使用西罗莫司洗脱支架或生物可降解聚合物的比奥利莫司洗脱支架治疗糖尿病患者的五年疗效。来自 SORT OUT VII 试验。

IF 3
Jens Trøan, Evald Høj Christiansen, Kirstine Nørregaard Hansen, Ashkan Eftekhari, Lars Jakobsen, Michael Mæng, Phillip Freeman, Rebekka Vibjerg Jensen, Martin Kirk Christensen, Manijeh Noori, Julia Ellert-Gregersen, Nicolaj Brejnholt Støttrup, Johnny Kahlert, Karsten Tange Veien, Lisette Okkels Jensen
{"title":"使用西罗莫司洗脱支架或生物可降解聚合物的比奥利莫司洗脱支架治疗糖尿病患者的五年疗效。来自 SORT OUT VII 试验。","authors":"Jens Trøan, Evald Høj Christiansen, Kirstine Nørregaard Hansen, Ashkan Eftekhari, Lars Jakobsen, Michael Mæng, Phillip Freeman, Rebekka Vibjerg Jensen, Martin Kirk Christensen, Manijeh Noori, Julia Ellert-Gregersen, Nicolaj Brejnholt Støttrup, Johnny Kahlert, Karsten Tange Veien, Lisette Okkels Jensen","doi":"10.1177/14791641241283939","DOIUrl":null,"url":null,"abstract":"<p><strong>Background: </strong>Diabetes mellitus is associated with higher risk of target lesion failure (TLF) after percutaneous coronary intervention. We studied the 5-year outcome in patients with diabetes mellitus treated with biodegradable polymer stents.</p><p><strong>Methods: </strong>The SORT OUT VII was a randomised trial comparing the ultrathin sirolimus-eluting Orsiro stent (O-SES) and the biolimus-eluting Nobori stent (N-BES) in an all-comer setting. Patients (<i>n</i> = 2525) were randomised to receive O-SES (<i>n</i> = 1261, diabetes: <i>n</i> = 236) or N-BES (<i>n</i> = 1264, diabetes: <i>n</i> = 235). Endpoints were TLF (a composite of cardiac death, target-lesion myocardial infarction (MI), target lesion revascularization (TLR)), definite stent thrombosis and a patient related outcome (all-cause mortality, MI and revascularization) within 5 years.</p><p><strong>Results: </strong>Patients with diabetes mellitus had higher TLF (20.6% vs 11.0%, (Rate ratio (RR) 1.85 95% confidence interval (CI): (1.42-2.40) and patient related outcome (42.0% vs 31.0%, RR 1.43 95% CI: (1.19-1.71)) compared to patients without diabetes. Among patients with diabetes mellitus, TLF after 5 years did not differ between O-SES and N-BES (21.2% vs 20.0%), RR 1.05 95% CI: (0.70-1.58), <i>p</i> = 0.81). Cardiac death, MI, TLR, and definite stent thrombosis did not differ between the groups.</p><p><strong>Conclusion: </strong>In patients with diabetes mellitus, 5-year outcomes were similar among patients treated with biodegradable polymer O-SES or N-BES.</p><p><strong>Clinical trial registration: </strong>URL: https://www.clinicaltrials.gov. Unique identifier: NCT01879358.</p>","PeriodicalId":93978,"journal":{"name":"Diabetes & vascular disease research","volume":"21 5","pages":"14791641241283939"},"PeriodicalIF":3.0000,"publicationDate":"2024-09-01","publicationTypes":"Journal Article","fieldsOfStudy":null,"isOpenAccess":false,"openAccessPdf":"https://www.ncbi.nlm.nih.gov/pmc/articles/PMC11450620/pdf/","citationCount":"0","resultStr":"{\"title\":\"Five-year outcomes of patients with diabetes mellitus treated with a sirolimus-eluting or a biolimus-eluting stents with biodegradable polymer. From the SORT OUT VII trial.