肥胖症中 mir-141 的升高:洞察sirtuin 1与非酒精性脂肪肝的相互作用。

IF 1.9 Q3 ENDOCRINOLOGY & METABOLISM
Obesity Science & Practice Pub Date : 2024-09-27 eCollection Date: 2024-10-01 DOI:10.1002/osp4.70007
Nikta Dadkhah Nikroo, Habib Jafarinejad, Zeynab Yousefi, Zohreh Abdolvahabi, Mojtaba Malek, Pejman Mortazavi, Abdolreza Pazouki, Somayeh Mokhber, Mitra Nourbakhsh
{"title":"肥胖症中 mir-141 的升高:洞察sirtuin 1与非酒精性脂肪肝的相互作用。","authors":"Nikta Dadkhah Nikroo, Habib Jafarinejad, Zeynab Yousefi, Zohreh Abdolvahabi, Mojtaba Malek, Pejman Mortazavi, Abdolreza Pazouki, Somayeh Mokhber, Mitra Nourbakhsh","doi":"10.1002/osp4.70007","DOIUrl":null,"url":null,"abstract":"<p><strong>Background: </strong>Changes in gene expression related to obesity are linked to microRNAs, such as miR-141, which play a crucial role in metabolic homeostasis. Sirtuin 1 (SIRT1), an enzyme that plays a crucial role in regulating various cellular functions and metabolism, is implicated in obesity and the ensuing non-alcoholic fatty liver disease (NAFLD). The aim of this research was to evaluate the levels of miR-141 and its relationship with SIRT1 and NAFLD.</p><p><strong>Methods: </strong>A group of 100 adults (50 with obesity and 50 with normal-weight) were selected and underwent complete clinical evaluation and anthropometric measurements. Biochemical parameters were assessed in blood serum, and the levels of miR-141 in plasma were measured by real-time PCR. The expression of the SIRT1 gene was also evaluated in the peripheral blood mononuclear cells using Real-time PCR. The ELISA technique was used to determine insulin levels. Liver steatosis was assessed by ultrasound.</p><p><strong>Results: </strong>The results showed that levels of miR-141 were significantly increased in participants with obesity compared with the control group. Conversely, the expression of the SIRT1 gene in individuals with obesity was lower than that in control participants. A strong negative correlation was observed between miR-141 and SIRT1 and a strong positive association was observed between miR-141 and metabolic parameters. Furthermore, participants with fatty liver had significantly elevated levels of miR-141 gene expression and lower expression of SIRT1 gene, compared to those without fatty liver.</p><p><strong>Conclusion: </strong>elevated levels of miR-141 in individuals with obesity might be a contributing factor in the repression of SIRT1 in obesity and its consequences, including NAFLD. Therefore, miR-141 might serve as a suitable diagnostic and therapeutic target in obesity and NAFLD.</p>","PeriodicalId":19448,"journal":{"name":"Obesity Science & Practice","volume":"10 5","pages":"e70007"},"PeriodicalIF":1.9000,"publicationDate":"2024-09-27","publicationTypes":"Journal Article","fieldsOfStudy":null,"isOpenAccess":false,"openAccessPdf":"https://www.ncbi.nlm.nih.gov/pmc/articles/PMC11427942/pdf/","citationCount":"0","resultStr":"{\"title\":\"Elevated mir-141 in obesity: Insights into the interplay with sirtuin 1 and non-alcoholic fatty liver disease.\",\"authors\":\"Nikta Dadkhah Nikroo, Habib Jafarinejad, Zeynab Yousefi, Zohreh Abdolvahabi, Mojtaba Malek, Pejman Mortazavi, Abdolreza Pazouki, Somayeh Mokhber, Mitra Nourbakhsh\",\"doi\":\"10.1002/osp4.70007\",\"DOIUrl\":null,\"url\":null,\"abstract\":\"<p><strong>Background: </strong>Changes in gene expression related to obesity are linked to microRNAs, such as miR-141, which play a crucial role in metabolic homeostasis. Sirtuin 1 (SIRT1), an enzyme that plays a crucial role in regulating various cellular functions and metabolism, is implicated in obesity and the ensuing non-alcoholic fatty liver disease (NAFLD). The aim of this research was to evaluate the levels of miR-141 and its relationship with SIRT1 and NAFLD.</p><p><strong>Methods: </strong>A group of 100 adults (50 with obesity and 50 with normal-weight) were selected and underwent complete clinical evaluation and anthropometric measurements. Biochemical parameters were assessed in blood serum, and the levels of miR-141 in plasma were measured by real-time PCR. The expression of the SIRT1 gene was also evaluated in the peripheral blood mononuclear cells using Real-time PCR. The ELISA technique was used to determine insulin levels. Liver steatosis was assessed by ultrasound.</p><p><strong>Results: </strong>The results showed that levels of miR-141 were significantly increased in participants with obesity compared with the control group. Conversely, the expression of the SIRT1 gene in individuals with obesity was lower than that in control participants. A strong negative correlation was observed between miR-141 and SIRT1 and a strong positive association was observed between miR-141 and metabolic parameters. Furthermore, participants with fatty liver had significantly elevated levels of miR-141 gene expression and lower expression of SIRT1 gene, compared to those without fatty liver.</p><p><strong>Conclusion: </strong>elevated levels of miR-141 in individuals with obesity might be a contributing factor in the repression of SIRT1 in obesity and its consequences, including NAFLD. Therefore, miR-141 might serve as a suitable diagnostic and therapeutic target in obesity and NAFLD.</p>\",\"PeriodicalId\":19448,\"journal\":{\"name\":\"Obesity Science & Practice\",\"volume\":\"10 5\",\"pages\":\"e70007\"},\"PeriodicalIF\":1.9000,\"publicationDate\":\"2024-09-27\",\"publicationTypes\":\"Journal Article\",\"fieldsOfStudy\":null,\"isOpenAccess\":false,\"openAccessPdf\":\"https://www.ncbi.nlm.nih.gov/pmc/articles/PMC11427942/pdf/\",\"citationCount\":\"0\",\"resultStr\":null,\"platform\":\"Semanticscholar\",\"paperid\":null,\"PeriodicalName\":\"Obesity Science & Practice\",\"FirstCategoryId\":\"1085\",\"ListUrlMain\":\"https://doi.org/10.1002/osp4.70007\",\"RegionNum\":0,\"RegionCategory\":null,\"ArticlePicture\":[],\"TitleCN\":null,\"AbstractTextCN\":null,\"PMCID\":null,\"EPubDate\":\"2024/10/1 0:00:00\",\"PubModel\":\"eCollection\",\"JCR\":\"Q3\",\"JCRName\":\"ENDOCRINOLOGY & METABOLISM\",\"Score\":null,\"Total\":0}","platform":"Semanticscholar","paperid":null,"PeriodicalName":"Obesity Science & Practice","FirstCategoryId":"1085","ListUrlMain":"https://doi.org/10.1002/osp4.70007","RegionNum":0,"RegionCategory":null,"ArticlePicture":[],"TitleCN":null,"AbstractTextCN":null,"PMCID":null,"EPubDate":"2024/10/1 0:00:00","PubModel":"eCollection","JCR":"Q3","JCRName":"ENDOCRINOLOGY & METABOLISM","Score":null,"Total":0}
引用次数: 0

