journal Article","fieldsOfStudy":null,"isOpenAccess":false,"openAccessPdf":"https://www.ncbi.nlm.nih.gov/pmc/articles/PMC11444839/pdf/","citationCount":"0","resultStr":"{\"title\":\"Neutrophil-Lymphocyte Ratio as a Predictor of Persistent Type 2 Endoleak after Endovascular Aneurysm Repair.\",\"authors\":\"Toru Kikuchi, Toshifumi Kudo, Yohei Yamamoto\",\"doi\":\"10.3400/avd.oa.24-00016\",\"DOIUrl\":null,\"url\":null,\"abstract\":\"<p><p><b>Objectives</b>: One of the important postoperative complications of endovascular aneurysm repair (EVAR) for abdominal aortic aneurysm (AAA) is type 2 endoleak (T2EL). However, there is no well-established biomarker. We aimed to evaluate the validity of the neutrophil-lymphocyte ratio (NLR) as a predictor of T2EL. <b>Methods</b>: Data were retrospectively collected from 146 patients who underwent EVAR for AAA at our institution between April 1, 2008 and March 31, 2021. Within 90 days before surgery, preoperative NLR was calculated from the same blood sample. The receiver operating characteristic curve (ROC) was used to determine the cutoff NLR values for persistent T2EL. Univariate and multivariate analyses were performed. <b>Results</b>: Compared with patients without persistent T2EL, those who had persistent T2EL had lower preoperative NLR (P = 0.041), based on a cutoff value of 1.918, and the entire group was then divided into two groups based on these values for comparison. Univariate analysis showed significant differences in NLR, the white blood cell (WBC) count, the percentage of mural thrombus of aneurysm, history of the hypertension, follow-up term, and aneurysm diameter at final follow-up. Multivariate analysis showed that NLR and AAA diameter on the last follow-up were significantly associated with T2EL persistence. <b>Conclusions</b>: Preoperative low NLR can be a useful predictor of postoperative persistent T2EL.</p>\",\"PeriodicalId\":7995,\"journal\":{\"name\":\"Annals of vascular diseases\",\"volume\":\"17 3\",\"pages\":\"255-263\"},\"PeriodicalIF\":0.6000,\"publicationDate\":\"2024-09-25\",\"publicationTypes\":\"Journal Article\",\"fieldsOfStudy\":null,\"isOpenAccess\":false,\"openAccessPdf\":\"https://www.ncbi.nlm.nih.gov/pmc/articles/PMC11444839/pdf/\",\"citationCount\":\"0\",\"resultStr\":null,\"platform\":\"Semanticscholar\",\"paperid\":null,\"PeriodicalName\":\"Annals of vascular diseases\",\"FirstCategoryId\":\"1085\",\"ListUrlMain\":\"https://doi.org/10.3400/avd.oa.24-00016\",\"RegionNum\":0,\"RegionCategory\":null,\"ArticlePicture\":[],\"TitleCN\":null,\"AbstractTextCN\":null,\"PMCID\":null,\"EPubDate\":\"2024/6/29 0:00:00\",\"PubModel\":\"Epub\",\"JCR\":\"Q4\",\"JCRName\":\"PERIPHERAL VASCULAR DISEASE\",\"Score\":null,\"Total\":0}","platform":"Semanticscholar","paperid":null,"PeriodicalName":"Annals of vascular diseases","FirstCategoryId":"1085","ListUrlMain":"https://doi.org/10.3400/avd.oa.24-00016","RegionNum":0,"RegionCategory":null,"ArticlePicture":[],"TitleCN":null,"AbstractTextCN":null,"PMCID":null,"EPubDate":"2024/6/29 0:00:00","PubModel":"Epub","JCR":"Q4","JCRName":"PERIPHERAL VASCULAR DISEASE","Score":null,"Total":0}
引用次数: 0

