PRKCB 甲基化:伴有童年慢性压力的 MDD 的潜在生物标志物,一项针对药物无效、首次发病的青少年 MDD 的横断面研究。

IF 3.2 3区 生物学 Q3 BIOCHEMISTRY & MOLECULAR BIOLOGY
Epigenetics Pub Date : 2024-12-01 Epub Date: 2024-09-29 DOI:10.1080/15592294.2024.2408159
Yuanmei Tao, Meijiang Jin, Hang Zhang, Maojia Ran, Hanmei Xu, Shoukang Zou, Fang Deng, Lijuan Huang, Hong Zhang, Xiaolan Wang, Yanping Wang, Huijin Hou, Shufang Liang, Xiaohong Ma, Li Yin
{"title":"PRKCB 甲基化:伴有童年慢性压力的 MDD 的潜在生物标志物,一项针对药物无效、首次发病的青少年 MDD 的横断面研究。","authors":"Yuanmei Tao, Meijiang Jin, Hang Zhang, Maojia Ran, Hanmei Xu, Shoukang Zou, Fang Deng, Lijuan Huang, Hong Zhang, Xiaolan Wang, Yanping Wang, Huijin Hou, Shufang Liang, Xiaohong Ma, Li Yin","doi":"10.1080/15592294.2024.2408159","DOIUrl":null,"url":null,"abstract":"<p><p>The purpose of this study was to investigate the relationship between childhood chronic stress(CCS), Protein kinase C beta (PRKCB) methylation and adolescent major depressive disorder (MDD). After recruiting 100 adolescents with MDD and 50 healthy controls (HCs), we evaluated the severity of CCS. PRKCB methylation was assessed by pyrosequencing using whole blood-derived DNA. To explore the relationship between CCS, PRKCB and adolescent MDD, we conducted correlation analysis and regression analysis, and constructed multiplicative interaction models and generalized linear models. PRKCB methylation and CCS were both found to be associated with MDD, and CCS was associated with PRKCB methylation. No significant CCS-PRKCB methylation interactions were observed. However, we found the interaction of CCS and MDD on PRKCB methylation. Our results found that PRKCB methylation was influenced by CCS and the disease itself, and PRKCB methylation was significantly positively associated with MDD severity, suggesting that PRKCB methylation may be a potential biomarker for adolescent MDD. This study is a cross-sectional observational study, which cannot draw the conclusion of causality. Prospective cohort studies are needed to further examine the relationship between CCS, adolescent MDD, and PRKCB methylation.</p>","PeriodicalId":11767,"journal":{"name":"Epigenetics","volume":"19 1","pages":"2408159"},"PeriodicalIF":3.2000,"publicationDate":"2024-12-01","publicationTypes":"Journal Article","fieldsOfStudy":null,"isOpenAccess":false,"openAccessPdf":"https://www.ncbi.nlm.nih.gov/pmc/articles/PMC11444515/pdf/","citationCount":"0","resultStr":"{\"title\":\"PRKCB methylation: a potential biomarker of MDD with childhood chronic stress, a cross-sectional study in drug-naive, first-episode adolescent MDD.\",\"authors\":\"Yuanmei Tao, Meijiang Jin, Hang Zhang, Maojia Ran, Hanmei Xu, Shoukang Zou, Fang Deng, Lijuan Huang, Hong Zhang, Xiaolan Wang, Yanping Wang, Huijin Hou, Shufang Liang, Xiaohong Ma, Li Yin\",\"doi\":\"10.1080/15592294.2024.2408159\",\"DOIUrl\":null,\"url\":null,\"abstract\":\"<p><p>The purpose of this study was to investigate the relationship between childhood chronic stress(CCS), Protein kinase C beta (PRKCB) methylation and adolescent major depressive disorder (MDD). After recruiting 100 adolescents with MDD and 50 healthy controls (HCs), we evaluated the severity of CCS. PRKCB methylation was assessed by pyrosequencing using whole blood-derived DNA. To explore the relationship between CCS, PRKCB and adolescent MDD, we conducted correlation analysis and regression analysis, and constructed multiplicative interaction models and generalized linear models. PRKCB methylation and CCS were both found to be associated with MDD, and CCS was associated with PRKCB methylation. No significant CCS-PRKCB methylation interactions were observed. However, we found the interaction of CCS and MDD on PRKCB methylation. Our results found that PRKCB methylation was influenced by CCS and the disease itself, and PRKCB methylation was significantly positively associated with MDD severity, suggesting that PRKCB methylation may be a potential biomarker for adolescent MDD. This study is a cross-sectional observational study, which cannot draw the conclusion of causality. Prospective cohort studies are needed to further examine the relationship between CCS, adolescent MDD, and PRKCB methylation.</p>\",\"PeriodicalId\":11767,\"journal\":{\"name\":\"Epigenetics\",\"volume\":\"19 1\",\"pages\":\"2408159\"},\"PeriodicalIF\":3.2000,\"publicationDate\":\"2024-12-01\",\"publicationTypes\":\"Journal Article\",\"fieldsOfStudy\":null,\"isOpenAccess\":false,\"openAccessPdf\":\"https://www.ncbi.nlm.nih.gov/pmc/articles/PMC11444515/pdf/\",\"citationCount\":\"0\",\"resultStr\":null,\"platform\":\"Semanticscholar\",\"paperid\":null,\"PeriodicalName\":\"Epigenetics\",\"FirstCategoryId\":\"99\",\"ListUrlMain\":\"https://doi.org/10.1080/15592294.2024.2408159\",\"RegionNum\":3,\"RegionCategory\":\"生物学\",\"ArticlePicture\":[],\"TitleCN\":null,\"AbstractTextCN\":null,\"PMCID\":null,\"EPubDate\":\"2024/9/29 0:00:00\",\"PubModel\":\"Epub\",\"JCR\":\"Q3\",\"JCRName\":\"BIOCHEMISTRY & MOLECULAR BIOLOGY\",\"Score\":null,\"Total\":0}","platform":"Semanticscholar","paperid":null,"PeriodicalName":"Epigenetics","FirstCategoryId":"99","ListUrlMain":"https://doi.org/10.1080/15592294.2024.2408159","RegionNum":3,"RegionCategory":"生物学","ArticlePicture":[],"TitleCN":null,"AbstractTextCN":null,"PMCID":null,"EPubDate":"2024/9/29 0:00:00","PubModel":"Epub","JCR":"Q3","JCRName":"BIOCHEMISTRY & MOLECULAR BIOLOGY","Score":null,"Total":0}
引用次数: 0

