2004年至2018年大韩民国内源性甲状腺功能减退症的发病率和并发症不断上升:全国人口研究

IF 4.2 3区 医学 Q2 ENDOCRINOLOGY & METABOLISM
Endocrinology and Metabolism Pub Date : 2024-12-01 Epub Date: 2024-09-23 DOI:10.3803/EnM.2024.1996
Chae Won Chung, Hwa Young Ahn, Sun Wook Cho, Ka Hee Yi
{"title":"2004年至2018年大韩民国内源性甲状腺功能减退症的发病率和并发症不断上升:全国人口研究","authors":"Chae Won Chung, Hwa Young Ahn, Sun Wook Cho, Ka Hee Yi","doi":"10.3803/EnM.2024.1996","DOIUrl":null,"url":null,"abstract":"<p><strong>Backgruound: </strong>Hypothyroidism, a prevalent endocrine disorder, results from insufficient thyroid hormone production or release, affecting metabolism. However, disparities in comorbidities and treatment trajectories may exist between endogenous and exogenous hypothyroidism.</p><p><strong>Methods: </strong>Data from the Korean National Health Insurance Service from 2004 to 2018. Endogenous hypothyroidism was defined as cases with two or more diagnostic codes for hypothyroidism coupled with a history of thyroid hormone intake exceeding 60 days. To eliminate iatrogenic hypothyroidism, individuals with diagnosis codes for thyroid cancer, treatment codes for thyroid surgery, or radiotherapy were excluded. Hypothyroidism-related comorbidities were defined as new occurrences of the corresponding diagnosis code after the diagnosis of hypothyroidism during the entire study period.</p><p><strong>Results: </strong>The age-standardized incidence of endogenous hypothyroidism among men was 0.2 per 1,000 person-years in 2004, increasing to 0.8 in 2018. Among women, the incidence increased from 1.6 per 1,000 person-years in 2004 to 3.7 in 2018. When comparing age groups of 20s-50s and 60s-90s, both sexes in the 60s-90s demonstrated a more rapid increase in incidence than those in the 20s-50s age range. Patients with endogenous hypothyroidism demonstrated a higher incidence of mood disorders across all age groups and cerebrovascular disease in individuals ≥60 years old, regardless of sex.</p><p><strong>Conclusion: </strong>In Republic of Korea, endogenous hypothyroidism incidence has been increased in recent years. The incidence of endogenous hypothyroidism is increasing more rapidly in men than in women, especially in the elderly. Patients with endogenous hypothyroidism seem to have a heightened risk for cerebrovascular disease and mood disorders.</p>","PeriodicalId":11636,"journal":{"name":"Endocrinology and Metabolism","volume":" ","pages":"891-898"},"PeriodicalIF":4.2000,"publicationDate":"2024-12-01","publicationTypes":"Journal Article","fieldsOfStudy":null,"isOpenAccess":false,"openAccessPdf":"https://www.ncbi.nlm.nih.gov/pmc/articles/PMC11695477/pdf/","citationCount":"0","resultStr":"{\"title\":\"Rising Incidence and Comorbidities of Endogenous Hypothyroidism in Republic of Korea from 2004 to 2018: A Nationwide Population Study.\",\"authors\":\"Chae Won Chung, Hwa Young Ahn, Sun Wook Cho, Ka Hee Yi\",\"doi\":\"10.3803/EnM.2024.1996\",\"DOIUrl\":null,\"url\":null,\"abstract\":\"<p><strong>Backgruound: </strong>Hypothyroidism, a prevalent endocrine disorder, results from insufficient thyroid hormone production or release, affecting metabolism. However, disparities in comorbidities and treatment trajectories may exist between endogenous and exogenous hypothyroidism.</p><p><strong>Methods: </strong>Data from the Korean National Health Insurance Service from 2004 to 2018. Endogenous hypothyroidism was defined as cases with two or more diagnostic codes for hypothyroidism coupled with a history of thyroid hormone intake exceeding 60 days. To eliminate iatrogenic hypothyroidism, individuals with diagnosis codes for thyroid cancer, treatment codes for thyroid surgery, or radiotherapy were excluded. Hypothyroidism-related comorbidities were defined as new occurrences of the corresponding diagnosis code after the diagnosis of hypothyroidism during the entire study period.</p><p><strong>Results: </strong>The age-standardized incidence of endogenous hypothyroidism among men was 0.2 per 1,000 person-years in 2004, increasing to 0.8 in 2018. Among women, the incidence increased from 1.6 per 1,000 person-years in 2004 to 3.7 in 2018. When comparing age groups of 20s-50s and 60s-90s, both sexes in the 60s-90s demonstrated a more rapid increase in incidence than those in the 20s-50s age range. Patients with endogenous hypothyroidism demonstrated a higher incidence of mood disorders across all age groups and cerebrovascular disease in individuals ≥60 years old, regardless of sex.</p><p><strong>Conclusion: </strong>In Republic of Korea, endogenous hypothyroidism incidence has been increased in recent years. The incidence of endogenous hypothyroidism is increasing more rapidly in men than in women, especially in the elderly. Patients with endogenous hypothyroidism seem to have a heightened risk for cerebrovascular disease and mood disorders.</p>\",\"PeriodicalId\":11636,\"journal\":{\"name\":\"Endocrinology and Metabolism\",\"volume\":\" \",\"pages\":\"891-898\"},\"PeriodicalIF\":4.2000,\"publicationDate\":\"2024-12-01\",\"publicationTypes\":\"Journal Article\",\"fieldsOfStudy\":null,\"isOpenAccess\":false,\"openAccessPdf\":\"https://www.ncbi.nlm.nih.gov/pmc/articles/PMC11695477/pdf/\",\"citationCount\":\"0\",\"resultStr\":null,\"platform\":\"Semanticscholar\",\"paperid\":null,\"PeriodicalName\":\"Endocrinology and Metabolism\",\"FirstCategoryId\":\"3\",\"ListUrlMain\":\"https://doi.org/10.3803/EnM.2024.1996\",\"RegionNum\":3,\"RegionCategory\":\"医学\",\"ArticlePicture\":[],\"TitleCN\":null,\"AbstractTextCN\":null,\"PMCID\":null,\"EPubDate\":\"2024/9/23 0:00:00\",\"PubModel\":\"Epub\",\"JCR\":\"Q2\",\"JCRName\":\"ENDOCRINOLOGY & METABOLISM\",\"Score\":null,\"Total\":0}","platform":"Semanticscholar","paperid":null,"PeriodicalName":"Endocrinology and Metabolism","FirstCategoryId":"3","ListUrlMain":"https://doi.org/10.3803/EnM.2024.1996","RegionNum":3,"RegionCategory":"医学","ArticlePicture":[],"TitleCN":null,"AbstractTextCN":null,"PMCID":null,"EPubDate":"2024/9/23 0:00:00","PubModel":"Epub","JCR":"Q2","JCRName":"ENDOCRINOLOGY & METABOLISM","Score":null,"Total":0}
引用次数: 0

