哪种皮肤填充剂更适合用于以美学为目的的阴茎增大术?基于真实世界经验的前瞻性、单一外科医生研究。

IF 4.1 3区 医学 Q1 ANDROLOGY
World Journal of Mens Health Pub Date : 2025-04-01 Epub Date: 2024-07-31 DOI:10.5534/wjmh.240105
Doo Won Kim, Hyun Cheol Jeong, Kyungtae Ko, Dae Yul Yang, Jong Keun Kim, Seong Ho Lee, Tae Hyo Kim, Won Ki Lee
{"title":"哪种皮肤填充剂更适合用于以美学为目的的阴茎增大术?基于真实世界经验的前瞻性、单一外科医生研究。","authors":"Doo Won Kim, Hyun Cheol Jeong, Kyungtae Ko, Dae Yul Yang, Jong Keun Kim, Seong Ho Lee, Tae Hyo Kim, Won Ki Lee","doi":"10.5534/wjmh.240105","DOIUrl":null,"url":null,"abstract":"<p><strong>Purpose: </strong>Several types of dermal fillers have been recently introduced and used for penile augmentation (PA). However, few studies have compared outcomes after the injection of different fillers. This study aimed to compare the clinical outcomes of hyaluronic acid (HLA), polylactic acid (PLA), and polymethyl methacrylate (PMA) filler injections, which are the most commonly used for aesthetic purposes.</p><p><strong>Materials and methods: </strong>This prospective study was conducted for 24 weeks after a filler injection by a surgeon between March 2017 and December 2021. Healthy adult men complaining of small penis were enrolled. Penile girth, satisfaction, and injection-associated adverse events (AEs) were assessed at baseline and 4, 12, and 24 weeks after injection.</p><p><strong>Results: </strong>Of the 301 men who received filler injections, 125, 134, and 42 received HLA, PLA, and PMA fillers, respectively. The augmentation effect was in the order of PMA, HLA, and PLA, respectively, at 24 weeks (PMA <i>vs.</i> HLA, p<0.001; HLA <i>vs.</i> PLA, p=0.006). Satisfaction levels increased significantly at 24 weeks in all groups (each with p<0.001). However, the increase in satisfaction levels was smaller in the PMA group (PMA <i>vs.</i> HLA or PLA, p<0.05, for both penile appearance and sexual life). No serious or systemic AEs were recorded. Filler injection-associated local AEs in the HLA, PLA, and PMA groups occurred in 9 (7.2%), 16 (11.9%), and 6 (14.3%) men, respectively. There was no significant difference in AEs among the groups (p=0.299).</p><p><strong>Conclusions: </strong>The augmentative effect was greater in the PMA group than in the HLA and PLA groups, whereas the increase in satisfaction levels was smaller in the PMA group. Our study demonstrated the clinical course of different types of fillers and suggests that the filler type should be selected after detailed counseling considering individual characteristics and preferences.</p>","PeriodicalId":54261,"journal":{"name":"World Journal of Mens Health","volume":" ","pages":"428-436"},"PeriodicalIF":4.1000,"publicationDate":"2025-04-01","publicationTypes":"Journal Article","fieldsOfStudy":null,"isOpenAccess":false,"openAccessPdf":"https://www.ncbi.nlm.nih.gov/pmc/articles/PMC11937356/pdf/","citationCount":"0","resultStr":"{\"title\":\"Which Dermal Filler is Better for Penile Augmentation for Aesthetic Purposes? A Prospective, Single-Surgeon Study Based on Real-World Experience.\",\"authors\":\"Doo Won Kim, Hyun Cheol Jeong, Kyungtae Ko, Dae Yul Yang, Jong Keun Kim, Seong Ho Lee, Tae Hyo Kim, Won Ki Lee\",\"doi\":\"10.5534/wjmh.240105\",\"DOIUrl\":null,\"url\":null,\"abstract\":\"<p><strong>Purpose: </strong>Several types of dermal fillers have been recently introduced and used for penile augmentation (PA). However, few studies have compared outcomes after the injection of different fillers. This study aimed to compare the clinical outcomes of hyaluronic acid (HLA), polylactic acid (PLA), and polymethyl methacrylate (PMA) filler injections, which are the most commonly used for aesthetic purposes.</p><p><strong>Materials and methods: </strong>This prospective study was conducted for 24 weeks after a filler injection by a surgeon between March 2017 and December 2021. Healthy adult men complaining of small penis were enrolled. Penile girth, satisfaction, and injection-associated adverse events (AEs) were assessed at baseline and 4, 12, and 24 weeks after injection.</p><p><strong>Results: </strong>Of the 301 men who received filler injections, 125, 134, and 42 received HLA, PLA, and PMA fillers, respectively. The augmentation effect was in the order of PMA, HLA, and PLA, respectively, at 24 weeks (PMA <i>vs.</i> HLA, p<0.001; HLA <i>vs.</i> PLA, p=0.006). Satisfaction levels increased significantly at 24 weeks in all groups (each with p<0.001). However, the increase in satisfaction levels was smaller in the PMA group (PMA <i>vs.</i> HLA or PLA, p<0.05, for both penile appearance and sexual life). No serious or systemic AEs were recorded. Filler injection-associated local AEs in the HLA, PLA, and PMA groups occurred in 9 (7.2%), 16 (11.9%), and 6 (14.3%) men, respectively. There was no significant difference in AEs among the groups (p=0.299).</p><p><strong>Conclusions: </strong>The augmentative effect was greater in the PMA group than in the HLA and PLA groups, whereas the increase in satisfaction levels was smaller in the PMA group. Our study demonstrated the clinical course of different types of fillers and suggests that the filler type should be selected after detailed counseling considering individual characteristics and preferences.</p>\",\"PeriodicalId\":54261,\"journal\":{\"name\":\"World Journal of Mens Health\",\"volume\":\" \",\"pages\":\"428-436\"},\"PeriodicalIF\":4.1000,\"publicationDate\":\"2025-04-01\",\"publicationTypes\":\"Journal Article\",\"fieldsOfStudy\":null,\"isOpenAccess\":false,\"openAccessPdf\":\"https://www.ncbi.nlm.nih.gov/pmc/articles/PMC11937356/pdf/\",\"citationCount\":\"0\",\"resultStr\":null,\"platform\":\"Semanticscholar\",\"paperid\":null,\"PeriodicalName\":\"World Journal of Mens Health\",\"FirstCategoryId\":\"3\",\"ListUrlMain\":\"https://doi.org/10.5534/wjmh.240105\",\"RegionNum\":3,\"RegionCategory\":\"医学\",\"ArticlePicture\":[],\"TitleCN\":null,\"AbstractTextCN\":null,\"PMCID\":null,\"EPubDate\":\"2024/7/31 0:00:00\",\"PubModel\":\"Epub\",\"JCR\":\"Q1\",\"JCRName\":\"ANDROLOGY\",\"Score\":null,\"Total\":0}","platform":"Semanticscholar","paperid":null,"PeriodicalName":"World Journal of Mens Health","FirstCategoryId":"3","ListUrlMain":"https://doi.org/10.5534/wjmh.240105","RegionNum":3,"RegionCategory":"医学","ArticlePicture":[],"TitleCN":null,"AbstractTextCN":null,"PMCID":null,"EPubDate":"2024/7/31 0:00:00","PubModel":"Epub","JCR":"Q1","JCRName":"ANDROLOGY","Score":null,"Total":0}
引用次数: 0