摘要

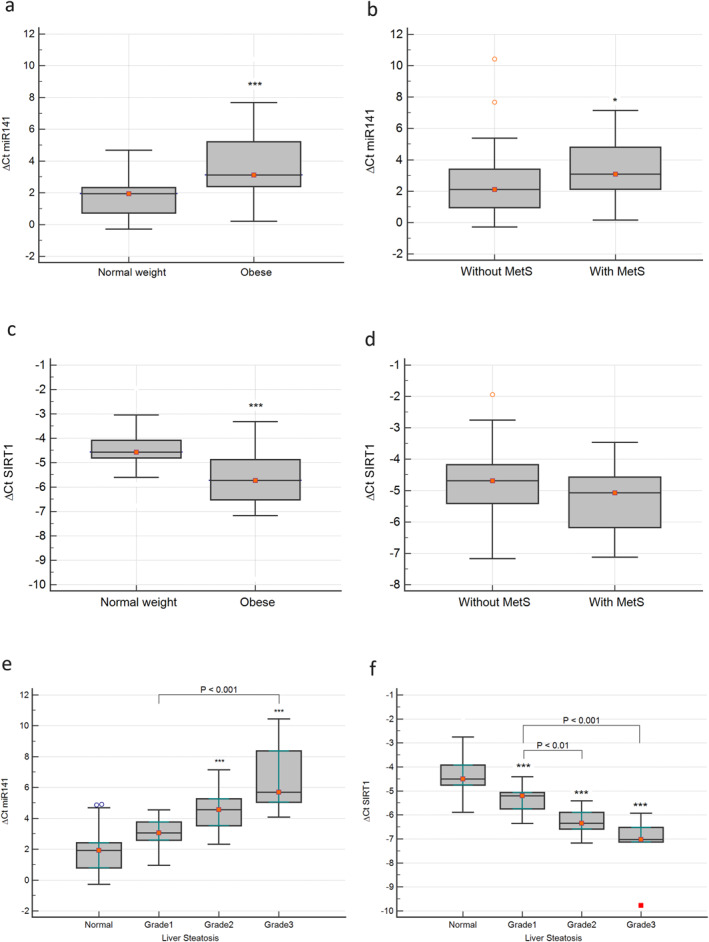
背景:与肥胖有关的基因表达变化与 microRNAs(如 miR-141)有关,miR-141 在代谢平衡中发挥着至关重要的作用。Sirtuin 1(SIRT1)是一种在调节各种细胞功能和新陈代谢中发挥关键作用的酶,它与肥胖和随之而来的非酒精性脂肪肝(NAFLD)有关。本研究旨在评估 miR-141 的水平及其与 SIRT1 和非酒精性脂肪肝的关系:方法:选取 100 名成年人(50 名肥胖症患者和 50 名正常体重者),对他们进行全面的临床评估和人体测量。评估血清中的生化指标,并通过实时 PCR 检测血浆中 miR-141 的水平。此外,还使用实时 PCR 技术评估了外周血单核细胞中 SIRT1 基因的表达。采用 ELISA 技术测定胰岛素水平。肝脏脂肪变性通过超声波进行评估:结果显示,与对照组相比,肥胖症参与者体内 miR-141 的水平明显升高。相反,肥胖症患者体内 SIRT1 基因的表达低于对照组。研究发现,miR-141 与 SIRT1 之间存在很强的负相关,而 miR-141 与代谢参数之间存在很强的正相关。结论:肥胖症患者体内 miR-141 水平的升高可能是导致 SIRT1 在肥胖症及其后果(包括非酒精性脂肪肝)中受抑制的一个因素。因此,miR-141 可作为肥胖症和非酒精性脂肪肝的诊断和治疗靶点。
本文章由计算机程序翻译,如有差异,请以英文原文为准。