摘要

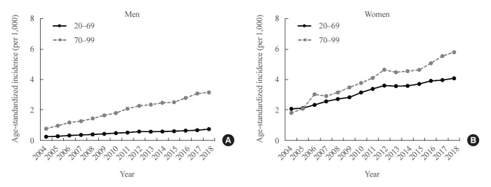
背景:甲状腺功能减退症是一种常见的内分泌疾病,由甲状腺激素分泌或释放不足引起,影响新陈代谢。然而,内源性甲减和外源性甲减在合并症和治疗轨迹上可能存在差异:2004年至2018年韩国国民健康保险服务数据。内源性甲减定义为有两个或两个以上甲减诊断代码且甲状腺激素摄入史超过60天的病例。为排除先天性甲状腺功能减退症,排除了诊断代码为甲状腺癌、治疗代码为甲状腺手术或放疗的病例。与甲状腺功能减退症相关的合并症是指在整个研究期间确诊甲状腺功能减退症后新出现的相应诊断代码:2004年,男性内源性甲减的年龄标准化发病率为每千人年0.2例,2018年增至0.8例。在女性中,发病率从2004年的每千人年1.6例增至2018年的3.7例。如果将 20-50 岁年龄组和 60-90 岁年龄组进行比较,60-90 岁年龄组的男女发病率增长速度均高于 20-50 岁年龄组。内源性甲状腺功能减退症患者在所有年龄组中的情绪障碍发病率都较高,而在≥60岁的人群中,脑血管疾病的发病率也较高,与性别无关:结论:在大韩民国,内源性甲减的发病率近年来有所上升。男性内源性甲减发病率的增长速度高于女性,尤其是在老年人中。内源性甲减患者罹患脑血管疾病和情绪障碍的风险似乎更高。
本文章由计算机程序翻译,如有差异,请以英文原文为准。

Rising Incidence and Comorbidities of Endogenous Hypothyroidism in Republic of Korea from 2004 to 2018: A Nationwide Population Study.

