用于筛查阻塞性睡眠呼吸暂停的腕戴式脉搏血氧仪的性能。

Q3 Medicine
Sama Jabbaripour, Sareh Saien, Reihaneh Heidari, Reza Erfanian, Amin Amali
{"title":"用于筛查阻塞性睡眠呼吸暂停的腕戴式脉搏血氧仪的性能。","authors":"Sama Jabbaripour, Sareh Saien, Reihaneh Heidari, Reza Erfanian, Amin Amali","doi":"10.22038/ijorl.2024.77290.3586","DOIUrl":null,"url":null,"abstract":"<p><strong>Introduction: </strong>A sleep apnea monitor (BM2000A) is a wrist-worn device that measures oxygen saturation and pulse rate during sleep. This study aimed to evaluate the efficacy of the watch-like BM2000A for screening obstructive sleep apnea (OSA).</p><p><strong>Materials and methods: </strong>102 patients complaining of sleep breathing disorders were included; 81% were men and 19% were women. All participants underwent overnight simultaneous polysomnography (PSG) and BM2000A sleep monitoring. The number of apneas and hypopneas, apnea-hypopnea index (AHI), percentage of time spent with oxygen saturation under 90%, average oxygen saturation, lowest oxygen saturation, and duration of sleep were computed by the BM2000A and PSG. Then, these parameters were compared to validate the BM2000A.</p><p><strong>Results: </strong>All parameters, measured with BM2000A, had a good correlation (r ≥ 0.6, p < 0.0001) with PSG-derived indexes, except for sleep time (r = 0.19, p = 0.061) and hypopnea index (r = 0.4, p < 0.0001). AHI had the strongest correlation (r = 0.87, p < 0.0001). The mean difference between AHI values calculated with PSG and wrist-worn pulse oximeter (WPO) was -17.66 events/h (95% CI: -50.39 to 15.06). In AHI ≥ 5, BM2000A had 90.7% sensitivity, 100% specificity, 91.2% accuracy, and 0.994 area under the curve. Using AHI ≥ 5, ≥ 15, and ≥30 as the screening criteria, optimal WPO-AHI cutoffs to improve the screening accuracy were 3.10, 8.92, and 13.05.</p><p><strong>Conclusions: </strong>BM2000A-derived results properly correlate with PSG and can provide OSA screening with good sensitivity and specificity.</p>","PeriodicalId":14607,"journal":{"name":"Iranian Journal of Otorhinolaryngology","volume":"36 5","pages":"603-612"},"PeriodicalIF":0.0000,"publicationDate":"2024-09-01","publicationTypes":"Journal Article","fieldsOfStudy":null,"isOpenAccess":false,"openAccessPdf":"https://www.ncbi.nlm.nih.gov/pmc/articles/PMC11421761/pdf/","citationCount":"0","resultStr":"{\"title\":\"Performance of Wrist-Worn Pulse Oximeter for the Screening of Obstructive Sleep Apnea.\",\"authors\":\"Sama Jabbaripour, Sareh Saien, Reihaneh Heidari, Reza Erfanian, Amin Amali\",\"doi\":\"10.22038/ijorl.2024.77290.3586\",\"DOIUrl\":null,\"url\":null,\"abstract\":\"<p><strong>Introduction: </strong>A sleep apnea monitor (BM2000A) is a wrist-worn device that measures oxygen saturation and pulse rate during sleep. This study aimed to evaluate the efficacy of the watch-like BM2000A for screening obstructive sleep apnea (OSA).</p><p><strong>Materials and methods: </strong>102 patients complaining of sleep breathing disorders were included; 81% were men and 19% were women. All participants underwent overnight simultaneous polysomnography (PSG) and BM2000A sleep monitoring. The number of apneas and hypopneas, apnea-hypopnea index (AHI), percentage of time spent with oxygen saturation under 90%, average oxygen saturation, lowest oxygen saturation, and duration of sleep were computed by the BM2000A and PSG. Then, these parameters were compared to validate the BM2000A.</p><p><strong>Results: </strong>All parameters, measured with BM2000A, had a good correlation (r ≥ 0.6, p < 0.0001) with PSG-derived indexes, except for sleep time (r = 0.19, p = 0.061) and hypopnea index (r = 0.4, p < 0.0001). AHI had the strongest correlation (r = 0.87, p < 0.0001). The mean difference between AHI values calculated with PSG and wrist-worn pulse oximeter (WPO) was -17.66 events/h (95% CI: -50.39 to 15.06). In AHI ≥ 5, BM2000A had 90.7% sensitivity, 100% specificity, 91.2% accuracy, and 0.994 area under the curve. Using AHI ≥ 5, ≥ 15, and ≥30 as the screening criteria, optimal WPO-AHI cutoffs to improve the screening accuracy were 3.10, 8.92, and 13.05.</p><p><strong>Conclusions: </strong>BM2000A-derived results properly correlate with PSG and can provide OSA screening with good sensitivity and specificity.</p>\",\"PeriodicalId\":14607,\"journal\":{\"name\":\"Iranian Journal of Otorhinolaryngology\",\"volume\":\"36 5\",\"pages\":\"603-612\"},\"PeriodicalIF\":0.0000,\"publicationDate\":\"2024-09-01\",\"publicationTypes\":\"Journal Article\",\"fieldsOfStudy\":null,\"isOpenAccess\":false,\"openAccessPdf\":\"https://www.ncbi.nlm.nih.gov/pmc/articles/PMC11421761/pdf/\",\"citationCount\":\"0\",\"resultStr\":null,\"platform\":\"Semanticscholar\",\"paperid\":null,\"PeriodicalName\":\"Iranian Journal of Otorhinolaryngology\",\"FirstCategoryId\":\"1085\",\"ListUrlMain\":\"https://doi.org/10.22038/ijorl.2024.77290.3586\",\"RegionNum\":0,\"RegionCategory\":null,\"ArticlePicture\":[],\"TitleCN\":null,\"AbstractTextCN\":null,\"PMCID\":null,\"EPubDate\":\"\",\"PubModel\":\"\",\"JCR\":\"Q3\",\"JCRName\":\"Medicine\",\"Score\":null,\"Total\":0}","platform":"Semanticscholar","paperid":null,"PeriodicalName":"Iranian Journal of Otorhinolaryngology","FirstCategoryId":"1085","ListUrlMain":"https://doi.org/10.22038/ijorl.2024.77290.3586","RegionNum":0,"RegionCategory":null,"ArticlePicture":[],"TitleCN":null,"AbstractTextCN":null,"PMCID":null,"EPubDate":"","PubModel":"","JCR":"Q3","JCRName":"Medicine","Score":null,"Total":0}
引用次数: 0