\",\"authors\":\"Jens Trøan, Evald Høj Christiansen, Kirstine Nørregaard Hansen, Ashkan Eftekhari, Lars Jakobsen, Michael Mæng, Phillip Freeman, Rebekka Vibjerg Jensen, Martin Kirk Christensen, Manijeh Noori, Julia Ellert-Gregersen, Nicolaj Brejnholt Støttrup, Johnny Kahlert, Karsten Tange Veien, Lisette Okkels Jensen\",\"doi\":\"10.1177/14791641241283939\",\"DOIUrl\":null,\"url\":null,\"abstract\":\"<p><strong>Background: </strong>Diabetes mellitus is associated with higher risk of target lesion failure (TLF) after percutaneous coronary intervention. We studied the 5-year outcome in patients with diabetes mellitus treated with biodegradable polymer stents.</p><p><strong>Methods: </strong>The SORT OUT VII was a randomised trial comparing the ultrathin sirolimus-eluting Orsiro stent (O-SES) and the biolimus-eluting Nobori stent (N-BES) in an all-comer setting. Patients (<i>n</i> = 2525) were randomised to receive O-SES (<i>n</i> = 1261, diabetes: <i>n</i> = 236) or N-BES (<i>n</i> = 1264, diabetes: <i>n</i> = 235). Endpoints were TLF (a composite of cardiac death, target-lesion myocardial infarction (MI), target lesion revascularization (TLR)), definite stent thrombosis and a patient related outcome (all-cause mortality, MI and revascularization) within 5 years.</p><p><strong>Results: </strong>Patients with diabetes mellitus had higher TLF (20.6% vs 11.0%, (Rate ratio (RR) 1.85 95% confidence interval (CI): (1.42-2.40) and patient related outcome (42.0% vs 31.0%, RR 1.43 95% CI: (1.19-1.71)) compared to patients without diabetes. Among patients with diabetes mellitus, TLF after 5 years did not differ between O-SES and N-BES (21.2% vs 20.0%), RR 1.05 95% CI: (0.70-1.58), <i>p</i> = 0.81). Cardiac death, MI, TLR, and definite stent thrombosis did not differ between the groups.</p><p><strong>Conclusion: </strong>In patients with diabetes mellitus, 5-year outcomes were similar among patients treated with biodegradable polymer O-SES or N-BES.</p><p><strong>Clinical trial registration: </strong>URL: https://www.clinicaltrials.gov. Unique identifier: NCT01879358.</p>\",\"PeriodicalId\":93978,\"journal\":{\"name\":\"Diabetes & vascular disease research\",\"volume\":\"21 5\",\"pages\":\"14791641241283939\"},\"PeriodicalIF\":3.0000,\"publicationDate\":\"2024-09-01\",\"publicationTypes\":\"Journal Article\",\"fieldsOfStudy\":null,\"isOpenAccess\":false,\"openAccessPdf\":\"https://www.ncbi.nlm.nih.gov/pmc/articles/PMC11450620/pdf/\",\"citationCount\":\"0\",\"resultStr\":null,\"platform\":\"Semanticscholar\",\"paperid\":null,\"PeriodicalName\":\"Diabetes & vascular disease research\",\"FirstCategoryId\":\"1085\",\"ListUrlMain\":\"https://doi.org/10.1177/14791641241283939\",\"RegionNum\":0,\"RegionCategory\":null,\"ArticlePicture\":[],\"TitleCN\":null,\"AbstractTextCN\":null,\"PMCID\":null,\"EPubDate\":\"\",\"PubModel\":\"\",\"JCR\":\"\",\"JCRName\":\"\",\"Score\":null,\"Total\":0}","platform":"Semanticscholar","paperid":null,"PeriodicalName":"Diabetes & vascular disease research","FirstCategoryId":"1085","ListUrlMain":"https://doi.org/10.1177/14791641241283939","RegionNum":0,"RegionCategory":null,"ArticlePicture":[],"TitleCN":null,"AbstractTextCN":null,"PMCID":null,"EPubDate":"","PubModel":"","JCR":"","JCRName":"","Score":null,"Total":0}
引用次数: 0