Rising Incidence and Comorbidities of Endogenous Hypothyroidism in Republic of Korea from 2004 to 2018: A Nationwide Population Study.

Rising Incidence and Comorbidities of Endogenous Hypothyroidism in Republic of Korea from 2004 to 2018: A Nationwide Population Study.

Rising Incidence and Comorbidities of Endogenous Hypothyroidism in Republic of Korea from 2004 to 2018: A Nationwide Population Study.

Backgruound: Hypothyroidism, a prevalent endocrine disorder, results from insufficient thyroid hormone production or release, affecting metabolism. However, disparities in comorbidities and treatment trajectories may exist between endogenous and exogenous hypothyroidism.

Methods: Data from the Korean National Health Insurance Service from 2004 to 2018. Endogenous hypothyroidism was defined as cases with two or more diagnostic codes for hypothyroidism coupled with a history of thyroid hormone intake exceeding 60 days. To eliminate iatrogenic hypothyroidism, individuals with diagnosis codes for thyroid cancer, treatment codes for thyroid surgery, or radiotherapy were excluded. Hypothyroidism-related comorbidities were defined as new occurrences of the corresponding diagnosis code after the diagnosis of hypothyroidism during the entire study period.

Results: The age-standardized incidence of endogenous hypothyroidism among men was 0.2 per 1,000 person-years in 2004, increasing to 0.8 in 2018. Among women, the incidence increased from 1.6 per 1,000 person-years in 2004 to 3.7 in 2018. When comparing age groups of 20s-50s and 60s-90s, both sexes in the 60s-90s demonstrated a more rapid increase in incidence than those in the 20s-50s age range. Patients with endogenous hypothyroidism demonstrated a higher incidence of mood disorders across all age groups and cerebrovascular disease in individuals ≥60 years old, regardless of sex.

Conclusion: In Republic of Korea, endogenous hypothyroidism incidence has been increased in recent years. The incidence of endogenous hypothyroidism is increasing more rapidly in men than in women, especially in the elderly. Patients with endogenous hypothyroidism seem to have a heightened risk for cerebrovascular disease and mood disorders.

求助全文
通过发布文献求助,成功后即可免费获取论文全文。 去求助
来源期刊
Endocrinology and Metabolism
Endocrinology and Metabolism Medicine-Endocrinology, Diabetes and Metabolism
CiteScore
6.60
自引率
5.90%
发文量
145
审稿时长
24 weeks
期刊介绍: The aim of this journal is to set high standards of medical care by providing a forum for discussion for basic, clinical, and translational researchers and clinicians on new findings in the fields of endocrinology and metabolism. Endocrinology and Metabolism reports new findings and developments in all aspects of endocrinology and metabolism. The topics covered by this journal include bone and mineral metabolism, cytokines, developmental endocrinology, diagnostic endocrinology, endocrine research, dyslipidemia, endocrine regulation, genetic endocrinology, growth factors, hormone receptors, hormone action and regulation, management of endocrine diseases, clinical trials, epidemiology, molecular endocrinology, neuroendocrinology, neuropeptides, neurotransmitters, obesity, pediatric endocrinology, reproductive endocrinology, signal transduction, the anatomy and physiology of endocrine organs (i.e., the pituitary, thyroid, parathyroid, and adrenal glands, and the gonads), and endocrine diseases (diabetes, nutrition, osteoporosis, etc.).
×
引用
GB/T 7714-2015
复制
MLA
复制
APA
复制
导出至
BibTeX EndNote RefMan NoteFirst NoteExpress
×
提示
您的信息不完整,为了账户安全,请先补充。
现在去补充
×
提示
您因"违规操作"
具体请查看互助需知
我知道了
×
提示
确定
请完成安全验证×
copy
已复制链接
快去分享给好友吧!
我知道了
右上角分享
点击右上角分享
0
联系我们:info@booksci.cn Book学术提供免费学术资源搜索服务,方便国内外学者检索中英文文献。致力于提供最便捷和优质的服务体验。 Copyright © 2023 布克学术 All rights reserved.
京ICP备2023020795号-1
ghs 京公网安备 11010802042870号
Book学术文献互助
Book学术文献互助群
群 号:604180095
Book学术官方微信