摘要

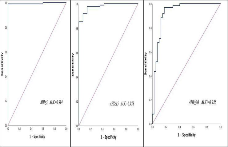
简介睡眠呼吸监测仪(BM2000A)是一种腕戴式设备,可测量睡眠时的血氧饱和度和脉搏。本研究旨在评估手表式 BM2000A 在筛查阻塞性睡眠呼吸暂停(OSA)方面的功效。材料和方法:研究对象包括 102 名主诉睡眠呼吸紊乱的患者,其中 81% 为男性,19% 为女性。所有参与者均接受了夜间多导睡眠图(PSG)和 BM2000A 睡眠监测。BM2000A 和 PSG 计算了呼吸暂停和低通气次数、呼吸暂停-低通气指数(AHI)、血氧饱和度低于 90% 的时间百分比、平均血氧饱和度、最低血氧饱和度和睡眠持续时间。然后,对这些参数进行比较,以验证 BM2000A:除睡眠时间(r = 0.19,p = 0.061)和低通气指数(r = 0.4,p < 0.0001)外,用 BM2000A 测量的所有参数与 PSG 导出的指数都有很好的相关性(r ≥ 0.6,p < 0.0001)。AHI 的相关性最强(r = 0.87,p < 0.0001)。PSG 和腕戴式脉搏血氧计 (WPO) 计算出的 AHI 值的平均差异为 -17.66 事件/小时(95% CI:-50.39 至 15.06)。在 AHI ≥ 5 时,BM2000A 的灵敏度为 90.7%,特异性为 100%,准确度为 91.2%,曲线下面积为 0.994。以 AHI ≥5、≥15 和≥30 作为筛查标准,提高筛查准确性的最佳 WPO-AHI 临界值分别为 3.10、8.92 和 13.05:BM2000A得出的结果与PSG有很好的相关性,可以提供具有良好灵敏度和特异性的OSA筛查。
本文章由计算机程序翻译,如有差异,请以英文原文为准。