摘要

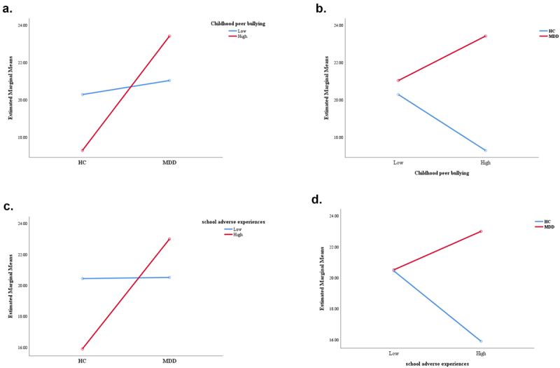
本研究旨在探讨童年慢性压力(CCS)、蛋白激酶C beta(PRKCB)甲基化与青少年重度抑郁障碍(MDD)之间的关系。在招募了100名患有重度抑郁症的青少年和50名健康对照组(HCs)后,我们评估了CCS的严重程度。我们使用全血DNA热测序法评估了PRKCB甲基化情况。为了探讨CCS、PRKCB和青少年MDD之间的关系,我们进行了相关分析和回归分析,并构建了乘法交互模型和广义线性模型。结果发现,PRKCB 甲基化和 CCS 均与 MDD 相关,而 CCS 与 PRKCB 甲基化相关。没有观察到 CCS 与 PRKCB 甲基化之间有明显的交互作用。但是,我们发现 CCS 和 MDD 对 PRKCB 甲基化有交互作用。我们的结果发现,PRKCB甲基化受CCS和疾病本身的影响,PRKCB甲基化与MDD严重程度呈显著正相关,这表明PRKCB甲基化可能是青少年MDD的潜在生物标志物。本研究是一项横断面观察性研究,不能得出因果关系的结论。需要进行前瞻性队列研究,以进一步探讨CCS、青少年多发性抑郁症和PRKCB甲基化之间的关系。
本文章由计算机程序翻译,如有差异,请以英文原文为准。