Elevated mir-141 in obesity: Insights into the interplay with sirtuin 1 and non-alcoholic fatty liver disease.

Elevated mir-141 in obesity: Insights into the interplay with sirtuin 1 and non-alcoholic fatty liver disease.

Elevated mir-141 in obesity: Insights into the interplay with sirtuin 1 and non-alcoholic fatty liver disease.

Background: Changes in gene expression related to obesity are linked to microRNAs, such as miR-141, which play a crucial role in metabolic homeostasis. Sirtuin 1 (SIRT1), an enzyme that plays a crucial role in regulating various cellular functions and metabolism, is implicated in obesity and the ensuing non-alcoholic fatty liver disease (NAFLD). The aim of this research was to evaluate the levels of miR-141 and its relationship with SIRT1 and NAFLD.

Methods: A group of 100 adults (50 with obesity and 50 with normal-weight) were selected and underwent complete clinical evaluation and anthropometric measurements. Biochemical parameters were assessed in blood serum, and the levels of miR-141 in plasma were measured by real-time PCR. The expression of the SIRT1 gene was also evaluated in the peripheral blood mononuclear cells using Real-time PCR. The ELISA technique was used to determine insulin levels. Liver steatosis was assessed by ultrasound.

Results: The results showed that levels of miR-141 were significantly increased in participants with obesity compared with the control group. Conversely, the expression of the SIRT1 gene in individuals with obesity was lower than that in control participants. A strong negative correlation was observed between miR-141 and SIRT1 and a strong positive association was observed between miR-141 and metabolic parameters. Furthermore, participants with fatty liver had significantly elevated levels of miR-141 gene expression and lower expression of SIRT1 gene, compared to those without fatty liver.

Conclusion: elevated levels of miR-141 in individuals with obesity might be a contributing factor in the repression of SIRT1 in obesity and its consequences, including NAFLD. Therefore, miR-141 might serve as a suitable diagnostic and therapeutic target in obesity and NAFLD.

求助全文
通过发布文献求助,成功后即可免费获取论文全文。 去求助
来源期刊
Obesity Science & Practice
Obesity Science & Practice ENDOCRINOLOGY & METABOLISM-
CiteScore
4.20
自引率
4.50%
发文量
73
审稿时长
29 weeks
×
引用
GB/T 7714-2015
复制
MLA
复制
APA
复制
导出至
BibTeX EndNote RefMan NoteFirst NoteExpress
×
提示
您的信息不完整,为了账户安全,请先补充。
现在去补充
×
提示
您因"违规操作"
具体请查看互助需知
我知道了
×
提示
确定
请完成安全验证×
copy
已复制链接
快去分享给好友吧!
我知道了
右上角分享
点击右上角分享
0
联系我们:info@booksci.cn Book学术提供免费学术资源搜索服务,方便国内外学者检索中英文文献。致力于提供最便捷和优质的服务体验。 Copyright © 2023 布克学术 All rights reserved.
京ICP备2023020795号-1
ghs 京公网安备 11010802042870号
Book学术文献互助
Book学术文献互助群
群 号:604180095
Book学术官方微信