摘要

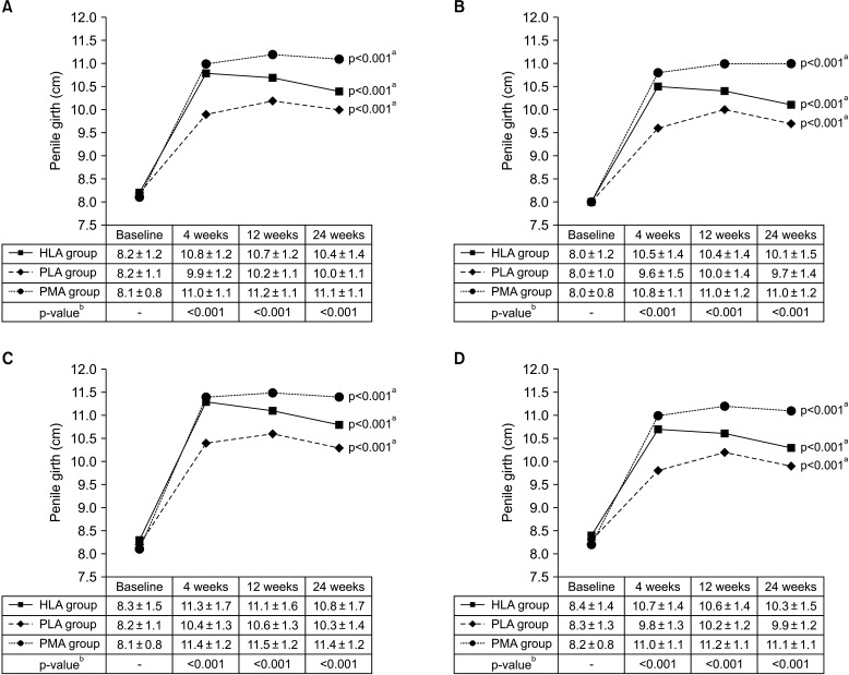
目的:最近推出了几种皮肤填充剂,用于阴茎增粗(PA)。然而,很少有研究对注射不同填充剂后的效果进行比较。本研究旨在比较透明质酸(HLA)、聚乳酸(PLA)和聚甲基丙烯酸甲酯(PMA)填充剂注射的临床效果,这些填充剂是最常用的美容填充剂:这项前瞻性研究是在 2017 年 3 月至 2021 年 12 月期间由外科医生注射填充剂后 24 周内进行的。研究对象为抱怨阴茎短小的健康成年男性。在基线和注射后 4、12 和 24 周对阴茎周长、满意度和注射相关不良事件(AEs)进行了评估:结果:在接受填充注射的 301 名男性中,分别有 125 人、134 人和 42 人接受了 HLA、PLA 和 PMA 填充。在 24 周时,填充效果依次为 PMA、HLA 和 PLA(PMA 与 HLA 相比,PLA 与 HLA 相比,P=0.006)。所有组的满意度在 24 周时都有明显提高(PMA 与 HLA 或 PLA 相比,p=0.006)。HLA 或 PLA,P=0.006):PMA 组的增强效果大于 HLA 和 PLA 组,而 PMA 组满意度的提高幅度较小。我们的研究显示了不同类型填充剂的临床疗程,并建议在选择填充剂类型时应考虑个人特点和偏好,并进行详细咨询。
本文章由计算机程序翻译,如有差异,请以英文原文为准。