摘要

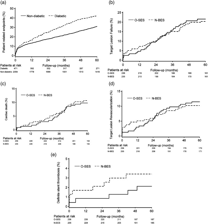
背景:糖尿病与经皮冠状动脉介入治疗后靶病变失败(TLF)的高风险相关。我们对使用可降解聚合物支架治疗的糖尿病患者的 5 年预后进行了研究:SORT OUT VII 是一项随机试验,比较了超薄型西罗莫司洗脱 Orsiro 支架(O-SES)和生物降解型 Nobori 支架(N-BES)。患者(n = 2525)被随机分配接受O-SES(n = 1261,糖尿病患者:n = 236)或N-BES(n = 1264,糖尿病患者:n = 235)。终点是5年内的TLF(心源性死亡、靶病变心肌梗死(MI)、靶病变血运重建(TLR)的综合)、明确的支架血栓和患者相关结果(全因死亡率、MI和血运重建):与非糖尿病患者相比,糖尿病患者的 TLF(20.6% 对 11.0%,比率比 (RR) 1.85 95% 置信区间 (CI):(1.42-2.40))和患者相关结果(42.0% 对 31.0%,RR 1.43 95% CI:(1.19-1.71))更高。在糖尿病患者中,5 年后的 TLF 在 O-SES 和 N-BES 之间没有差异(21.2% vs 20.0%,RR 1.05 95% CI:(0.70-1.58),P = 0.81)。心源性死亡、心肌梗死、TLR和明确的支架血栓形成在两组之间没有差异:临床试验注册:URL: https://www.clinicaltrials.gov.唯一标识符:NCT01879358。
本文章由计算机程序翻译,如有差异,请以英文原文为准。

Five-year outcomes of patients with diabetes mellitus treated with a sirolimus-eluting or a biolimus-eluting stents with biodegradable polymer. From the SORT OUT VII trial.

Five-year outcomes of patients with diabetes mellitus treated with a sirolimus-eluting or a biolimus-eluting stents with biodegradable polymer. From the SORT OUT VII trial.

Five-year outcomes of patients with diabetes mellitus treated with a sirolimus-eluting or a biolimus-eluting stents with biodegradable polymer. From the SORT OUT VII trial.

Five-year outcomes of patients with diabetes mellitus treated with a sirolimus-eluting or a biolimus-eluting stents with biodegradable polymer. From the SORT OUT VII trial.

Background: Diabetes mellitus is associated with higher risk of target lesion failure (TLF) after percutaneous coronary intervention. We studied the 5-year outcome in patients with diabetes mellitus treated with biodegradable polymer stents.

Methods: The SORT OUT VII was a randomised trial comparing the ultrathin sirolimus-eluting Orsiro stent (O-SES) and the biolimus-eluting Nobori stent (N-BES) in an all-comer setting. Patients (n = 2525) were randomised to receive O-SES (n = 1261, diabetes: n = 236) or N-BES (n = 1264, diabetes: n = 235). Endpoints were TLF (a composite of cardiac death, target-lesion myocardial infarction (MI), target lesion revascularization (TLR)), definite stent thrombosis and a patient related outcome (all-cause mortality, MI and revascularization) within 5 years.

Results: Patients with diabetes mellitus had higher TLF (20.6% vs 11.0%, (Rate ratio (RR) 1.85 95% confidence interval (CI): (1.42-2.40) and patient related outcome (42.0% vs 31.0%, RR 1.43 95% CI: (1.19-1.71)) compared to patients without diabetes. Among patients with diabetes mellitus, TLF after 5 years did not differ between O-SES and N-BES (21.2% vs 20.0%), RR 1.05 95% CI: (0.70-1.58), p = 0.81). Cardiac death, MI, TLR, and definite stent thrombosis did not differ between the groups.

Conclusion: In patients with diabetes mellitus, 5-year outcomes were similar among patients treated with biodegradable polymer O-SES or N-BES.

Clinical trial registration: URL: https://www.clinicaltrials.gov. Unique identifier: NCT01879358.

求助全文
通过发布文献求助,成功后即可免费获取论文全文。 去求助
来源期刊
自引率
0.00%
发文量
0
×
引用
GB/T 7714-2015
复制
MLA
复制
APA
复制
导出至
BibTeX EndNote RefMan NoteFirst NoteExpress
×
提示
您的信息不完整,为了账户安全,请先补充。
现在去补充
×
提示
您因"违规操作"
具体请查看互助需知
我知道了
×
提示
确定
请完成安全验证×
copy
已复制链接
快去分享给好友吧!
我知道了
右上角分享
点击右上角分享
0
联系我们:info@booksci.cn Book学术提供免费学术资源搜索服务,方便国内外学者检索中英文文献。致力于提供最便捷和优质的服务体验。 Copyright © 2023 布克学术 All rights reserved.
京ICP备2023020795号-1
ghs 京公网安备 11010802042870号
Book学术文献互助
Book学术文献互助群
群 号:604180095
Book学术官方微信