摘要

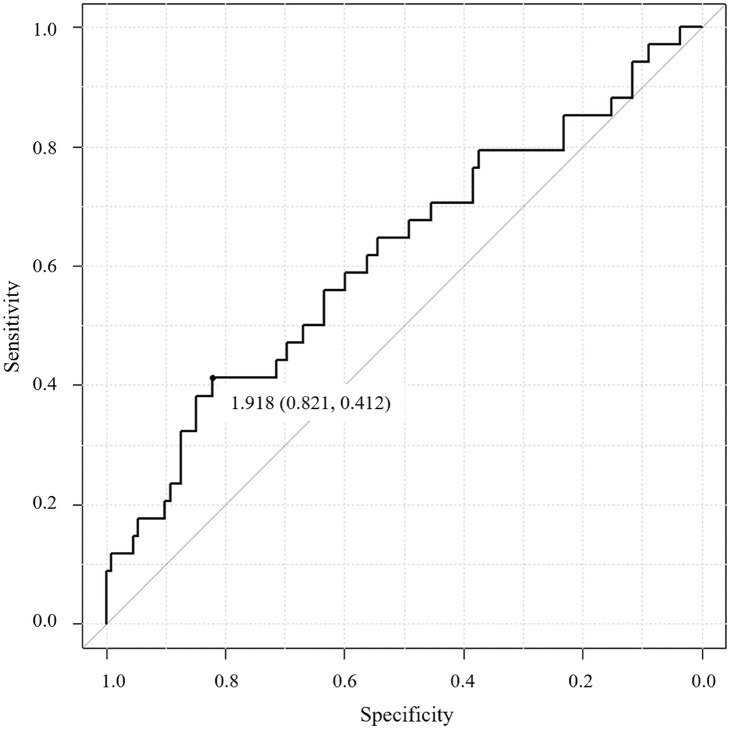
目的:腹主动脉瘤(AAA)血管内动脉瘤修补术(EVAR)的术后并发症之一是 2 型内漏(T2EL)。然而,目前还没有成熟的生物标志物。我们旨在评估中性粒细胞-淋巴细胞比值(NLR)作为 T2EL 预测指标的有效性。研究方法回顾性收集了2008年4月1日至2021年3月31日期间在我院接受AAA EVAR手术的146名患者的数据。术前 90 天内,通过同一血液样本计算术前 NLR。采用接收者操作特征曲线(ROC)确定持续性T2EL的NLR临界值。进行了单变量和多变量分析。结果显示与无顽固性T2EL的患者相比,有顽固性T2EL的患者术前NLR较低(P = 0.041),以1.918为临界值,然后根据这些值将整组患者分为两组进行比较。单变量分析显示,NLR、白细胞(WBC)计数、动脉瘤壁血栓比例、高血压病史、随访时间和最终随访时的动脉瘤直径均存在显著差异。多变量分析显示,NLR和最后一次随访时的AAA直径与T2EL持续存在显著相关。结论:术前低 NLR 是术后 T2EL 持续存在的有效预测指标。
本文章由计算机程序翻译,如有差异,请以英文原文为准。

Neutrophil-Lymphocyte Ratio as a Predictor of Persistent Type 2 Endoleak after Endovascular Aneurysm Repair.

Neutrophil-Lymphocyte Ratio as a Predictor of Persistent Type 2 Endoleak after Endovascular Aneurysm Repair.

Neutrophil-Lymphocyte Ratio as a Predictor of Persistent Type 2 Endoleak after Endovascular Aneurysm Repair.

Objectives: One of the important postoperative complications of endovascular aneurysm repair (EVAR) for abdominal aortic aneurysm (AAA) is type 2 endoleak (T2EL). However, there is no well-established biomarker. We aimed to evaluate the validity of the neutrophil-lymphocyte ratio (NLR) as a predictor of T2EL. Methods: Data were retrospectively collected from 146 patients who underwent EVAR for AAA at our institution between April 1, 2008 and March 31, 2021. Within 90 days before surgery, preoperative NLR was calculated from the same blood sample. The receiver operating characteristic curve (ROC) was used to determine the cutoff NLR values for persistent T2EL. Univariate and multivariate analyses were performed. Results: Compared with patients without persistent T2EL, those who had persistent T2EL had lower preoperative NLR (P = 0.041), based on a cutoff value of 1.918, and the entire group was then divided into two groups based on these values for comparison. Univariate analysis showed significant differences in NLR, the white blood cell (WBC) count, the percentage of mural thrombus of aneurysm, history of the hypertension, follow-up term, and aneurysm diameter at final follow-up. Multivariate analysis showed that NLR and AAA diameter on the last follow-up were significantly associated with T2EL persistence. Conclusions: Preoperative low NLR can be a useful predictor of postoperative persistent T2EL.

求助全文
通过发布文献求助,成功后即可免费获取论文全文。 去求助
来源期刊
Annals of vascular diseases
Annals of vascular diseases PERIPHERAL VASCULAR DISEASE-
自引率
0.00%
发文量
41
×
引用
GB/T 7714-2015
复制
MLA
复制
APA
复制
导出至
BibTeX EndNote RefMan NoteFirst NoteExpress
×
提示
您的信息不完整,为了账户安全,请先补充。
现在去补充
×
提示
您因"违规操作"
具体请查看互助需知
我知道了
×
提示
确定
请完成安全验证×
copy
已复制链接
快去分享给好友吧!
我知道了
右上角分享
点击右上角分享
0
联系我们:info@booksci.cn Book学术提供免费学术资源搜索服务,方便国内外学者检索中英文文献。致力于提供最便捷和优质的服务体验。 Copyright © 2023 布克学术 All rights reserved.
京ICP备2023020795号-1
ghs 京公网安备 11010802042870号
Book学术文献互助
Book学术文献互助群
群 号:604180095
Book学术官方微信