Which Dermal Filler is Better for Penile Augmentation for Aesthetic Purposes? A Prospective, Single-Surgeon Study Based on Real-World Experience.

Which Dermal Filler is Better for Penile Augmentation for Aesthetic Purposes? A Prospective, Single-Surgeon Study Based on Real-World Experience.

Which Dermal Filler is Better for Penile Augmentation for Aesthetic Purposes? A Prospective, Single-Surgeon Study Based on Real-World Experience.

Which Dermal Filler is Better for Penile Augmentation for Aesthetic Purposes? A Prospective, Single-Surgeon Study Based on Real-World Experience.

Purpose: Several types of dermal fillers have been recently introduced and used for penile augmentation (PA). However, few studies have compared outcomes after the injection of different fillers. This study aimed to compare the clinical outcomes of hyaluronic acid (HLA), polylactic acid (PLA), and polymethyl methacrylate (PMA) filler injections, which are the most commonly used for aesthetic purposes.

Materials and methods: This prospective study was conducted for 24 weeks after a filler injection by a surgeon between March 2017 and December 2021. Healthy adult men complaining of small penis were enrolled. Penile girth, satisfaction, and injection-associated adverse events (AEs) were assessed at baseline and 4, 12, and 24 weeks after injection.

Results: Of the 301 men who received filler injections, 125, 134, and 42 received HLA, PLA, and PMA fillers, respectively. The augmentation effect was in the order of PMA, HLA, and PLA, respectively, at 24 weeks (PMA vs. HLA, p<0.001; HLA vs. PLA, p=0.006). Satisfaction levels increased significantly at 24 weeks in all groups (each with p<0.001). However, the increase in satisfaction levels was smaller in the PMA group (PMA vs. HLA or PLA, p<0.05, for both penile appearance and sexual life). No serious or systemic AEs were recorded. Filler injection-associated local AEs in the HLA, PLA, and PMA groups occurred in 9 (7.2%), 16 (11.9%), and 6 (14.3%) men, respectively. There was no significant difference in AEs among the groups (p=0.299).

Conclusions: The augmentative effect was greater in the PMA group than in the HLA and PLA groups, whereas the increase in satisfaction levels was smaller in the PMA group. Our study demonstrated the clinical course of different types of fillers and suggests that the filler type should be selected after detailed counseling considering individual characteristics and preferences.

求助全文
通过发布文献求助,成功后即可免费获取论文全文。 去求助
来源期刊
World Journal of Mens Health
World Journal of Mens Health Medicine-Psychiatry and Mental Health
CiteScore
7.60
自引率
2.10%
发文量
92
审稿时长
6 weeks
×
引用
GB/T 7714-2015
复制
MLA
复制
APA
复制
导出至
BibTeX EndNote RefMan NoteFirst NoteExpress
×
提示
您的信息不完整,为了账户安全,请先补充。
现在去补充
×
提示
您因"违规操作"
具体请查看互助需知
我知道了
×
提示
确定
请完成安全验证×
copy
已复制链接
快去分享给好友吧!
我知道了
右上角分享
点击右上角分享
0
联系我们:info@booksci.cn Book学术提供免费学术资源搜索服务,方便国内外学者检索中英文文献。致力于提供最便捷和优质的服务体验。 Copyright © 2023 布克学术 All rights reserved.
京ICP备2023020795号-1
ghs 京公网安备 11010802042870号
Book学术文献互助
Book学术文献互助群
群 号:604180095
Book学术官方微信