PRKCB methylation: a potential biomarker of MDD with childhood chronic stress, a cross-sectional study in drug-naive, first-episode adolescent MDD.

PRKCB methylation: a potential biomarker of MDD with childhood chronic stress, a cross-sectional study in drug-naive, first-episode adolescent MDD.

PRKCB methylation: a potential biomarker of MDD with childhood chronic stress, a cross-sectional study in drug-naive, first-episode adolescent MDD.

The purpose of this study was to investigate the relationship between childhood chronic stress(CCS), Protein kinase C beta (PRKCB) methylation and adolescent major depressive disorder (MDD). After recruiting 100 adolescents with MDD and 50 healthy controls (HCs), we evaluated the severity of CCS. PRKCB methylation was assessed by pyrosequencing using whole blood-derived DNA. To explore the relationship between CCS, PRKCB and adolescent MDD, we conducted correlation analysis and regression analysis, and constructed multiplicative interaction models and generalized linear models. PRKCB methylation and CCS were both found to be associated with MDD, and CCS was associated with PRKCB methylation. No significant CCS-PRKCB methylation interactions were observed. However, we found the interaction of CCS and MDD on PRKCB methylation. Our results found that PRKCB methylation was influenced by CCS and the disease itself, and PRKCB methylation was significantly positively associated with MDD severity, suggesting that PRKCB methylation may be a potential biomarker for adolescent MDD. This study is a cross-sectional observational study, which cannot draw the conclusion of causality. Prospective cohort studies are needed to further examine the relationship between CCS, adolescent MDD, and PRKCB methylation.

求助全文
通过发布文献求助,成功后即可免费获取论文全文。 去求助
来源期刊
Epigenetics
Epigenetics 生物-生化与分子生物学
CiteScore
6.80
自引率
2.70%
发文量
82
审稿时长
3-8 weeks
期刊介绍: Epigenetics publishes peer-reviewed original research and review articles that provide an unprecedented forum where epigenetic mechanisms and their role in diverse biological processes can be revealed, shared, and discussed. Epigenetics research studies heritable changes in gene expression caused by mechanisms others than the modification of the DNA sequence. Epigenetics therefore plays critical roles in a variety of biological systems, diseases, and disciplines. Topics of interest include (but are not limited to): DNA methylation Nucleosome positioning and modification Gene silencing Imprinting Nuclear reprogramming Chromatin remodeling Non-coding RNA Non-histone chromosomal elements Dosage compensation Nuclear organization Epigenetic therapy and diagnostics Nutrition and environmental epigenetics Cancer epigenetics Neuroepigenetics
×
引用
GB/T 7714-2015
复制
MLA
复制
APA
复制
导出至
BibTeX EndNote RefMan NoteFirst NoteExpress
×
提示
您的信息不完整,为了账户安全,请先补充。
现在去补充
×
提示
您因"违规操作"
具体请查看互助需知
我知道了
×
提示
确定
请完成安全验证×
copy
已复制链接
快去分享给好友吧!
我知道了
右上角分享
点击右上角分享
0
联系我们:info@booksci.cn Book学术提供免费学术资源搜索服务,方便国内外学者检索中英文文献。致力于提供最便捷和优质的服务体验。 Copyright © 2023 布克学术 All rights reserved.
京ICP备2023020795号-1
ghs 京公网安备 11010802042870号
Book学术文献互助
Book学术文献互助群
群 号:604180095
Book学术官方微信