Performance of Wrist-Worn Pulse Oximeter for the Screening of Obstructive Sleep Apnea.

Performance of Wrist-Worn Pulse Oximeter for the Screening of Obstructive Sleep Apnea.

Performance of Wrist-Worn Pulse Oximeter for the Screening of Obstructive Sleep Apnea.

Performance of Wrist-Worn Pulse Oximeter for the Screening of Obstructive Sleep Apnea.

Introduction: A sleep apnea monitor (BM2000A) is a wrist-worn device that measures oxygen saturation and pulse rate during sleep. This study aimed to evaluate the efficacy of the watch-like BM2000A for screening obstructive sleep apnea (OSA).

Materials and methods: 102 patients complaining of sleep breathing disorders were included; 81% were men and 19% were women. All participants underwent overnight simultaneous polysomnography (PSG) and BM2000A sleep monitoring. The number of apneas and hypopneas, apnea-hypopnea index (AHI), percentage of time spent with oxygen saturation under 90%, average oxygen saturation, lowest oxygen saturation, and duration of sleep were computed by the BM2000A and PSG. Then, these parameters were compared to validate the BM2000A.

Results: All parameters, measured with BM2000A, had a good correlation (r ≥ 0.6, p < 0.0001) with PSG-derived indexes, except for sleep time (r = 0.19, p = 0.061) and hypopnea index (r = 0.4, p < 0.0001). AHI had the strongest correlation (r = 0.87, p < 0.0001). The mean difference between AHI values calculated with PSG and wrist-worn pulse oximeter (WPO) was -17.66 events/h (95% CI: -50.39 to 15.06). In AHI ≥ 5, BM2000A had 90.7% sensitivity, 100% specificity, 91.2% accuracy, and 0.994 area under the curve. Using AHI ≥ 5, ≥ 15, and ≥30 as the screening criteria, optimal WPO-AHI cutoffs to improve the screening accuracy were 3.10, 8.92, and 13.05.

Conclusions: BM2000A-derived results properly correlate with PSG and can provide OSA screening with good sensitivity and specificity.

求助全文
通过发布文献求助,成功后即可免费获取论文全文。 去求助
来源期刊
Iranian Journal of Otorhinolaryngology
Iranian Journal of Otorhinolaryngology Medicine-Otorhinolaryngology
CiteScore
1.30
自引率
0.00%
发文量
72
审稿时长
12 weeks
×
引用
GB/T 7714-2015
复制
MLA
复制
APA
复制
导出至
BibTeX EndNote RefMan NoteFirst NoteExpress
×
提示
您的信息不完整,为了账户安全,请先补充。
现在去补充
×
提示
您因"违规操作"
具体请查看互助需知
我知道了
×
提示
确定
请完成安全验证×
copy
已复制链接
快去分享给好友吧!
我知道了
右上角分享
点击右上角分享
0
联系我们:info@booksci.cn Book学术提供免费学术资源搜索服务,方便国内外学者检索中英文文献。致力于提供最便捷和优质的服务体验。 Copyright © 2023 布克学术 All rights reserved.
京ICP备2023020795号-1
ghs 京公网安备 11010802042870号
Book学术文献互助
Book学术文献互助群
群 号:604180095
Book学术官方微信